当前位置:首页>文档>专题05圆锥曲线中的向量问题(典型题型归类训练)(解析版)_02高考数学_2025年新高考资料_二轮复习_解题思路训练2025年高考数学复习解答题提优秘籍(新高考专用)

专题05圆锥曲线中的向量问题(典型题型归类训练)(解析版)_02高考数学_2025年新高考资料_二轮复习_解题思路训练2025年高考数学复习解答题提优秘籍(新高考专用)

  • 2026-04-08 04:24:50 2026-04-08 03:42:01

文档预览

专题05圆锥曲线中的向量问题(典型题型归类训练)(解析版)_02高考数学_2025年新高考资料_二轮复习_解题思路训练2025年高考数学复习解答题提优秘籍(新高考专用)
专题05圆锥曲线中的向量问题(典型题型归类训练)(解析版)_02高考数学_2025年新高考资料_二轮复习_解题思路训练2025年高考数学复习解答题提优秘籍(新高考专用)
专题05圆锥曲线中的向量问题(典型题型归类训练)(解析版)_02高考数学_2025年新高考资料_二轮复习_解题思路训练2025年高考数学复习解答题提优秘籍(新高考专用)
专题05圆锥曲线中的向量问题(典型题型归类训练)(解析版)_02高考数学_2025年新高考资料_二轮复习_解题思路训练2025年高考数学复习解答题提优秘籍(新高考专用)
专题05圆锥曲线中的向量问题(典型题型归类训练)(解析版)_02高考数学_2025年新高考资料_二轮复习_解题思路训练2025年高考数学复习解答题提优秘籍(新高考专用)
专题05圆锥曲线中的向量问题(典型题型归类训练)(解析版)_02高考数学_2025年新高考资料_二轮复习_解题思路训练2025年高考数学复习解答题提优秘籍(新高考专用)
专题05圆锥曲线中的向量问题(典型题型归类训练)(解析版)_02高考数学_2025年新高考资料_二轮复习_解题思路训练2025年高考数学复习解答题提优秘籍(新高考专用)
专题05圆锥曲线中的向量问题(典型题型归类训练)(解析版)_02高考数学_2025年新高考资料_二轮复习_解题思路训练2025年高考数学复习解答题提优秘籍(新高考专用)
专题05圆锥曲线中的向量问题(典型题型归类训练)(解析版)_02高考数学_2025年新高考资料_二轮复习_解题思路训练2025年高考数学复习解答题提优秘籍(新高考专用)
专题05圆锥曲线中的向量问题(典型题型归类训练)(解析版)_02高考数学_2025年新高考资料_二轮复习_解题思路训练2025年高考数学复习解答题提优秘籍(新高考专用)
专题05圆锥曲线中的向量问题(典型题型归类训练)(解析版)_02高考数学_2025年新高考资料_二轮复习_解题思路训练2025年高考数学复习解答题提优秘籍(新高考专用)
专题05圆锥曲线中的向量问题(典型题型归类训练)(解析版)_02高考数学_2025年新高考资料_二轮复习_解题思路训练2025年高考数学复习解答题提优秘籍(新高考专用)
专题05圆锥曲线中的向量问题(典型题型归类训练)(解析版)_02高考数学_2025年新高考资料_二轮复习_解题思路训练2025年高考数学复习解答题提优秘籍(新高考专用)
专题05圆锥曲线中的向量问题(典型题型归类训练)(解析版)_02高考数学_2025年新高考资料_二轮复习_解题思路训练2025年高考数学复习解答题提优秘籍(新高考专用)
专题05圆锥曲线中的向量问题(典型题型归类训练)(解析版)_02高考数学_2025年新高考资料_二轮复习_解题思路训练2025年高考数学复习解答题提优秘籍(新高考专用)
专题05圆锥曲线中的向量问题(典型题型归类训练)(解析版)_02高考数学_2025年新高考资料_二轮复习_解题思路训练2025年高考数学复习解答题提优秘籍(新高考专用)
专题05圆锥曲线中的向量问题(典型题型归类训练)(解析版)_02高考数学_2025年新高考资料_二轮复习_解题思路训练2025年高考数学复习解答题提优秘籍(新高考专用)
专题05圆锥曲线中的向量问题(典型题型归类训练)(解析版)_02高考数学_2025年新高考资料_二轮复习_解题思路训练2025年高考数学复习解答题提优秘籍(新高考专用)
专题05圆锥曲线中的向量问题(典型题型归类训练)(解析版)_02高考数学_2025年新高考资料_二轮复习_解题思路训练2025年高考数学复习解答题提优秘籍(新高考专用)
专题05圆锥曲线中的向量问题(典型题型归类训练)(解析版)_02高考数学_2025年新高考资料_二轮复习_解题思路训练2025年高考数学复习解答题提优秘籍(新高考专用)
