当前位置:首页>文档>专题05解三角形(角平分线问题问题)(典型题型归类训练)(解析版)_02高考数学_2024年新高考资料_3.2024专项复习_解题思路训练2024年高考数学复习解答题提优秘籍(新高考专用)

专题05解三角形(角平分线问题问题)(典型题型归类训练)(解析版)_02高考数学_2024年新高考资料_3.2024专项复习_解题思路训练2024年高考数学复习解答题提优秘籍(新高考专用)

  • 2026-04-08 04:51:41 2026-04-08 04:47:41

文档预览

专题05解三角形(角平分线问题问题)(典型题型归类训练)(解析版)_02高考数学_2024年新高考资料_3.2024专项复习_解题思路训练2024年高考数学复习解答题提优秘籍(新高考专用)
专题05解三角形(角平分线问题问题)(典型题型归类训练)(解析版)_02高考数学_2024年新高考资料_3.2024专项复习_解题思路训练2024年高考数学复习解答题提优秘籍(新高考专用)
专题05解三角形(角平分线问题问题)(典型题型归类训练)(解析版)_02高考数学_2024年新高考资料_3.2024专项复习_解题思路训练2024年高考数学复习解答题提优秘籍(新高考专用)
专题05解三角形(角平分线问题问题)(典型题型归类训练)(解析版)_02高考数学_2024年新高考资料_3.2024专项复习_解题思路训练2024年高考数学复习解答题提优秘籍(新高考专用)
专题05解三角形(角平分线问题问题)(典型题型归类训练)(解析版)_02高考数学_2024年新高考资料_3.2024专项复习_解题思路训练2024年高考数学复习解答题提优秘籍(新高考专用)
专题05解三角形(角平分线问题问题)(典型题型归类训练)(解析版)_02高考数学_2024年新高考资料_3.2024专项复习_解题思路训练2024年高考数学复习解答题提优秘籍(新高考专用)
专题05解三角形(角平分线问题问题)(典型题型归类训练)(解析版)_02高考数学_2024年新高考资料_3.2024专项复习_解题思路训练2024年高考数学复习解答题提优秘籍(新高考专用)
专题05解三角形(角平分线问题问题)(典型题型归类训练)(解析版)_02高考数学_2024年新高考资料_3.2024专项复习_解题思路训练2024年高考数学复习解答题提优秘籍(新高考专用)
专题05解三角形(角平分线问题问题)(典型题型归类训练)(解析版)_02高考数学_2024年新高考资料_3.2024专项复习_解题思路训练2024年高考数学复习解答题提优秘籍(新高考专用)
专题05解三角形(角平分线问题问题)(典型题型归类训练)(解析版)_02高考数学_2024年新高考资料_3.2024专项复习_解题思路训练2024年高考数学复习解答题提优秘籍(新高考专用)
专题05解三角形(角平分线问题问题)(典型题型归类训练)(解析版)_02高考数学_2024年新高考资料_3.2024专项复习_解题思路训练2024年高考数学复习解答题提优秘籍(新高考专用)
专题05解三角形(角平分线问题问题)(典型题型归类训练)(解析版)_02高考数学_2024年新高考资料_3.2024专项复习_解题思路训练2024年高考数学复习解答题提优秘籍(新高考专用)
专题05解三角形(角平分线问题问题)(典型题型归类训练)(解析版)_02高考数学_2024年新高考资料_3.2024专项复习_解题思路训练2024年高考数学复习解答题提优秘籍(新高考专用)
专题05解三角形(角平分线问题问题)(典型题型归类训练)(解析版)_02高考数学_2024年新高考资料_3.2024专项复习_解题思路训练2024年高考数学复习解答题提优秘籍(新高考专用)
专题05解三角形(角平分线问题问题)(典型题型归类训练)(解析版)_02高考数学_2024年新高考资料_3.2024专项复习_解题思路训练2024年高考数学复习解答题提优秘籍(新高考专用)
专题05解三角形(角平分线问题问题)(典型题型归类训练)(解析版)_02高考数学_2024年新高考资料_3.2024专项复习_解题思路训练2024年高考数学复习解答题提优秘籍(新高考专用)
