当前位置:首页>文档>专题08数列求和-倒序相加、绝对值、奇偶性求和(解析版)_02高考数学_新高考复习资料_2023年新高考资料_专项复习_2023年新高考数学技巧硬核解密之数列

专题08数列求和-倒序相加、绝对值、奇偶性求和(解析版)_02高考数学_新高考复习资料_2023年新高考资料_专项复习_2023年新高考数学技巧硬核解密之数列

  • 2026-04-09 23:01:20 2026-04-09 23:01:20

文档预览

专题08数列求和-倒序相加、绝对值、奇偶性求和(解析版)_02高考数学_新高考复习资料_2023年新高考资料_专项复习_2023年新高考数学技巧硬核解密之数列
专题08数列求和-倒序相加、绝对值、奇偶性求和(解析版)_02高考数学_新高考复习资料_2023年新高考资料_专项复习_2023年新高考数学技巧硬核解密之数列
专题08数列求和-倒序相加、绝对值、奇偶性求和(解析版)_02高考数学_新高考复习资料_2023年新高考资料_专项复习_2023年新高考数学技巧硬核解密之数列
专题08数列求和-倒序相加、绝对值、奇偶性求和(解析版)_02高考数学_新高考复习资料_2023年新高考资料_专项复习_2023年新高考数学技巧硬核解密之数列
专题08数列求和-倒序相加、绝对值、奇偶性求和(解析版)_02高考数学_新高考复习资料_2023年新高考资料_专项复习_2023年新高考数学技巧硬核解密之数列
专题08数列求和-倒序相加、绝对值、奇偶性求和(解析版)_02高考数学_新高考复习资料_2023年新高考资料_专项复习_2023年新高考数学技巧硬核解密之数列
专题08数列求和-倒序相加、绝对值、奇偶性求和(解析版)_02高考数学_新高考复习资料_2023年新高考资料_专项复习_2023年新高考数学技巧硬核解密之数列
专题08数列求和-倒序相加、绝对值、奇偶性求和(解析版)_02高考数学_新高考复习资料_2023年新高考资料_专项复习_2023年新高考数学技巧硬核解密之数列
专题08数列求和-倒序相加、绝对值、奇偶性求和(解析版)_02高考数学_新高考复习资料_2023年新高考资料_专项复习_2023年新高考数学技巧硬核解密之数列
专题08数列求和-倒序相加、绝对值、奇偶性求和(解析版)_02高考数学_新高考复习资料_2023年新高考资料_专项复习_2023年新高考数学技巧硬核解密之数列
专题08数列求和-倒序相加、绝对值、奇偶性求和(解析版)_02高考数学_新高考复习资料_2023年新高考资料_专项复习_2023年新高考数学技巧硬核解密之数列
专题08数列求和-倒序相加、绝对值、奇偶性求和(解析版)_02高考数学_新高考复习资料_2023年新高考资料_专项复习_2023年新高考数学技巧硬核解密之数列
专题08数列求和-倒序相加、绝对值、奇偶性求和(解析版)_02高考数学_新高考复习资料_2023年新高考资料_专项复习_2023年新高考数学技巧硬核解密之数列
专题08数列求和-倒序相加、绝对值、奇偶性求和(解析版)_02高考数学_新高考复习资料_2023年新高考资料_专项复习_2023年新高考数学技巧硬核解密之数列
专题08数列求和-倒序相加、绝对值、奇偶性求和(解析版)_02高考数学_新高考复习资料_2023年新高考资料_专项复习_2023年新高考数学技巧硬核解密之数列
专题08数列求和-倒序相加、绝对值、奇偶性求和(解析版)_02高考数学_新高考复习资料_2023年新高考资料_专项复习_2023年新高考数学技巧硬核解密之数列
专题08数列求和-倒序相加、绝对值、奇偶性求和(解析版)_02高考数学_新高考复习资料_2023年新高考资料_专项复习_2023年新高考数学技巧硬核解密之数列