专题05圆锥曲线中的向量问题(典型题型归类训练)(解析版)_02高考数学_2025年新高考资料_二轮复习_解题思路训练2025年高考数学复习解答题提优秘籍(新高考专用)
专题05圆锥曲线中的向量问题(典型题型归类训练)(解析版)_02高考数学_2025年新高考资料_二轮复习_解题思路训练2025年高考数学复习解答题提优秘籍(新高考专用)
专题05圆锥曲线中的向量问题(典型题型归类训练)(解析版)_02高考数学_2025年新高考资料_二轮复习_解题思路训练2025年高考数学复习解答题提优秘籍(新高考专用)
专题05圆锥曲线中的向量问题(典型题型归类训练)(解析版)_02高考数学_2025年新高考资料_二轮复习_解题思路训练2025年高考数学复习解答题提优秘籍(新高考专用)
专题05圆锥曲线中的向量问题(典型题型归类训练)(解析版)_02高考数学_2025年新高考资料_二轮复习_解题思路训练2025年高考数学复习解答题提优秘籍(新高考专用)
专题05圆锥曲线中的向量问题(典型题型归类训练)(解析版)_02高考数学_2025年新高考资料_二轮复习_解题思路训练2025年高考数学复习解答题提优秘籍(新高考专用)
专题05圆锥曲线中的向量问题(典型题型归类训练)(解析版)_02高考数学_2025年新高考资料_二轮复习_解题思路训练2025年高考数学复习解答题提优秘籍(新高考专用)
专题05圆锥曲线中的向量问题(典型题型归类训练)(解析版)_02高考数学_2025年新高考资料_二轮复习_解题思路训练2025年高考数学复习解答题提优秘籍(新高考专用)
专题05圆锥曲线中的向量问题(典型题型归类训练)(解析版)_02高考数学_2025年新高考资料_二轮复习_解题思路训练2025年高考数学复习解答题提优秘籍(新高考专用)
专题05圆锥曲线中的向量问题(典型题型归类训练)(解析版)_02高考数学_2025年新高考资料_二轮复习_解题思路训练2025年高考数学复习解答题提优秘籍(新高考专用)
专题05圆锥曲线中的向量问题(典型题型归类训练)(解析版)_02高考数学_2025年新高考资料_二轮复习_解题思路训练2025年高考数学复习解答题提优秘籍(新高考专用)
专题05圆锥曲线中的向量问题(典型题型归类训练)(解析版)_02高考数学_2025年新高考资料_二轮复习_解题思路训练2025年高考数学复习解答题提优秘籍(新高考专用)
专题05圆锥曲线中的向量问题(典型题型归类训练)(解析版)_02高考数学_2025年新高考资料_二轮复习_解题思路训练2025年高考数学复习解答题提优秘籍(新高考专用)
专题05圆锥曲线中的向量问题(典型题型归类训练)(解析版)_02高考数学_2025年新高考资料_二轮复习_解题思路训练2025年高考数学复习解答题提优秘籍(新高考专用)
专题05圆锥曲线中的向量问题(典型题型归类训练)(解析版)_02高考数学_2025年新高考资料_二轮复习_解题思路训练2025年高考数学复习解答题提优秘籍(新高考专用)
专题05圆锥曲线中的向量问题(典型题型归类训练)(解析版)_02高考数学_2025年新高考资料_二轮复习_解题思路训练2025年高考数学复习解答题提优秘籍(新高考专用)
专题05圆锥曲线中的向量问题(典型题型归类训练)(解析版)_02高考数学_2025年新高考资料_二轮复习_解题思路训练2025年高考数学复习解答题提优秘籍(新高考专用)
专题05圆锥曲线中的向量问题(典型题型归类训练)(解析版)_02高考数学_2025年新高考资料_二轮复习_解题思路训练2025年高考数学复习解答题提优秘籍(新高考专用)
专题05圆锥曲线中的向量问题(典型题型归类训练)(解析版)_02高考数学_2025年新高考资料_二轮复习_解题思路训练2025年高考数学复习解答题提优秘籍(新高考专用)
专题05圆锥曲线中的向量问题(典型题型归类训练)(解析版)_02高考数学_2025年新高考资料_二轮复习_解题思路训练2025年高考数学复习解答题提优秘籍(新高考专用)
专题05圆锥曲线中的向量问题(典型题型归类训练)(解析版)_02高考数学_2025年新高考资料_二轮复习_解题思路训练2025年高考数学复习解答题提优秘籍(新高考专用)
专题05圆锥曲线中的向量问题(典型题型归类训练)(解析版)_02高考数学_2025年新高考资料_二轮复习_解题思路训练2025年高考数学复习解答题提优秘籍(新高考专用)