专题05解三角形(角平分线问题问题)(典型题型归类训练)(解析版)_02高考数学_2024年新高考资料_3.2024专项复习_解题思路训练2024年高考数学复习解答题提优秘籍(新高考专用)
专题05解三角形(角平分线问题问题)(典型题型归类训练)(解析版)_02高考数学_2024年新高考资料_3.2024专项复习_解题思路训练2024年高考数学复习解答题提优秘籍(新高考专用)
专题05解三角形(角平分线问题问题)(典型题型归类训练)(解析版)_02高考数学_2024年新高考资料_3.2024专项复习_解题思路训练2024年高考数学复习解答题提优秘籍(新高考专用)
专题05解三角形(角平分线问题问题)(典型题型归类训练)(解析版)_02高考数学_2024年新高考资料_3.2024专项复习_解题思路训练2024年高考数学复习解答题提优秘籍(新高考专用)
专题05解三角形(角平分线问题问题)(典型题型归类训练)(解析版)_02高考数学_2024年新高考资料_3.2024专项复习_解题思路训练2024年高考数学复习解答题提优秘籍(新高考专用)
专题05解三角形(角平分线问题问题)(典型题型归类训练)(解析版)_02高考数学_2024年新高考资料_3.2024专项复习_解题思路训练2024年高考数学复习解答题提优秘籍(新高考专用)
专题05解三角形(角平分线问题问题)(典型题型归类训练)(解析版)_02高考数学_2024年新高考资料_3.2024专项复习_解题思路训练2024年高考数学复习解答题提优秘籍(新高考专用)
专题05解三角形(角平分线问题问题)(典型题型归类训练)(解析版)_02高考数学_2024年新高考资料_3.2024专项复习_解题思路训练2024年高考数学复习解答题提优秘籍(新高考专用)
专题05解三角形(角平分线问题问题)(典型题型归类训练)(解析版)_02高考数学_2024年新高考资料_3.2024专项复习_解题思路训练2024年高考数学复习解答题提优秘籍(新高考专用)
专题05解三角形(角平分线问题问题)(典型题型归类训练)(解析版)_02高考数学_2024年新高考资料_3.2024专项复习_解题思路训练2024年高考数学复习解答题提优秘籍(新高考专用)
专题05解三角形(角平分线问题问题)(典型题型归类训练)(解析版)_02高考数学_2024年新高考资料_3.2024专项复习_解题思路训练2024年高考数学复习解答题提优秘籍(新高考专用)
专题05解三角形(角平分线问题问题)(典型题型归类训练)(解析版)_02高考数学_2024年新高考资料_3.2024专项复习_解题思路训练2024年高考数学复习解答题提优秘籍(新高考专用)
专题05解三角形(角平分线问题问题)(典型题型归类训练)(解析版)_02高考数学_2024年新高考资料_3.2024专项复习_解题思路训练2024年高考数学复习解答题提优秘籍(新高考专用)
专题05解三角形(角平分线问题问题)(典型题型归类训练)(解析版)_02高考数学_2024年新高考资料_3.2024专项复习_解题思路训练2024年高考数学复习解答题提优秘籍(新高考专用)
专题05解三角形(角平分线问题问题)(典型题型归类训练)(解析版)_02高考数学_2024年新高考资料_3.2024专项复习_解题思路训练2024年高考数学复习解答题提优秘籍(新高考专用)

文档信息

文档格式
docx
文档大小
1.703 MB
文档页数
27 页
上传时间
2026-04-08 04:47:41

文档内容

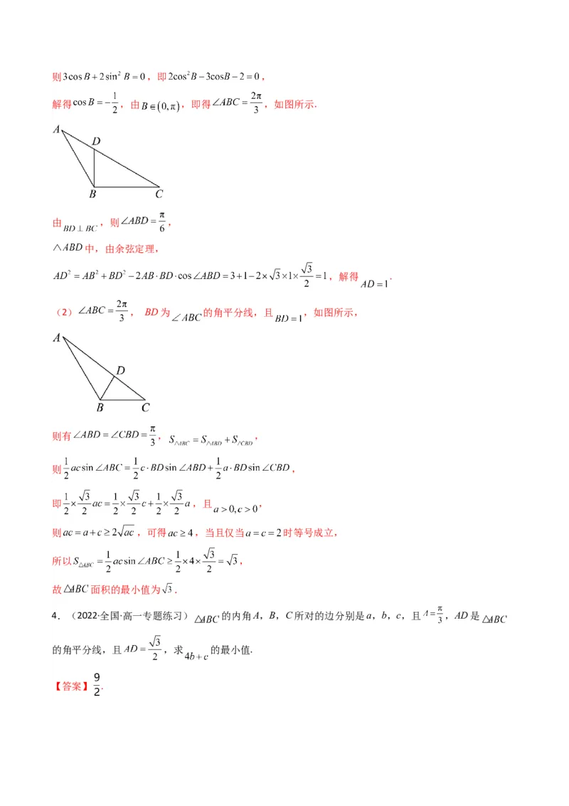
