当前位置:首页>文档>专题05解三角形(角平分线问题问题)(典型题型归类训练)(解析版)_02高考数学_2025年新高考资料_二轮复习_解题思路训练2025年高考数学复习解答题提优秘籍(新高考专用)

专题05解三角形(角平分线问题问题)(典型题型归类训练)(解析版)_02高考数学_2025年新高考资料_二轮复习_解题思路训练2025年高考数学复习解答题提优秘籍(新高考专用)

  • 2026-04-08 04:51:40 2026-04-08 04:46:10

文档预览

专题05解三角形(角平分线问题问题)(典型题型归类训练)(解析版)_02高考数学_2025年新高考资料_二轮复习_解题思路训练2025年高考数学复习解答题提优秘籍(新高考专用)
专题05解三角形(角平分线问题问题)(典型题型归类训练)(解析版)_02高考数学_2025年新高考资料_二轮复习_解题思路训练2025年高考数学复习解答题提优秘籍(新高考专用)
专题05解三角形(角平分线问题问题)(典型题型归类训练)(解析版)_02高考数学_2025年新高考资料_二轮复习_解题思路训练2025年高考数学复习解答题提优秘籍(新高考专用)
专题05解三角形(角平分线问题问题)(典型题型归类训练)(解析版)_02高考数学_2025年新高考资料_二轮复习_解题思路训练2025年高考数学复习解答题提优秘籍(新高考专用)
专题05解三角形(角平分线问题问题)(典型题型归类训练)(解析版)_02高考数学_2025年新高考资料_二轮复习_解题思路训练2025年高考数学复习解答题提优秘籍(新高考专用)
专题05解三角形(角平分线问题问题)(典型题型归类训练)(解析版)_02高考数学_2025年新高考资料_二轮复习_解题思路训练2025年高考数学复习解答题提优秘籍(新高考专用)
专题05解三角形(角平分线问题问题)(典型题型归类训练)(解析版)_02高考数学_2025年新高考资料_二轮复习_解题思路训练2025年高考数学复习解答题提优秘籍(新高考专用)
专题05解三角形(角平分线问题问题)(典型题型归类训练)(解析版)_02高考数学_2025年新高考资料_二轮复习_解题思路训练2025年高考数学复习解答题提优秘籍(新高考专用)
专题05解三角形(角平分线问题问题)(典型题型归类训练)(解析版)_02高考数学_2025年新高考资料_二轮复习_解题思路训练2025年高考数学复习解答题提优秘籍(新高考专用)
专题05解三角形(角平分线问题问题)(典型题型归类训练)(解析版)_02高考数学_2025年新高考资料_二轮复习_解题思路训练2025年高考数学复习解答题提优秘籍(新高考专用)
专题05解三角形(角平分线问题问题)(典型题型归类训练)(解析版)_02高考数学_2025年新高考资料_二轮复习_解题思路训练2025年高考数学复习解答题提优秘籍(新高考专用)
专题05解三角形(角平分线问题问题)(典型题型归类训练)(解析版)_02高考数学_2025年新高考资料_二轮复习_解题思路训练2025年高考数学复习解答题提优秘籍(新高考专用)
专题05解三角形(角平分线问题问题)(典型题型归类训练)(解析版)_02高考数学_2025年新高考资料_二轮复习_解题思路训练2025年高考数学复习解答题提优秘籍(新高考专用)
专题05解三角形(角平分线问题问题)(典型题型归类训练)(解析版)_02高考数学_2025年新高考资料_二轮复习_解题思路训练2025年高考数学复习解答题提优秘籍(新高考专用)
专题05解三角形(角平分线问题问题)(典型题型归类训练)(解析版)_02高考数学_2025年新高考资料_二轮复习_解题思路训练2025年高考数学复习解答题提优秘籍(新高考专用)
专题05解三角形(角平分线问题问题)(典型题型归类训练)(解析版)_02高考数学_2025年新高考资料_二轮复习_解题思路训练2025年高考数学复习解答题提优秘籍(新高考专用)
专题05解三角形(角平分线问题问题)(典型题型归类训练)(解析版)_02高考数学_2025年新高考资料_二轮复习_解题思路训练2025年高考数学复习解答题提优秘籍(新高考专用)