专题05圆锥曲线中的向量问题(典型题型归类训练)(解析版)_02高考数学_2025年新高考资料_二轮复习_解题思路训练2025年高考数学复习解答题提优秘籍(新高考专用)
专题05圆锥曲线中的向量问题(典型题型归类训练)(解析版)_02高考数学_2025年新高考资料_二轮复习_解题思路训练2025年高考数学复习解答题提优秘籍(新高考专用)
专题05圆锥曲线中的向量问题(典型题型归类训练)(解析版)_02高考数学_2025年新高考资料_二轮复习_解题思路训练2025年高考数学复习解答题提优秘籍(新高考专用)
专题05圆锥曲线中的向量问题(典型题型归类训练)(解析版)_02高考数学_2025年新高考资料_二轮复习_解题思路训练2025年高考数学复习解答题提优秘籍(新高考专用)
专题05圆锥曲线中的向量问题(典型题型归类训练)(解析版)_02高考数学_2025年新高考资料_二轮复习_解题思路训练2025年高考数学复习解答题提优秘籍(新高考专用)
专题05圆锥曲线中的向量问题(典型题型归类训练)(解析版)_02高考数学_2025年新高考资料_二轮复习_解题思路训练2025年高考数学复习解答题提优秘籍(新高考专用)

文档信息

文档格式
docx
文档大小
3.012 MB
文档页数
44 页
上传时间
2026-04-08 03:42:01

文档内容

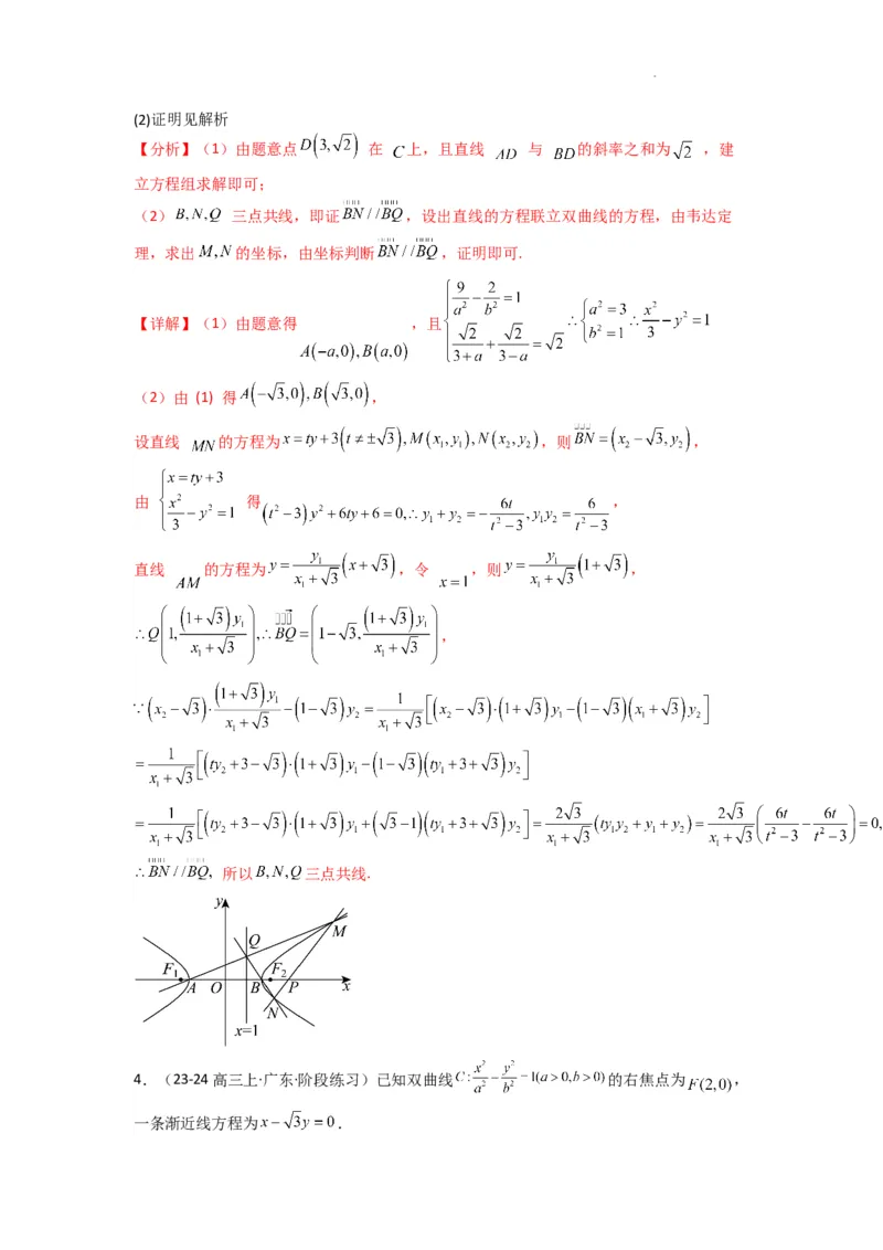
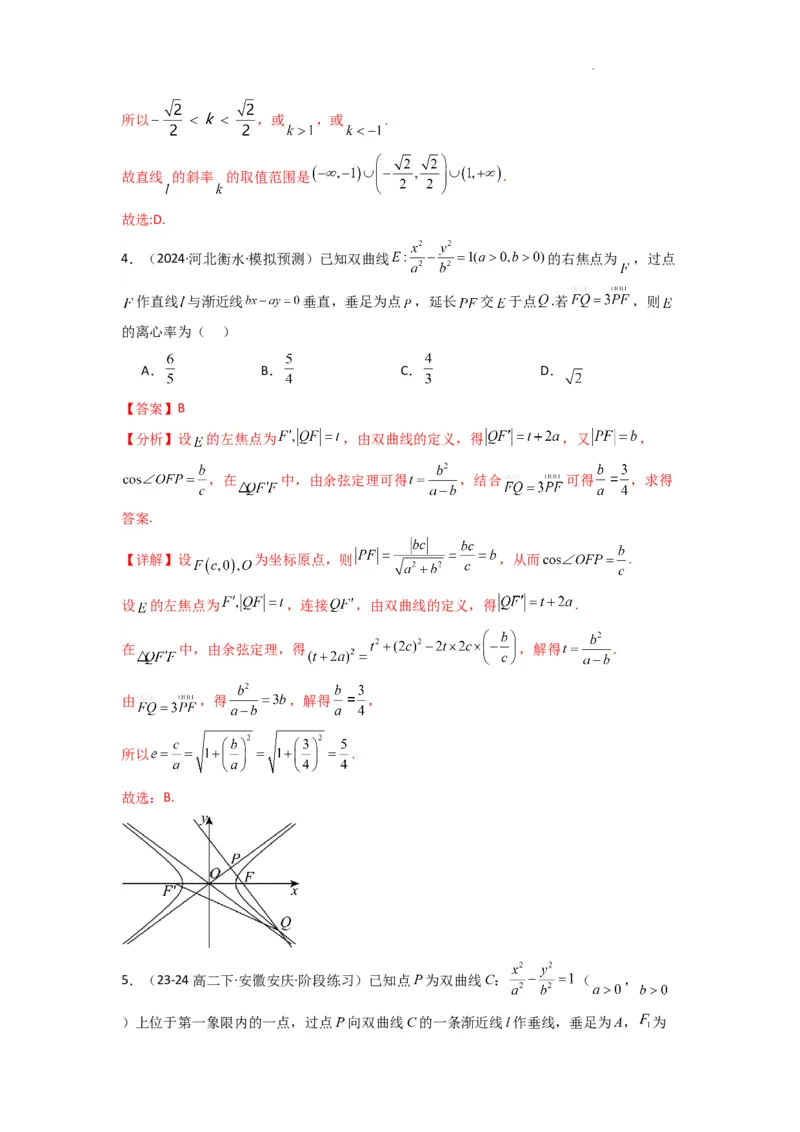
专题 05 圆锥曲线中的向量问题(典型题型归类训练) 目录 题型一:垂直关系向量化....................................................................1 题型二:向量坐标化............................................................................7 题型三:利用向量求角......................................................................16 题型四:利用向量证明三点共线问题...............................................23 专项训练.............................................................................................28 题型一:垂直关系向量化 1.(23-24高二上·重庆·期末)已知椭圆C: ( )的离心率为 , 焦距为 . (1)求椭圆C的方程; (2)若直线 与C交点P,Q两点,O为坐标原点,且 ,求实数k的值. 【答案】(1) (2) 【分析】(1)由焦距及离心率求出椭圆的方程; (2)联立直线和椭圆的方程,得 , ,由 得 ,求得k的 值. 【详解】(1)由题, ,所以 , , 椭圆的方程为 . 学科网(北京)股份有限公司(2) 设 , , 联立方程组 ,得 , 则 ,即 , , , 因为 ,所以 , 即 ,得 ,满足 ,合题意. 所以 . 2.(23-24高二上·云南大理·期中)已知椭圆 的短轴长为2,点 在 椭圆 上,与两焦点围成的三角形面积的最大值为 . (1)求椭圆 的标准方程; (2)当 为椭圆 的右顶点时,直线 与椭圆 相交于 两点(异于 点),且 . 试判断直线 是否过定点?如果过定点,求出该定点的坐标;如果不过定点,请说明理由. 【答案】(1) (2)过定点 【分析】(1)由已知可推得 ,即可得到椭圆标准方程; (2)设 ,与椭圆方程联立,利用韦达定理代入 求出 ,再根据直线 的方程可得答案. 【详解】(1)由已知得: ,解得 , 学科网(北京)股份有限公司故椭圆 的标准方程为 ; (2)由题意知,直线 的斜率不为0, 不妨设 , 由 消去 得 , 所以 ,即得 , , , , 又 , 所以 , 所以 , 解得 , 直线 的方程为 ,则直线 恒过点 . 【点睛】方法点睛:联立直线与圆锥曲线方程,根据韦达定理得到坐标的关系式,根据向 量数量积为0,代入相关点的坐标化简后即可得到结论. 3.(23-24高三上·山东临沂·期末)已知圆 : 的圆心为 ,圆 : 的圆心为 ,一动圆与圆 内切,与圆 外切,动圆的圆心 的轨迹为 曲线 . (1)求曲线 的方程: (2)已知点 ,直线 不过 点并与曲线 交于 两点,且 ,直线 是否过 定点?