专题 05 解三角形(角平分线问题问题) (典型题型归类训练) 目录 一、必备秘籍...........................................................................................................1 二、典型题型...........................................................................................................2 方法一:等面积法..............................................................................................2 方法二:内角平分线定理..................................................................................5 方法三:角互补...............................................................................................11 三、专项训练.........................................................................................................14 一、必备秘籍 角平分线 如图,在 中, 平分 ,角 , , 所对的边分别为 , , 核心技巧1:内角平分线定理: 或 核心技巧2:等面积法(使用频率最高) 核心技巧3:边与面积的比值: 核心技巧4:角互补: 在 中有: ;在 中有: 二、典型题型 方法一:等面积法 1.(2023春·吉林·高一吉林市田家炳高级中学校考期末)在 中, , , , 的角平分线交BC于D,则 ( ) A. B.2 C. D. 【答案】B 【详解】在 中,由余弦定理得 , 则 ,即 , 解得 ,(负值舍), 而AD平分 ,即 , 又 ,故 , 则 , 故选:B 2.(2023秋·江西·高三校联考阶段练习)在 中,内角 , , 的对边分別为 , , ,且满足 . (1)求 ; (2)若内角 的角平分线交 于 点,且 ,求 的面积的最小值. 【答案】(1)(2) 【详解】(1)∵ ,∴由正弦定理得 , ∴ , ∴ , ∴ , ∵ , ,∴ ,∴ ,∴ , ∴ . (2) 如图,由题意及第(1)问知, ,且 , ∴ , ∴ ,化简得 , ∵ , ,∴由基本不等式得 ,∴ , 当且仅当 时,等号成立, ∴ ∴ , 故 的面积的最小值为 . 3.(2023秋·江苏淮安·高二淮阴中学校考开学考试)已知 中,内角A、B、C所对的边分别为a, b,c, ,D是 边AC上的一点,且 . (1)若 , ,求AD; (2)若BD为 的角平分线,求 面积的最小值. 【答案】(1)1 (2) 【详解】(1) ,由正弦定理得 , 由 , ,则 ,即 , 解得 ,由 ,即得 ,如图所示. 由 ,则 , 中,由余弦定理, ,解得 . (2) , BD为 的角平分线,且 ,如图所示, 则有 , , 则 , 即 ,且 , 则 ,可得 ,当且仅当 时等号成立, 所以 , 故 面积的最小值为 . 4.(2022·全国·高一专题练习) 的内角A,B,C所对的边分别是a,b,c,且 ,AD是 的角平分线,且 ,求 的最小值. 【答案】 .【详解】在 中, ,AD是 的角平分线,且 ,而 , 则有 ,即 ,得 , 因此 , 当且仅当 ,即 时取等号, 所以 的最小值是 . 5.(2022·全国·高一专题练习) 的内角A,B,C所对的边分别是a,b,c,且 ,AD是 的角平分线,且AD= , ,求c. 【答案】2或3 【详解】∵ , 则有 , , 可得 ① 由余弦定理 , 可得 ② 由① ②解得 ,或 , 所以 ,或 . 方法二:内角平分线定理 1.(2023春·广东深圳·高一校考期中)已知 中, , , , 是 的角 平分线,则 . 【答案】 / 【详解】设 ,因为 是角平分线,则 ,又由已知得 ,同理 , ∴ ,解得 . 故答案为: . 2.(2023·全国·高三专题练习)在 ABC中,角 所对的边分别是 ,其中 , , .