专题05解三角形(角平分线问题问题)(典型题型归类训练)(解析版)_02高考数学_2025年新高考资料_二轮复习_解题思路训练2025年高考数学复习解答题提优秘籍(新高考专用)
专题05解三角形(角平分线问题问题)(典型题型归类训练)(解析版)_02高考数学_2025年新高考资料_二轮复习_解题思路训练2025年高考数学复习解答题提优秘籍(新高考专用)
专题05解三角形(角平分线问题问题)(典型题型归类训练)(解析版)_02高考数学_2025年新高考资料_二轮复习_解题思路训练2025年高考数学复习解答题提优秘籍(新高考专用)
专题05解三角形(角平分线问题问题)(典型题型归类训练)(解析版)_02高考数学_2025年新高考资料_二轮复习_解题思路训练2025年高考数学复习解答题提优秘籍(新高考专用)
专题05解三角形(角平分线问题问题)(典型题型归类训练)(解析版)_02高考数学_2025年新高考资料_二轮复习_解题思路训练2025年高考数学复习解答题提优秘籍(新高考专用)
专题05解三角形(角平分线问题问题)(典型题型归类训练)(解析版)_02高考数学_2025年新高考资料_二轮复习_解题思路训练2025年高考数学复习解答题提优秘籍(新高考专用)
专题05解三角形(角平分线问题问题)(典型题型归类训练)(解析版)_02高考数学_2025年新高考资料_二轮复习_解题思路训练2025年高考数学复习解答题提优秘籍(新高考专用)

文档信息

文档格式
docx
文档大小
1.189 MB
文档页数
20 页
上传时间
2026-04-08 04:46:10

文档内容

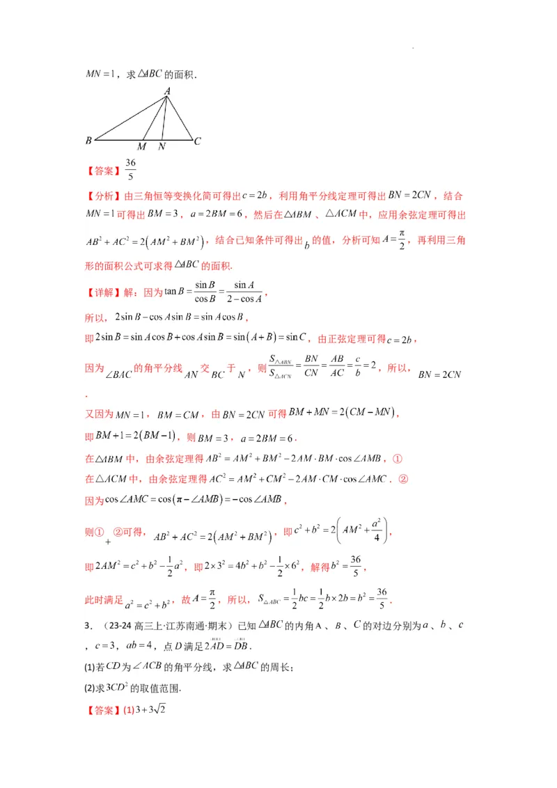
专题 05 解三角形(角平分线问题问题)(典型题型归类训 练) 目录 一、必备秘籍..............................................1 二、典型题型..............................................1 方法一:等面积法.......................................1 方法二:角互补.........................................7 三、专项训练.............................................10 一、必备秘籍 角平分线 如图,在 中, 平分 ,角 , , 所对的边分别为 , , 核心技巧1:内角平分线定理: 或 核心技巧2:等面积法(使用频率最高) 核心技巧3:边与面积的比值: 核心技巧4:角互补: 在 中有: ; 学科网(北京)股份有限公司在 中有: 二、典型题型 方法一:等面积法 1.(23-24高一下·山东·阶段练习) 的内角 的对边分别为 ,满足 (1)求 ; (2) 的角平分线与 交于点 ,求 的最小值. 【答案】(1) (2) 【分析】(1)由诱导公式正弦定理倍角公式化简已知等式,即可求解; (2)由 ,得 ,利用基本不等式求 的最小值. 【详解】(1)由 得: , 由正弦定理得: ,倍角公式得 , 由 ,有 ,所以 , 得 ,所以 . (2)由 ,得 , 即 ,得 , , 当且仅当 即 时等号成立 所以 的最小值为 . 学科网(北京)股份有限公司2.(23-24高一下·黑龙江哈尔滨·阶段练习)在 中,内角 的对边分别是 ,且 , (1)求角 ; (2)若 ,求边 上的角平分线 长. 【答案】(1) ; (2) . 【分析】(1)根据给定条件,利用正弦定理边化角,再利用两角和的正弦公式化简即可求 出 . (2)利用余弦定理及已知求出 ,然后利用三角形面积公式列方程求解即可. 【详解】(1)在 中,由正弦定理及 ,得 ,即 , 而 ,解得 ,又 , 所以 . (2)由 及余弦定理得 ,又 ,解得 , 由 得 , 即 ,则 , 所以 . 3.