若过定点,求出定点坐标:若不过定点,请说明理由, 学科网(北京)股份有限公司【答案】(1) , ; (2)直线 恒过点 , ,理由见解答. 【分析】(1)由题意 , , , , ,结合双曲线的定 义求解即可得结论; (2)设直线 的方程为 ,联立直线和双曲线的方程消元后,应用韦达定理,结合 条件 ,可得 ,化简整理即可求解. 【详解】(1)如图,设圆 的圆心为 ,半径为 , 由题可得圆 半径为3,圆 半径为1,则 , , 所以 , 由双曲线定义可知, 的轨迹是以 , 为焦点、实轴长为4的双曲线的右支, 又 , , , , 所以动圆的圆心 的轨迹方程为 , , 即曲线 的方程为 , . (2)设直线 的方程为 , 联立 ,消去 得 , 由题意直线与曲线有两个交点,则 , 设 , , , ,其中 , , 由韦达定理得: , , 又点 ,所以 , , , , 因为 ,所以 , 则 学科网(北京)股份有限公司, 即 , 解得 舍去), 当 ,直线 的方程为 , , 故直线 恒过点 , . 【点睛】圆锥曲线中定点问题的两种解法 (1)引进参数法:先引进动点的坐标或动线中系数为参数表示变化量,再研究变化的量与 参数何时没有关系,找到定点. (2)特殊到一般法:先根据动点或动线的特殊情况探索出定点,再证明该定点与变量无 关. 技巧:若直线方程为 ,则直线过定点 ; 若直线方程为 ( 为定值),则直线过定点 4.(23-24高二下·上海黄浦·期中)如图:双曲线 的左、右焦点分别为 , ,过 作直线l交y轴于点Q. (1)当直线l平行于 的一条渐近线时,求点 到直线l的距离; (2)当直线l的斜率为1时,在 的右支上是否存在点P,满足 ?若存在,求出P 点的坐标;若不存在,说明理由. 【答案】(1)2 (2)不存在,理由见解析 【分析】(1)由点到直线的距离公式可直接求解; (2)先根据斜率求出直线l的方程,从而得点Q,再设出点 的坐标,根据 得 出点 的横、纵坐标之间的关系式,与双曲线联立消去 ,由韦达定理即可解答. 【详解】(1)双曲线 ,焦点在 轴上, , 学科网(北京)股份有限公司则双曲线左、右焦点分别为 , ,渐近线方程为 , 当直线 平行于 的一条渐近线时,不妨令 ,则直线 的方程为 ,即 , 则点 到直线 的距离为 . (2)不存在,理由如下: 当直线l的斜率为1时,直线方程为 ,因此 , 又 ,所以 , 设 的右支上的点 ,则 , 由 得 , 又 ,联立消去 得 , 由韦达定理知,此方程无正根, 因此,在 的右支上不存在点P,满足 . 【点睛】关键点睛:本题考查直线与双曲线的综合应用问题,解题关键是能够利用 来构造等量关系,结合韦达定理得到结论. 5.(23-24高二上·浙江·阶段练习)已知抛物线 , . (1)Q是抛物线上一个动点,求 的最小值; (2)过点A作直线与该抛物线交于M、N两点,求 的值. 【答案】(1) (2)0 【分析】(1)设 ,表达出 ,求出最小值; (2)设出直线 的方程,与抛物线方程联立,利用韦达定理即得. 【详解】(1)设 , , 当 ,即 时, 取得最小值,最小值为 ; (2)当直线 的斜率为0时,直线与抛物线只有1个交点,不合要求, 设直线 的方程是 ,与抛物线联立,消x得 , 学科网(北京)股份有限公司设 , , 则 , ,故 , 故 . 题型二:向量坐标化 1.(2024·安徽淮北·二模)如图,已知椭圆 的左右焦点为 , 短轴长为 为 上一点, 为 的重心. (1)求椭圆 的方程; (2)椭圆 上不同三点 ,满足 ,且 成等差数列,线段 中 垂线交 轴于 点,求点 纵坐标的取值范围; (3)直线 与 交于 点,交 轴于 点,若 ,求实数 的取值范 围. 【答案】(1) 学科网(北京)股份有限公司(2) (3) 【分析】(1)利用三角形重心坐标公式先求A坐标,再代入椭圆方程结合其性质计算即 可; (2)设B、D、E坐标,并根据焦半径公式得 ,由等差中项的性质得出 ,再根据点差法得出中垂线的斜率 ,表示 中垂线方程, 结合点在椭圆内计算范围即可; (3)设M、N坐标,联立椭圆方程结合韦达定理得出其横坐标关系,再根据平面向量的坐 标表示 ,利用函数的性质计算范围即可. 