专题08数列求和-倒序相加、绝对值、奇偶性求和(解析版)_02高考数学_新高考复习资料_2023年新高考资料_专项复习_2023年新高考数学技巧硬核解密之数列
专题08数列求和-倒序相加、绝对值、奇偶性求和(解析版)_02高考数学_新高考复习资料_2023年新高考资料_专项复习_2023年新高考数学技巧硬核解密之数列
专题08数列求和-倒序相加、绝对值、奇偶性求和(解析版)_02高考数学_新高考复习资料_2023年新高考资料_专项复习_2023年新高考数学技巧硬核解密之数列
专题08数列求和-倒序相加、绝对值、奇偶性求和(解析版)_02高考数学_新高考复习资料_2023年新高考资料_专项复习_2023年新高考数学技巧硬核解密之数列
专题08数列求和-倒序相加、绝对值、奇偶性求和(解析版)_02高考数学_新高考复习资料_2023年新高考资料_专项复习_2023年新高考数学技巧硬核解密之数列
专题08数列求和-倒序相加、绝对值、奇偶性求和(解析版)_02高考数学_新高考复习资料_2023年新高考资料_专项复习_2023年新高考数学技巧硬核解密之数列
专题08数列求和-倒序相加、绝对值、奇偶性求和(解析版)_02高考数学_新高考复习资料_2023年新高考资料_专项复习_2023年新高考数学技巧硬核解密之数列
专题08数列求和-倒序相加、绝对值、奇偶性求和(解析版)_02高考数学_新高考复习资料_2023年新高考资料_专项复习_2023年新高考数学技巧硬核解密之数列
专题08数列求和-倒序相加、绝对值、奇偶性求和(解析版)_02高考数学_新高考复习资料_2023年新高考资料_专项复习_2023年新高考数学技巧硬核解密之数列
专题08数列求和-倒序相加、绝对值、奇偶性求和(解析版)_02高考数学_新高考复习资料_2023年新高考资料_专项复习_2023年新高考数学技巧硬核解密之数列
专题08数列求和-倒序相加、绝对值、奇偶性求和(解析版)_02高考数学_新高考复习资料_2023年新高考资料_专项复习_2023年新高考数学技巧硬核解密之数列

文档信息

文档格式
docx
文档大小
1.094 MB
文档页数
24 页
上传时间
2026-04-09 23:01:20

文档内容

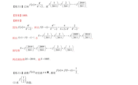
专题 08 数列求和-倒序相加、绝对值、奇偶性求和 ◆倒序相加法求和 等差数列的求和公式 ,其过程正是利用倒序相加的原理.这类题之所以能够利用倒序相加来 求和,是因为其自身具备明显的特征,那就是首项与末项相加为定值.一般题中出现 ( 为常数), ( 为常数)时,可以采用倒序相加的方法进行求和. 【经典例题1】 已知函数 对任意的 ,都有 ,数列 满足 … .求数列 的通项公式. 【答案】 【解析】 因为 , . 故 … .① … .② ①+②,得 , . 所以数列 的通项公式为 . 【练习1】已知正数数列 是公比不等于1的等比数列,且 ,试用推导等差数列前 项和的方法 𝑛探求:若 ,则 ( ) A.2018 B.4036 C.2019 D.4038 【答案】D 【解析】 , ∵函数 ∴ , 令 ,则 , ∴ , ∴ . 故选:D. 【练习2】已知函数 ,数列 是正项等比数列,且 ,则 __________. 【答案】 【解析】 函数 ,当 时, , 因数列 是正项等比数列,且 ,则 , ,同理 , 令 ,又 , 则有 , , 所以 . 故答案为: 【练习3】已知 ,求 . 【答案】1005. 【解析】 因为 ,所以 , 所以 .令 , 倒写得 . 两式相加得 ,故 . 