(23-24高一下·广东东莞·阶段练习)如图在 中, , , 分别是角 , , 所对的边, 是边 上的一点. (1)若 , , , ,求 的面积. (2)试利用“ ”证明:“ ”; 学科网(北京)股份有限公司(3)已知 , 是 的角平分线,且 , ,求 的面积. 【答案】(1) (2)证明见解析 (3) 【分析】(1)根据 ,利用三角形面积公式求解即可; (2)由 得 ,两边同时乘以 ,再利用向量的数量积即可证 明; (3)根据正弦定理将角化边求出 ,利用 和余弦定理求出 的 值即可求出 的面积. 【详解】(1) , , , 的面积为 ; (2) , , 两边同时乘以 得 , 即 , , 两边同时除以 ,得 , ; (3) , 根据正弦定理有 ,即 , , , ,即 , , ,即 , 是 的角平分线, , , , 学科网(北京)股份有限公司即 , 整理得 ①, 在 中, , 即 ②, ①②联立解得 (舍)或 , , 的面积为 . 4.(2024·四川遂宁·二模)已知 的内角A,B,C的对边分别为a,b,c,且 . (1)求角C; (2)若CD是 的角平分线, , 的面积为 ,求c的值. 【答案】(1) (2) 【分析】(1)利用正弦定理化角为边,结合和差角公式以及弦切互化可得 ,即 可求解, (2)由 ,可得 ,根据等面积法可求 ,由余弦定理即可求 的 值. 【详解】(1)由 可得 故 ,进而 , 由于 所以 (2)由面积公式得 ,解得 , 学科网(北京)股份有限公司, , 即 , , 又 , , . 5.(22-23高一下·江苏连云港·期中)已知 的内角A,B,C的对边为a,b,c,且 . (1)求 ; (2)若 的面积为 ; ①已知E为BC的中点,求 底边BC上中线AE长的最小值; ②求内角A的角平分线AD长的最大值. 【答案】(1) (2) 长的最小值为 , 的最大值 【分析】(1)由正弦定理和余弦定理得到 ,进而求出 ; (2)由面积公式求出 ,进而根据向量的模长公式结合不等式即可求解 的最值, 根据三角形面积公式,结合等面积法,利用基本不等式可求解 的最值. 【详解】(1)由正弦定理,得 ,即 , 故 , 因为 ,所以 , 所以 ; (2)①由(1)知 , 因为 的面积为 ,所以 ,解得 , 由于 ,所以 学科网(北京)股份有限公司, 当且仅当 时,等号取得到,所以 ; ②因为 为角 的角平分线,所以 , 由于 , 所以 , 由于 ,所以 , 由于 , 又 ,所以 由于 ,当且仅当 时,等号取得到, 故 ,故 , 方法二:角互补 1.(23-24高二上·云南玉溪·期中)已知 的三个内角 所对的边分别为 , 满足 ,且 . (1)求 ; (2)若点 在边 上, ,且满足 ,求边长 ; 请在以下三个条件: ① 为 的一条中线;② 为 的一条角平分线;③ 为 的一条高 线; 其中任选一个,补充在上面的横线中,并进行解答. 注:如果选择多个条件分别解答,按第一个解答计分. 【答案】(1) (2) 【分析】(1)利用正弦定理将边化角,借助三角恒等变换公式化简即可; (2)由(1)问,分析边角关系,利用余弦定理等知识求解即可. 学科网(北京)股份有限公司【详解】(1)因为 ,由正弦定理可得 , 由倍角公式可得 ,则 , 又因为 ,则 , 所以 , 即 . 且 ,则 ,可得 , 又因为 ,所以 . (2)若选择①:若 为 的中线,设 ( ), 由余弦定理可得 , , 因为 ,可得 , 即 ,整理得 ,可知 , 又因为 ,解得 或 (舍去), 所以 ; 若选择②:若 为 的角平分线,则 , 在 中,由余弦定理得 ,即 , 可知 ,即 ,可知 , , 所以 ; 若选择③:若 为 的高线,则 , 则 ,即 ,则 , 可知 ,可知 , , 所以 . 2.(2023高三上·全国·专题练习)在 中,记角 、 、 所对的边分别为 、 、 ,已知 ,中线 交 于 ,角平分线 交 于 ,且 , 学科网(北京)股份有限公司,求 的面积. 