【详解】(1)不妨设 , 因 为 的重心,所以 , 所以 , 又短轴长为6,所以 ,代入解得 , 所以椭圆方程为: ; (2)由上可知 ,设 中点 , 则 , 又 ,消去 并整理得 , 同理 , 又 , 由题意得 , 即 , 学科网(北京)股份有限公司因B,D在 上,易得 ,化简得 , 所以线段 中垂线的斜率 , 线段 中垂线方程: , 令 得 , 又线段 中点在椭圆内所以 , 所以 ; (3)设 ,由 得 , 联立 消 整理得 , 得 , 所以 , 当 时, , 当 时, , 解不等式得 . 【点睛】思路点睛:根据焦半径公式及等差中项的性质可确定 中点横坐标,再由中垂 线方程得出E与 中点的关系结合点在椭圆内计算范围即可解决第二问;利用平面向量 共线的坐标表示结合韦达定理计算 横坐标关系,分类讨论斜率是否为零,再含参表 学科网(北京)股份有限公司示 结合函数的性质求范围解不等式即可. 2.(2024高三·全国·专题练习)设直线l: 与椭圆 相交于A、 B两个不同的点,与x轴相交于点F. (1)证明: ; (2)若F是椭圆的一个焦点,且 ,求椭圆的方程. 【答案】(1)证明见解析 (2) 【分析】(1)将直线和椭圆联立,得到判别式大于0,对不等式进行化简即可得到要证明 的结论; (2)可将条件转化为二次方程的问题,然后利用韦达定理对条件进行转化,即可求出椭圆 的方程. 【详解】(1)将直线 和椭圆 联立,得到 , 化简即为 ,即 ,即 . 因为直线与椭圆有两个交点,故该方程有两个不同的解,从而判别式 , 直接计算知: , 所以 ,故 ,从而 . (2) 由于直线 和 轴的交点为 ,故 ,半焦距 . 由于点 在直线 上,故可设 ,而 ,故 学科网(北京)股份有限公司,从而 . 将 和 的坐标代入椭圆方程,知: 故关于 的方程 有两个不同的解 , . 该方程可化为 ,即 , 即 ,即 . 显然 , 所以 , . 由于 ,故 ,从而 ,这意味着 ,故 . 而我们有 , 这就得到 ,所以 , 所以 . 而 ,故 ,所以 . 从而 ,故 . 于是 , . 所以椭圆的方程是 . 3.(2024·湖北襄阳·模拟预测)设双曲线 的左、右顶点分别为 学科网(北京)股份有限公司, ,左、右焦点分别为 , , ,且 的渐近线方程为 ,直线 交 双曲线 于 , 两点. (1)求双曲线 的方程; (2)当直线 过点 时,求 的取值范围. 【答案】(1) (2) 【分析】(1)由题意可得 ,解方程即可得出答案; (2)讨论直线 的斜率存不存在,存在时设直线 的方程为 , ,联立直线与双曲线的方程,将韦达定理代入 ,由反比例函数 的单调性即可得出答案. 【详解】(1)由题意可得: ,解得: , , . 双曲线的方程为: . (2)当直线 的斜率不存在时, , , 此时 , ,所以 , 当直线 的斜率存在时,设 , ,因为直线 过点 , 设直线 的方程为: , 联立 可得: , 当 时, , , , 学科网(北京)股份有限公司, 令 ,则 ,令 , 在 , 上单调递 减, 又 ,所以 , 所以 的取值范围为 . 【点睛】关键点点睛:本题第二问的关键是设直线 ,再将其联立双曲线方 程,得到韦达定理式,计算相关向量,代入韦达定理式再利用换元法求出函数值域即可. 4.(2024·全国·模拟预测)已知双曲线C的中心为坐标原点,对称轴为坐标轴,点 在C上,点P与C的上、下焦点连线所在直线的斜率之积为 . (1)求双曲线C的标准方程; (2)经过点 的直线 与双曲线C交于E,F两点(异于点P),过点F作平行于x轴的直 线 ,直线PE与 交于点D,且 求直线AB的斜率. 【答案】(1) (2) 【分析】(1)由题意知双曲线焦点在 轴上,设双曲线方程为 ,将 代入 双曲线方程,然后根据直线斜率公式即可得到关于 的两个方程,即可求解. (2)由题意设直线 方程为 , , ,与双曲线联立 学科网(北京)股份有限公司后根据根与系数关系可以表示出 与 ,分直线 的斜率是否存在两种情况进行讨 论,通过直线 的方程表示出点 的坐标,由已知条件可知点 为 中点,进而可将点 坐标及直线 斜率用 表示,通过之前求得的 与 即可进行求解. 【详解】(1)第一步:根据点P在双曲线上得a,b的关系式 由题意设双曲线C的方程为 ( ), 由点 在C上,得 .① 第二步:根据直线的斜率公式得a,b的关系式 设C的上、下焦点分别为 , ,则 ,解得 , 所以 .② 第三步:联立方程解得 , 的值 由①②得 , , 第四步:得双曲线C的标准方程 故双曲线C的标准方程为 . (2)第一步:设直线方程,联立方程得根与系数的关系由题意可知,直线EF的斜率不为 0,设直线EF的方程为 , , , 联立,得方程组 整理得 所以 , ,解得 , 所以 , , 则 . 