【练习4】函数 对任意 ,都有 . (I)求 的值; (II)若数列 满足 ,数列 是等差数列吗? 【解析】(I)令 ,得 . (II)已知函数 对任意 ,都有 ,可得由两式相加可得 故数列 是等差数列. ◆数列绝对值求和 (1)对于首项小于0而公差大于0的等差数列 加绝对值后得到的数列 求和,设 的前 项和 为 的前 项和为 ,数列 的第 项小于 0 而从第 项开始大于或等于 0,于是有 (2)对于首项大于0而公差小于0的等差数列 加绝对值后得到的数列 求和,设 的前 项和为 的前 项和为 ,数列 的第 项大于 0 而从第 项开始小于或等于 0,于是有 。 【经典例题1】已知 是数列 的前 项和,且 . (1)求 ; (2)求数列 的前 项和 . 解析:(1)由 ,可得 , 当 时, ; 当 时,上式也成立,所以 . (2)当 时, ,即有当 时, ,则有 ,即数列 的前 项和 【经典例题2】已知等差数列 的前 项和为 ,且 . (I)求 的通项公式; (II)求数列 的前 项和 . 【解析】 (I)由题意 ,解得 ,于是 ,故 的通项公式为 . (II)由(I)知 . (1)当 时, (2)当n>7时, 【练习1】已知在前n项和为 的等差数列 中, , .求数列 的前20项和 . 【答案】 . 【解析】 ,可得 ,即 ,故 时 , 所以 . 【练习2】等差数列 中, , ( , ),求数列 的前 项和.【答案】 . 【解析】 由题意可知:数列 的公差 ,则 , 数列 的前 项和 , 令 ,即 ,则 , 设数列 的前 项和为 ,则有: 当 时, ; 当 时, , 综上所述: . 【练习3】数列 中, , ,求数列 的前n项和 . 【答案】 【解析】 ∵数列 中, ,∴ , 又∵ ,∴数列 是首项为31,公差为 的等差数列, 则 ,当 时, ;当 时, . 设等差数列 的前 项和为 ,则 , 当 时, , 当 时, , 所以 【练习4】已知数列 的前n项和 ,求数列 的前n项和 . 【答案】 . 【解析】 , 当 时, . ∵ 也符合上式,∴数列 的通项公式为 . 由 ,得 , 即当 时, ;当 时, . 当 时, ; 当 时,故 ◆数列奇偶性求和 对于数列奇偶性的问题,基本原则有两种手段:第一是所有的奇数项相加,所有的偶数项相加;第二是相邻 的奇数项与偶数项相加作为新的一项. 【经典例题1】在数列 中, 且 ,则 ________. 【解析】当 为奇数时, ;当 为偶数时, ,因此数列 的奇数项都是1,偶数项 成公差为2的等差数列,则 故填2600. 【经典例题2】数列 满足 ,则 的前60项和为_____. 【解析】 有 , , . 从而可得 , , 从第一项开始,依次取2个相邻奇数项的和都等于2 ,从第二项开始,依次取2个相邻偶数项的和构成以8为 首项, 以16为公差的等差数列. 的前60项和为 故答案为:1830.【经典例题3】已知数列 满足:当 且 时,有 .则数列 的前200项 和为 A. 300 B. 200 C. 100 D. 0 【解析】已知 ,可令 ,则 ,可得 可知数列 的前200项和为300.故选 . 【练习1】已知数列 满足: , , . (1)记 ,求数列 的通项公式; (2)记数列 的前 项和为 ,求 . 【答案】(1) (2)353 【解析】 (1)因为 ,令n取 ,则 , 即 , ,所以数列 是以1为首项,3为公差的等差数列,所以 (2)令n取2n,则 , 所以 , 由(1)可知, ; ;所以 【练习2】已知数列数列 的前 项和且 ,且 . (1)求 的值,并证明: ;(2)求数列 的通项公式; (3)求 的值. 【答案】(1) ,证明见解析;(2) ;(3) . 