【答案】 【分析】由三角恒等变换化简可得出 ,利用角平分线定理可得出 ,结合 可得出 , ,然后在 、 中,应用余弦定理可得出 ,结合已知条件可得出 的值,分析可知 ,再利用三角 形的面积公式可求得 的面积. 【详解】解:因为 , 所以, , 即 ,由正弦定理可得 , 因为 的角平分线 交 于 ,则 ,所以, . 又因为 , ,由 可得 , 即 ,则 , . 在 中,由余弦定理得 ,① 在 中,由余弦定理得 .② 因为 , 则① ②可得, ,即 , 即 ,即 ,解得 , 此时满足 ,故 ,所以, . 3.(23-24高三上·江苏南通·期末)已知 的内角 、 、 的对边分别为 、 、 , , ,点 满足 . (1)若 为 的角平分线,求 的周长; (2)求 的取值范围. 【答案】(1) 学科网(北京)股份有限公司(2) 【分析】(1)由 和 ,根据 为 的角 平分线,得到 ,再与 求解. (2)由 和 ,得到 ,再 结合 ,得到 求解. 【详解】(1)在 中, ,① 在 中, ,② 因为 为 的角平分线, 所以 ,所以 , 因为 ,所以 , 所以 , 又因为 ,所以 , 又因为 , 所以 , , 所以 的周长为 . (2)在 中, , 在 中, , 因为 ,所以 , 所以 , 因为 ,所以 , 因为 ,所以 学科网(北京)股份有限公司所以 所以 , 令 ,则 , 则 , , , 当 时, ,当 时, , 所以在 上单调递减,在 上单调递增 所以 ,所以 的取值范围为 . 三、专项训练 1.(23-24高二上·辽宁·阶段练习)在 中, , , , 的角平分线交 于 ,则 . 【答案】 【分析】由余弦定理求得 ,然后由角平分线定理求得 , ,再由余弦定理利用 ,求得 . 【详解】 中,由余弦定理 得 , 解得 ( 舍去), 是角平分线,则 , 所以 , , 又由余弦定理得: , , 而 , 学科网(北京)股份有限公司因此 , , , . 故答案为: . 2.(2024·浙江·模拟预测)在 中, 是 的角平分线且 ,若 ,则 , 的面积为 . 【答案】 6 【分析】根据给定条件,求出边AB,AC长的关系,再利用余弦定理、三角形面积定理求 解作答. 【详解】在 中, 是 的角平分线,且 ,则有: ,令 ,则 , 在 与 中,由余弦定理得: , , 因此, ,得 ,即有 ,解得 , 的面积为 . 故答案为: ;6 3.(23-24高三下·浙江·开学考试)在△ 中, 是 的角平分线, 且交 学科网(北京)股份有限公司于 . 已知 , 则 , . 【答案】 【分析】由角平分线的性质可得 ,设 结合 列方程求参数m,即可求 ,再由余弦定理求 . 【详解】由角平分线的性质知: ,若 , 因为 ,则 , 所以 ,整理得 ,解得 或 (舍). 所以 ,则 . 故答案为: 4.(23-24高三上·江西赣州·)在 中,内角 的对边分别为 ,满足 为 的角平分线,且 ,则 . 【答案】6 【解析】根据题意先求出 的三角函数值,在 中,已知两边夹一角,可以利用 余弦定理求出 , 再求出 的三角函数值,在 中,已知 和 ,先求出 ,再利用正弦定理求解 即可. 【详解】记 ,因为 ,所以 , , 学科网(北京)股份有限公司在 中,由余弦定理, ,代入数据,解得 , , ,所以 , , 在 中, , 由正弦定理, ,即 ,解得, ,即 . 故答案为:6 【点睛】本题主要考查解三角形正弦定理和余弦定理的综合应用,考查学生对三角形中角 和边关系的分析能力,同时还考查学生的计算能力,属于中档题. 5.(2024·江苏常州·模拟预测)已知 中内角 的对边分别是 , . (1)求 的值; (2)设 是 的角平分线,求 的长. 【答案】(1) (2) 【分析】(1)由三角形的正弦定理,结合诱导公式以及两角和的正弦公式可得所求值; (2)设AD x,运用三角形的面积公式,结合等积法可得 ,解方程可 得所求值. 【详解】(1) ,由 ,可得 , ,可得B为锐角,则 , 所以 sin = , 由 = 可得 ,解得 ; (2)由(1)可得 , 学科网(北京)股份有限公司因为 是 的平分线, 所以 , 设 ,由 , 可得 , 化为 , 解得 , 则 . 