第二步:用 , 表示点D的坐标 当直线PE的斜率不存在时,易得 , , , ,此时直 线AB的斜率为 .当直线PE的斜率存在时,直线PE的方程为 ,所 以点D的坐标为 , 学科网(北京)股份有限公司由 ,可得 , 第三步:用 , 表示点B的坐标 由 ,得点B为DF的中点,所以 , 则 , 第四步:根据斜率的计算公式求直线AB的斜率. 所以 . 故直线AB的斜率为 . 【点睛】解决直线与双曲线的综合问题时,要注意: (1)注意观察应用题设中的每一个条件,明确确定直线、双曲线的条件; (2)强化有关直线与双曲线联立得出一元二次方程后的运算能力,重视根与系数之间的关 系、弦长、斜率、三角形的面积等问题. 5.(23-24高二上·江苏常州·期末)如图,已知抛物线 的方程为 ,焦点为 ,过抛物线内一点 作抛物线准线的垂线,垂足为 ,与抛物线交于点 ,已知 , , . (1)求 的值; (2)斜率为 的直线过点 ,且与曲线 交于不同的两点 , ,若存在 ,使得 ,求实数 的取值范围. 学科网(北京)股份有限公司【答案】(1)2 (2) 【分析】(1)先得到 ,由抛物线定义得到方程,求出 ,设 ,则 ,作出辅助线,得到 ,从而得到方程,求出答案; (2)设出直线方程,联立抛物线,得到两根之和,两根之积,由 得 , 求出 ,转化为 对 有解,而 ,所以 ,求出解集,因为 ,所以 . 【详解】(1)因为 , ,则在 中, , 由抛物线的定义得, , 故 ,则 ,即 , 设 ,则 ,解得 , 过点 作 ⊥ 于点 , 因为 ,所以 , 因为 ,所以 , 故 , , 所以 ,解得 ; (2)由(1)可知抛物线方程为: ,设 , , 设 ,联立 ,整理得: , 因为 ,所以 , 学科网(北京)股份有限公司由韦达定理得 , , 因为 ,则 ,故 , 故 , 将 代入(*)式得 , 因为存在 ,使得 , 所以有 对 有解, 而 ,所以 , 解得 ,或 , 因为 ,所以 . 【点睛】方法点睛:圆锥曲线中最值或范围问题的常见解法: (1)几何法,若题目的条件和结论能明显体现几何特征和意义,则考虑利用几何法来解 决; (2)代数法,若题目的条件和结论能体现某种明确的函数关系,则可首先建立目标函数, 再求这个函数的最值或范围. 题型三:利用向量求角 1.(23-24高二上·贵州贵阳·阶段练习)已知椭圆 : 过点 , , 分别为椭圆的左、右焦点,且离心率 . (1)求椭圆 的方程; (2)过点 且斜率为 的直线 与椭圆 交于 , 两点,若 为钝角,求 的取值范 围. 【答案】(1) 学科网(北京)股份有限公司(2) 【分析】(1)根据离心率和过点 ,得到方程组,求出 , ,得到椭 圆方程; (2)设出直线 的方程为 ,联立椭圆方程,得到两根之和,两根之积,根据 为钝角得到 ,得到不等式,求出 ,舍去 ,得到答 案. 【详解】(1)由题意得 ,又 ,且 , 解得 , 故椭圆 的方程为 ; (2)由题意得 , , 直线 的方程为 ,联立 得, , 恒成立, 设 ,则 , , 因为 为钝角, 所以 , 即 ,即 , 解得 , 又 时, 三点共线,此时 不是钝角,舍去, 故 的取值范围是 . 学科网(北京)股份有限公司2.(2024·重庆·三模)已知椭圆 的上、下顶点分别为 ,左顶点 为 , 是面积为 的正三角形. (1)求椭圆 的方程; (2)过椭圆 外一点 的直线交椭圆 于 两点,已知点 与点 关于 轴对称, 点 与点 关于 轴对称,直线 与 交于点 ,若 是钝角,求 的取值范 围. 【答案】(1) (2) 【分析】(1)根据 的面积及其为正三角形的特征,可构造方程组求得 ,由此可 得椭圆方程; (2)假设直线 方程,利用对称性可知 在 轴上,由此可得 ;设 , 与椭圆方程联立可得韦达定理的结论,代入 中整理可得 ,根据 ,由 向量数量积的坐标运算可构造不等式求得结果. 【详解】(1) 是面积为 的正三角形, ,解得: , 椭圆 的方程为: . (2) 学科网(北京)股份有限公司设 ,则 , 直线 方程为: ,即 ; 由对称性可知:点 在 轴上,则令 ,解得: , 设直线 , 由 得: , , , , 又 , , , , 为钝角, ,解得: 或 , 即实数 的取值范围为 . 