若B的角平分线B△D交AC于点D,则 . 【答案】 / 【详解】由题设 ,则 , 又 ,则 ,故 ,又 ,即 , 在△ 中,由余弦定理知: ,即 ,得 ,故 , 在△ 中,由余弦定理知: , 故 ,故 或 , 又 ,即 ,故 . 故答案为: 3.(2023秋·四川成都·高二石室中学校考开学考试)如图,在 中, , 的角平分线 交 于 , . (1)求 的取值范围;(2)已知 面积为1,当线段 最短时,求实数 . 【答案】(1) ; (2) 【详解】(1)设 由角平分线定理, , , 由余弦定理, , , 所以 , 化简得 . 因为 ,故 ; (2)由题意, ,因此 , 由余弦定理, , 故 , 当且仅当 时, 取得最小值3,此时 . 显然 为锐角, 由 代入 中,得 ,或 舍去, 由(1)知,此时 . 4.(2023春·山东枣庄·高一统考期中) 中,内角A,B,C所对的边分别为a,b,c.已知 . (1)求 的值; (2)若BD是 的角平分线. (i)证明: ; (ii)若 ,求 的最大值.【答案】(1) (2)(i)证明见解析;(ii) 【详解】(1)因为 中, , 故 , 因为 ,故 ; (2)(i)证明: 中,由正弦定理得 ①, 又 ②, 同理在 中, ③, ④, BD是 的角平分线,则 , 则 , 又 ,故 , 故①÷③得 ⑤,即 , 由 ② ④得, , 则 , 即 ; (ii)因为 ,故 , 则由⑤得 ,则 ,由 以及(i)知 , 即 ,则 , 当且仅当 ,结合 ,即 时等号成立, 故 ,即 的最大值为 . 5.(2023春·重庆沙坪坝·高一重庆八中校考期末)如图,在 中, , 是角 的角平分 线,且 面积为1. (1)求 的面积; (2)设 ,①求 的取值范围;②当 的长度最短时,求 的值. 【答案】(1) (2)① ;② 【详解】(1)因为 是角 的角平分线,且 所以 ,即 , 所以 , 所以 . (2)①设 , , , 则 , , , (1)知, , , 又 ,即 , 整理得 , 又 ,所以 , 即 , 所以 的取值范围为 ; ②由①知, ,即 , 所以 , , 在 中,由余弦定理得 , 即 , 又 , , 设 ,则 , , 所以 , 当且仅当 ,即 时,等号成立, 此时 ,又 , 解得 , 所以 , 所以当 的长度最短时, .6.(2023·广东佛山·校联考模拟预测)记锐角 的内角 、 、 的对边分别为 、 、 ,已知 . (1)求 ; (2)已知 的角平分线交 于点 ,求 的取值范围. 【答案】(1) (2) 【详解】(1)因为 , 由正弦定理可得 , 所以 ,又 ,所以 . (2)因为 , 因为 为锐角三角形,所以 ,解得 ,所以 , 所以 ,即 的取值范围为 . 方法三:角互补 1.(2023春·高一单元测试)在 中, 是 的角平分线, 且交 于 . 已知 , 则 .【答案】 【详解】由题意 是 的角平分线, , 由角平分线的性质知: , 设 , 因为 ,则 ,则 , 所以 ,整理得 ,解得 或 (舍). 所以 ,. 故答案为: 2.(2023春·广东东莞·高一东莞市东莞中学校考阶段练习)已知 的内角A,B,C的对边为a,b, c,且 . (1)求 ; (2)若 的面积为 ,求内角A的角平分线 长的最大值. 【答案】(1) (2) 【详解】(1)由正弦定理,得 ,即 , 故 , 因为 ,所以 , 所以 ;(2)由(1)知 , 因为 的面积为 ,所以 ,解得 , 在 中,由正弦定理,得 , 在 中,由正弦定理,得 , 因为AD为角A的角平分线,所以 , 又 ,所以 ,所以 , 不妨设 , ,则 ,故 , 延长 至点E,使得 ,连接 , 则 ,又 , 所以 ,故 , , 则 , , 则 , , 在 中,由余弦定理,得 , 即 , 因为 ,所以 , 其中 ,当且仅当 ,即 时,等号成立, 故 ,故 .所以 长的最大值为 . 3.(2023·全国·高三专题练习)在 中,点 在边 上, , . (1)若 是 的角平分线,求 ; (2)若 是边 上的中线,且 ,求 . 【答案】(1) (2) . 