6.(2024·安徽蚌埠·模拟预测)已知 的内角 , , 所对的边分别为 , 且满 足 . (1)求角 ; (2)若 的面积为 ,点 在边 上, 是 的角平分线,且 ,求 的周长. 【答案】(1) (2) 【分析】(1)由题中等式和二倍角公式,正弦定理,余弦定理整理可得. (2)利用三角形面积公式,先求 ,再利用余弦定理求 即可. 【详解】(1) , , 由正弦定理得 , , 又 , . (2) , 学科网(北京)股份有限公司, , 由题意知 , , , , , ,故 . 的周长为 . 7.(23-24高一下·湖南邵阳·期中)在 中,内角 , , 的对边分别为 , , , . (1)求角A的大小; (2)若 是 角平分线,求证: . 【答案】(1) (2)证明见解析 【分析】(1)利用正弦定理边化角结合同角的三角函数关系即可求得答案; (2)根据角平分线性质可得 ,利用 展开化简即可 证明结论. 【详解】(1)由 ,由正弦定理可得 , 因为 ,可得 ,所以 ,即 , 又因为 ,可得 . (2)因为 是 角平分线,且 ,所以 , 所以 , 学科网(北京)股份有限公司可得 , 可得 , 所以 ,所以 , 即 . 8.(2024·广东深圳·模拟预测)已知 的内角 的对边分别为 ,且 . (1)求角B; (2)设 的角平分线 交 于点D,若 ,求 的面积的最小值. 【答案】(1) (2) 【分析】(1)利用正弦定理边化角,结合两角和的正弦公式化简求值,可得答案. (2)根据三角形的面积之间的关系,即 ,可得 ,结合基 本不等式,即可求得答案. 【详解】(1)由已知及正弦定理得: , 又在 中, , ∴ , 即 , 又 ,∴ , 又 ,∴ ,即角B的大小为 . (2)∵ . 是 的角平分线,而 , ∴ , 即 ,∴ . ∵ ,∴ , ∵ ,∴ ,即 , 学科网(北京)股份有限公司当且仅当 时取等号,则 , 即 的面积的最小值为 . 9.(2024·广东惠州·模拟预测)条件① , 条件② , 条件③ . 请从上述三个条件中任选一个,补充在下列问题中,并解答. 已知 的内角 、 、 所对的边分别为 、 、 ,且满足________, (1)求 ; (2)若 是 的角平分线,且 ,求 的最小值. 【答案】(1)条件选择见解析, (2) 【分析】(1)选①,利用正弦定理结合两角和的正弦公式可得出 的值,结合角 的 取值范围可得出角 的值; 选②,利用正弦定理结合余弦定理可得出 的值,结合角 的取值范围可得出角 的 值; 选③,利用正弦定理结合三角恒等变换化简可得出 的值,结合角 的取值范围可得出 角 的值; (2)由已知 结合三角形的面积公式可得出 ,将 与 相乘,展开后利用基本不等式可求得 的最小值. 【详解】(1)解:选①:因为 ,由正弦定理可得 , 即 , 所以 , 而 , ,故 ,因为 ,所以 ; 选②:因为 ,由正弦定理 , 学科网(北京)股份有限公司即 ,由余弦定理 , 因为 ,所以 ; 选③:因为 , 正弦定理及三角形内角和定理可得 , 即 , 因为 、 ,则 ,所以, , , 所以 ,所以 ,即 . (2)解:由题意可知, , 由角平分线性质和三角形面积公式得 , 化简得 ,即 , 因此 , 当且仅当 时取等号,所以 的最小值为 . 10.(23-24高三上·河北·阶段练习)已知 中,角A,B,C所对的边分别为a,b, c,其中 , . (1)若点D为 的中点且 ,求 的余弦值; (2)若 的角平分线与 相交于点E,当 取得最大值时,求 的长. 【答案】(1) (2) 【分析】(1)延长 到F,构造平行四边形,转化角后由余弦定理计算; (2)设 , ,由余弦定理用 表示出 ,由面积 把 用 表示,然后计算出 ,利用基本不等式得最大值. 【详解】(1)根据题意,延长 到F,使得 ,连接 , 可得四边形 为平行四边形, 所以 ; 学科网(北京)股份有限公司(2)设 , , 可得 , 因此 , 又 当且仅当 时等号成立, 所以 . 学科网(北京)股份有限公司