【点睛】关键点点睛:本题考查直线与椭圆综合应用中的向量数量积问题,解题关键是能 够利用韦达定理的结论化简 点坐标,结合 为钝角,将问题转化为向量数量积的求 解问题,从而构造不等式求得结果. 3.(23-24高二上·吉林·期末)已知抛物线 焦点为F,点 在抛物线 上, . (1)求抛物线方程; (2)过焦点F直线l与抛物线交于MN两点,若MN最小值为4,且 是钝角,求直线 斜率范围. 【答案】(1) 或 (2) 【分析】(1)根据题意列式求解 ,即可得结果; (2)设 ,与抛物线 联立,根据题意结合 弦长公式可求得 ,再结合数量积以及韦达定理运算求解,注意数量积的符号与向量夹 角之间的关系. 学科网(北京)股份有限公司【详解】(1)由题意可得: ,解得 或 , 故抛物线方程为 或 . (2)抛物线 的焦点 , 设 , 联立方程 ,消去x得 , 则 , 可得 ,解得 , 此时 ,则 , 若直线 过点 ,则 ,解得 , 若 是钝角,则 ,且 三点不共线, ∵ , 则 , 解得 或 , 注意到 ,故直线斜率范围为 . 【点睛】方法定睛:与圆锥曲线有关的取值范围问题的三种解法 (1)数形结合法:利用待求量的几何意义,确定出极端位置后数形结合求解. (2)构建不等式法:利用已知或隐含的不等关系,构建以待求量为元的不等式求解. (3)构建函数法:先引入变量构建以待求量为因变量的函数,再求其值域. 4.(2024·北京·三模)已知椭圆C: ( )过点 ,右焦点为 . (1)求椭圆C的方程; 学科网(北京)股份有限公司(2)过点F的直线l(不与x轴重合)交椭圆C于点M、N,点A是右顶点,直线MA、NA分 别与直线 交于点P、Q,求 的大小. 【答案】(1) (2) 【分析】(1)根据题意,列出关于 的方程,代入计算,即可求解; (2)当直线l的斜率不存在时,验证 ,即 .当直线l的斜率存在 时,设l: ,联立直线与椭圆方程,结合韦达定理代入计算,分别表示出 坐标,利用向量的数量积,转化求解即可. 【详解】(1)由题意可得, ,解得 , 所以椭圆的方程为 . (2) 当直线l的斜率不存在时, 有 , , , 则 , ,故 ,即 . 当直线l的斜率存在时,设l: ,其中 . 联立 ,得 , 由题意,知 恒成立, 设 ,则 , . 直线MA的方程为 , 学科网(北京)股份有限公司令 ,得 ,即 ,同理可得 . 所以 , . 因为 , 所以 . 综上所述, . 5.(23-24高二下·河北·开学考试)已知椭圆 : ( )的离心率为 ,左、右焦点分别为 , ,上、下顶点分别为 , ,且四边形 的面积为 4. (1)求椭圆 的方程. (2)平行于 轴的直线 与椭圆 的一个交点为 ,与以 为直径的圆的一个交点为 ,且 , 位于 轴两侧, , 分别是椭圆 的左、右顶点,直线 , 分别与 轴交 于点 , .证明: 为定值. 【答案】(1) (2)证明见解析 【分析】(1)根据椭圆离心率及四边形 的面积建立等式即可求解; (2)设 ,直线 的方程为 ( ),则 ,直线与曲线联 立方程求出 后,得直线 的方程,则 ,设 ,计算 的值后即可得证. 【详解】(1)由题意知 , , . 四边形 的面积为 , , , , 学科网(北京)股份有限公司椭圆 的方程为 . (2)如图,可得 ,设 ,则直线 的方程为 ( ), 令 ,得 , 由 得 , , , ,即 . 又 , , 直线 的方程为 ,令 ,得 . 设 ,则 , , , , 代入 ,化简得 ,即 , . 学科网(北京)股份有限公司题型四:利用向量证明三点共线问题 1.(2024上海崇明)已知椭圆Γ: ,点 分别是椭圆Γ与 轴的交点(点 在点 的上方),过点 且斜率为 的直线 交椭圆 于 两点. (1)若椭圆 焦点在 轴上,且其离心率是 ,求实数 的值; (2)若 ,求 的面积; (3)设直线 与直线 交于点 ,证明: 三点共线. 【答案】(1) (2) (3)证明见解析 【分析】(1)根据离心率的定义计算即可; (2)联立直线和椭圆方程,根据弦长公式算出 ,用点到直线的距离公式算出三角形的 高后即可; (3)联立直线和椭圆方程,先表示出 坐标,将共线问题转化成证明 ,结合韦 达定理进行化简计算. 【详解】(1)依题意, ,解得 (负数舍去). (2) 的直线经过 ,则直线方程为: ; ,则椭圆的方程为: . 设 联立直线和椭圆方程: ,消去 得到 , 解得 ,则 ,故 ,于是 . 依题意知, 为椭圆的下顶点,即 ,由点到直线的距离, 到 的 距离为: . 