【详解】(1)解:点 在边 上, , . 是 的角平分线, 在 和 中,由正弦定理可得 , ; , , . (2)解:因为 是边 上的中线, 设 , , , , , ,化简可得 ,解得 或 (舍去), . 4.(2022·浙江·模拟预测)在 中, 是 的角平分线且 ,若 , 则 , 的面积为 .【答案】 6 【详解】在 中, 是 的角平分线,且 ,则有: ,令 ,则 , 在 与 中,由余弦定理得: , , 因此, ,得 ,即有 ,解得 , 的面积为 . 故答案为: ;6 三、专项训练 1.(2023·全国·高三专题练习)在 中,角 、 、 所对的边分别为 、 、 ,若 , 为 的角平分线,且 , ,则 的值为( ) A. B. C. D. 【答案】B 【详解】因为 ,由正弦定理可得 , 所以, , 由余弦定理可得 ,因为 ,所以, , 因为 ,由 可得 , 即 ,解得 , , 由余弦定理可得 , 因此, .故选:B. 2.(2023·全国·高三专题练习)在 中, , 的角平分线 交 于点D, 的面积是 面积的3倍,则 ( ) A. B. C. D. 【答案】A 【详解】 因为 , 即 ,在 中,作 边上高,垂足为 , 则 , 故选:A. 3.(2022秋·广西柳州·高三校联考阶段练习)已知 中, 为 的角平分线, ,则 的面积为( ) A. B. C. D. 【答案】B 【详解】设 ∵ ,则 即 ,可得 ∵ ,则 ∴ ,则 故选:B. 4.(2023·全国·高三专题练习)已知 的内角 对应的边分别是 , 内角 的角平分线交边 于 点, 且 .若 , 则 面积的最小值是( )A.16 B. C.64 D. 【答案】B 【详解】∵ , ∴ , 即 , 又 , , ∴ ,即 ,又 , ∴ , 由题可知 , , 所以 ,即 , 又 ,即 , 当且仅当 取等号, 所以 . 故选:B. 5.(2022·全国·高三专题练习)在 ABC中,角A,B,C的对边分别为a,b,c,且 ,AD是△ ABC的角平分线,D在BC边上, ,b=3c,则a的值为 ( ) △ A. B. C. D. 【答案】B 【详解】解:因为 , 所以由正弦定理化简可得:a2=b2+c2﹣bc,即:b2+c2﹣a2=bc, 故 , 由于A∈(0,π), 可得:A= , 因为AD是 ABC的角平分线,D在BC边上,可得∠BAD=∠DAC= , △所以由余弦定理可得 , 因为b=3c, 所以CD=3BD,即 , 整理可得 , 所以由余弦定理可得 . 故选:B. 6.(2023·全国·高三专题练习)已知 ,内角 所对的边分别是 , 的角平分线交 于点D.若 ,则 的取值范围是 . 【答案】 【详解】 对 用正弦定理,可得 ,设 , ,由于 为 三角形内角,则 ,由 可得, ,整理得, ,对 ,由余弦定理, ,即 ,故 ,即 ,于是 ,根据基本不等式, ,即 ,结合 ,解得 ,即 ,于是 . 故答案为: 7.(2023·全国·高三专题练习)在三角形 中,角 的对边分别是 ,若 ,角 的角平分线交边 于点 ,且 ,则边c的大小为 . 【答案】 / 【详解】由 可得: , 故 ,所以 , 由于 ,故 , 故由 可得: , 又 ,故 ,联立 , 解得 , 故 , 故 , 故答案为: 8.(2023·全国·高三专题练习)在 中, ,∠A的角平分线与BC边相交于D. , ,则AB边的长度为 . 【答案】2或3/3或2 【详解】由题意得 , , ,由 ,可得 , 所以 , 又由余弦定理,有 ,可得 , 所以 ,解得 , 又由 ,可得 或 . 故答案为:2或3 9.(2022·安徽·统考模拟预测)在 ABC中,角A,B,C的对边分别是a,b,c.若AD为 ABC的角平 △ △ 分线,且 , , ,则 ABC面积为 . △ 【答案】 / 【详解】因为 , , 所以 , 由正弦定理边化角可得: , 所以 , 所以 , 因为 ,所以 , 所以 ,即 , 因为 ,所以 ,解得 , 由余弦定理可得 ,整理可得 , 又 , 所以 ,整理得 ,所以 ,解得 或-1(舍), 所以 . 