【解析】 (1)令 ,得 ,所以 , , , 两式相减得 , 因为 ,所以 ; (2)由(1)可知,数列 为等差数列,公差为 ,首项为 , 所以当 为奇数时, , 数列 为等差数列,公差为 ,首项为 , 所以当 为偶数时, , 综上所述 ; (3)由(2)可知, , , 故 .【练习3】已知数列 的首项 ,前n项和为 ,且数列 是公差为2的等差数列. (1)求数列 的通项公式; (2) 若 ,求数列 的前n项和 . 【答案】(1) ;(2) . 【解析】 (1)因为数列 是公差为2的等差数列,且 ,所以 ,所以 , 又因为 ,所以当 时 , 又因为 符合 的情况,所以 ; (2)因为 , 当 为偶数时, , 所以 , 当 为奇数时, , 综上可知: . 【练习4】在数列 中, , ,且 . (1)证明: 是等比数列;(2)求数列 的通项公式. 【答案】(1)证明见解析; (2) . 【解析】 (1)由 得: ,且 , 则 ,又 , 所以数列 是首项为3,公比为4的等比数列. (2)由(1)知: ,又 ,则 , 当n为奇数时, , 当n为偶数时, · 综上, · 【过关检测】 一、单选题 1.已知数列 的前 项和为 ,则数列 的前12项和为( ) A.93 B.94 C.95 D.96 【答案】B 【解析】 当 时, ; 当 时, 所以数列 的通项公式为 ,即数列从第2项开始为等差数列,由 得 ,即数列的前2项为负,所以 故选:B 2.德国数学家高斯是近代数学奠基者之一,有“数学王子”之称,在历史上有很大的影响.他幼年时就 表现出超人的数学天才,10岁时,他在进行 的求和运算时,就提出了倒序相加法的原理, 该原理基于所给数据前后对应项的和呈现一定的规律生成,因此,此方法也称之为高斯算法.已知数列 ,则 ( ) A.96 B.97 C.98 D.99 【答案】C 【解析】 令 , , 两式相加得: , ∴ , 故选:C. 3.已知数列 的前n项和 ,则 的值为( ) A.68 B.67 C.65 D.56 【答案】A 【解析】 当 时, ;当 时, 符合上式, 所以 , 所以 . 故选:A. 4.设 , 为数列的前n项和,求 的值是( ) A. B.0 C.59 D. 【答案】A 【解析】 令 ① 则 ② ①+②可得: , , . . 故选:A 5.已知数列{an}的前n项和为Sn=n2﹣5n+2,则数列{|an|}的前10项和为( ) A.56 B.58 C.62 D.60 【答案】D 【解析】 Sn=n2﹣5n+2的最小值是当n 2.5时取得, ∵n是自然数,取值计算: n=2时,Sn=22﹣5×2+2=﹣4,n=3时,Sn=32﹣5×3+2=﹣4, a=S﹣S=(﹣4)﹣(﹣4)=0, 3 3 2 ∴n≥4时,an>0,n≤3时,an≤0, a=S=1﹣5+2=﹣2, 1 1 ∴数列{|an|}的前10项和: S=S ﹣2S=(100﹣50+2)﹣2(9﹣15+2)=60. 10 3 故选:D. 6.在项数为2n+1的等差数列中,所有奇数项的和为165,所有偶数项的和为150,则n等于( ) A.9 B.10 C.11 D.12 【答案】B 【解析】 分别设该数列奇数项和与偶数项和分别为 ∴ ,∴ ,∴n=10, 故选:B. 7.等差数列共有 项,所有奇数项之和为132,所有偶数项之和为120,则 等于( ) A.6 B.8 C.10 D.12 【答案】C 【解析】 ∵S =132,S = =120, 奇数 偶数 ∴S -S = =12, 奇数 偶数 ∴S n =S +S =252= 2 +1 奇数 偶数 解得n=10. 故选:C. 8.