故答案为: 10.(2023·四川绵阳·统考二模)在三角形ABC中,角A、B、C所对边分别为a,b,c.已知 , . (1)求边b的长; (2)延长BC至D,使得 ,连接AD.已知 为锐角,且它的角平分线与AB交于点E,若 外接圆半径为 .求 长. 【答案】(1) (2) 【详解】(1)因为 , 所以由正弦定理可得 , 所以 又因为 ,所以 , ∴ ,即 ,∴ (2)由(1)可知, 在 中,由正弦定理: , 可得: ,所以 , ∵ 为锐角,∴ 由 可得: 即 ①因为 ,所以 , 在 中,由余弦定理可求得 ,求得 , 代入①可解得: 11.(2022秋·重庆沙坪坝·高三重庆一中校考阶段练习) 的内角 , , 的对边分别记为 , , ,若 , ,从下面条件①②③中任选一个作为已知条件,完成以下问题: ① ;② ;③ . (1)求 的面积; (2)若 的角平分线与边 交于点 ,延长 至点 使得 ,求 . 【答案】(1) (2) 【详解】(1)若选① ,则 , ,又 . 若选② , ,则 , , , 由正弦定理可得: . 若选③ ,由 得 ,且 , 则 , 由 得 ,则 , 由正弦定理可得: ; (2)由角平分线的性质知: ,∴ , , 在 中, ,∵ ,∴ ,由余弦定理知: , 故 , 在 中,由正弦定理知: , 即 ,故 . 在 中, , , 由余弦定理知: , 故 . 12.(2023·陕西西安·陕西师大附中校考模拟预测)在 中,角 的对边分别为 ,已知 , (1)求角 的大小; (2)若 的角平分线交 于点 ,且 ,求 的最小值, 【答案】(1) (2) 【详解】(1)因为 , 所以 ,所以 , 由于 ,则 ,所以 ,即 , 又 ,所以 . (2)因为 的角平分线交 于点 ,且 , , 根据三角形面积公式可得 , 等式两边同除以 可得 ,则 , 则 , 当且仅当 ,即 时,等式成立, 故 的最小值为 . 13.(2022秋·四川绵阳·高三四川省绵阳江油中学校考阶段练习)在△ABC中, . (1)求B的值; (2)给出以下三个条件:① ;② , ;③ ,若这三个条件中仅有两 个正确,请选出正确的条件并回答下面问题: (i)求 的值; (ii)求∠ABC的角平分线BD的长. 【答案】(1) (2)正确条件为①③,(i) ,(ii) 【详解】(1)由题设 ,而 , 所以 ,故 ; (2)若①②正确,则 ,得 或 , 所以①②有一个错误条件,则③是正确条件, 若②③正确,则 ,可得 ,即②为错误条件, 综上,正确条件为①③, (i)由 ,则 ,即 , 又 ,可得 , 所以 ,可得 ,则 , 故 ; (ii)因为 且 ,得 , 由 平分 得 , 在 中, , 在 中,由 ,得 . 14.(2023秋·江西吉安·高三吉安一中校考开学考试)如图,在 中,内角 , , 的对边分别为 , , .已知 , , ,且 为 边上的中线, 为 的角平分线. (1)求 及线段 的长;(2)求 的面积. 【答案】(1) ,BC=6 (2) 【详解】(1)由题意在 中, ,∴ , ∴ ,而 , ,∴ , 由余弦定理得 ( 舍去),即 . (2)在 中, , , , ∴ , ∵AE平分∠BAC, , 由正弦定理得: , 其中 , ∴ ,则 , , ∵AD为BC边的中线,∴ , ∴ . 15.(2022·全国·高三专题练习)在① ;② 两个条件中任选一个,补充在下面的问题中,并解决该问题. 已知 ABC中,角A,B,C的对边分别为a,b,c, , . (1)求角C的大小; △ (2)若∠ACB的角平分线CD交线段AB于点D,且 ,求 ABC的面积. △ 【答案】(1) ; (2) . 【详解】(1)选①:由正弦边角关系得 , 再由余弦边角关系得 ,所以 ,而 且 , 所以 . 选②: , 所以 ,即 , 又 ,则 且 ,所以 ,可得 , 所以 . (2)过 作 交 延长线于 , 因为 为角平分线,且 ,则 , 由 ,则 ,又 , 所以 , ,故 ,又 , 故△ 为等边三角形,则 , , 结合(1)结论, ABC的面积为 . △