已知等差数列 共有 项,若数列 中奇数项的和为 ,偶数项的和为 , ,则公差 的值为( ) A. B. C. D. 【答案】A 【解析】 由题意 , , 所以, , , 所以, , . 故选:A. 9.已知某等差数列 的项数 为奇数,前三项与最后三项这六项之和为 ,所有奇数项的和为 ,则 这个数列的项数 为( ) A. B. C. D. 【答案】A 【解析】 由已知, , 所以 , 所有奇数项的和为 , 于是可得 . 故选:A. 10.已知等差数列共有99项,其中奇数项之和为300,则偶数项之和为( ) A.300 B.298 C.296 D.294 【答案】D 【解析】 由题意得: , ,又 , . 故选: . 11.已知数列 的前n项和为 ,则此数列奇数项的前m项和为( ) A. B. C. D. 【答案】B 【解析】 当 时, ,因为当n=1时, 不满足,所以数列 从第 二项开始成等比数列,又 , 则数列 的奇数项构成的数列的前m项和 . 故选:B. 二、填空题 12.已知函数 ,数列 是正项等比数列,且 , ______. 【答案】 【解析】 解:由数列 是正项等比数列, 且 ,可得 , 因为 , 可设 ,又 , 两式相加可得 , 所以 . 故答案为: . 13.在推导等差数列前n项和的过程中,我们使用了倒序相加的方法,类比可以求得 ________. 【答案】 【解析】 令 , 则: , 两式相加可得: , ∴ ,即 . 故答案为: . 14.若数列 的前n项和是 ,则 ________. 【答案】66 【解析】 解:因为 当 时, ;当 时, , 所以 , , , . 故 故答案为: 三、解答题 15.等差数列 中, , . (1)求数列 的通项公式; (2)设 ,求数列 的前 项和 . 【答案】(1) (2) 【解析】 (1)由题意得: ,解得 , ; (2) ,当 时, , ; 时, , ; 当 时, ; 当 时, ;即 ,综上所述: . 16.已知数列 的前n项和为 (1)求数列 的通项公式;(2)若 ,求数列 的前n项和 的公式. 【答案】(1) (2) 【解析】 (1)当n=1时, ; 当 时, , 显然 时也满足上式, 所以 . (2)由(1)知 , 所以当 时, ;当 时, , ①当 时, , 则 , 此时 ②当 时, , = .综上可得: . 17.已知等差数列 的前n项和为 ,且 . (1)求数列 的通项公式; (2)求数列 的前n项和 . 【答案】(1) (2) 【解析】 (1)设等差数列 的首项为 ,公差为 , . . , 数列 的通项公式为 . (2)当 时, , 数列 的前n项和 ; 当 时, , 数列 的前n项和 , . 综上所述: 18.数列 中, , ,前n项和 满足 . (1)证明: 为等差数列;(2)求 . 【答案】(1)证明见解析;(2) . 【解析】 解:(1)∵ ① ∴ ② ① ②: ③ ∴ ④ ④ ③: ∴ ∴ 是以 首项,2为公差的等差数列, (2)由(1)得 是以 首项,2为公差的等差数列, 同理可得 是以 为首项,2为公差的等差数列, 又 , ∴前101项的偶数项和为 , 前101项的奇数项和为 , ∴ . 19.若数列 满足 ( , 是不等于 的常数)对任意 恒成立,则称 是周 期为 ,周期公差为 的“类周期等差数列”.已知在数列 中, , . (1)求证: 是周期为 的“类周期等差数列”,并求 的值;(2)若数列 满足 ,求 的前 项和 . 【答案】(1)证明见解析; ; (2) 【解析】 (1)由 , ,相减得 , 所以 周期为 ,周期公差为 的“类周期等差数列”, 由 , ,得 , 所以 . (2)由 , ,得 , 当 为偶数时, ; 当 为奇数时, . 综上所述,