学科网(北京)股份有限公司故 (3)设 联立直线和椭圆方程: ,得到 ,由 ,得到直线 方程为: ,令 ,解得 ,即 ,又 , ,为说明 三点共线,只用证 ,即证: ,下 用作差法说明它们相等: ,而 , , ,于是上式变为: . 由韦达定理, ,于是 ,故 ,命题得证. 2.(2024·陕西榆林·模拟预测)已知椭圆 : 的左、右焦点分别为 , ,左、右顶点分别为 , , , . (1)求椭圆 的方程. (2)过 的直线与椭圆 交于 , 两点(均不与 , 重合),直线 与直线 交于 点,证明: , , 三点共线. 【答案】(1) ;(2)证明见解析. 学科网(北京)股份有限公司【分析】(1)由题设,可直接求出a、c,进而写出椭圆方程. (2)设 为 , , ,联立椭圆方程,应用韦达定理可得 , ,又 为 求G点坐标,根据向量共线的判定 , 即可证结论. 【详解】(1)由 ,即 ,又 ,即 . ∴ ,故椭圆 的方程为 . (2)证明:可设直线 的方程为 , , , 联立方程 ,得 且 , ∴ , ,而直线 的方程为 , ∴令 ,得 ,则有 , , 又∵ , ∴ ,而 , ∴ , , 三点共线. 【点睛】关键点点睛:第二问,设直线方程,联立椭圆方程应用韦达定理求 , ,结合向量共线的判定证明三点共线. 3.(2024·山西太原·三模)已知双曲线 的左、右顶点分别为 与 ,点 在 上,且直线 与 的斜率之和为 . (1)求双曲线 的方程; (2)过点 的直线与 交于 两点(均异于点 ),直线 与直线 交于点 ,求证: 三点共线. 【答案】(1) 学科网(北京)股份有限公司(2)证明见解析 【分析】(1)由题意点 在 上,且直线 与 的斜率之和为 ,建 立方程组求解即可; (2) 三点共线,即证 ,设出直线的方程联立双曲线的方程,由韦达定 理,求出 的坐标,由坐标判断 ,证明即可. 【详解】(1)由题意得 ,且 (2)由 (1) 得 , 设直线 的方程为 ,则 , 由 得 , 直线 的方程为 ,令 ,则 , , 所以 三点共线. 4.(23-24高三上·广东·阶段练习)已知双曲线 的右焦点为 , 一条渐近线方程为 . 学科网(北京)股份有限公司(1)求双曲线 的方程; (2)记 的左、右顶点分别为 ,过 的直线 交 的右支于 两点,连结 交直 线 于点 ,求证: 三点共线. 【答案】(1) ;(2)证明见解析. 【分析】(1)根据题意得 ,再根据 即可求得答案; (2)由题知 , ,直线 的斜率不为0,故设其方程为 , , ,进而结合直线 的方程得 ,再根据向量共线的 坐标表示判断 , 共线即可. 【详解】解:(1)依题意可得 , , 解得 , 故 的方程为 . (2)易得 , 显然,直线 的斜率不为0,设其方程为 , , 联立方程 ,消去 整理得 , 所以 , . 直线 ,令 得 ,故 , , ,(*) 又 学科网(北京)股份有限公司,即 的值为0. 所以 故A、Q、N三点共线.﹒ 专项训练 1.(2024·福建泉州·模拟预测)椭圆 的左、右焦点分别为 为 椭圆上第一象限内的一点,且 与 轴相交于点 ,离心率 ,若 ,则 ( ) A. B. C. D. 【答案】D 【分析】由离心率得 , ,由 得 在圆 上,解方 程组求得 点坐标,利用 的横坐标即可求得 . 【详解】 , ,则 ,所以 , , 椭圆方程化为 , ,因此 在圆 上, 由 ,解得 , 在第一象限,则 , ,则 , 故选:D. 2.(23-24高二上·北京·期中)已知椭圆 的上、下顶点为 ,过点 的直线 与椭圆 相交于两个不同的点 ( 在线段 之间),则 的取值范围 为( ) A. B. C. D. 学科网(北京)股份有限公司【答案】D 【分析】由题意画出图形,分直线的斜率不存在和存在两种情况求解,当直线斜率不存在 时,求得 ,当直线斜率存在时,设出直线方程,和椭圆方程联立,由判别式大 于0求得 的范围,再结合根与系数的关系写出数量积,由 得范围求得 的范围. 【详解】当直线斜率不存在时,直线方程为 , , , 此时 ; 当直线斜率存在时,设斜率为 ,设 , 则直线方程为 , 联立 ,得 , ,得 . , . . , , , 则 , 综上, 的取值范围是 . 故选:D. 3.(2024·河南·一模)已知过椭圆 的上焦点 且斜率为 的直线 交椭圆 于 两点, 为坐标原点,直线 分别与直线 相交于 两点.若 为锐 角,则直线 的斜率 的取值范围是( ) 学科网(北京)股份有限公司A. B. C. D. 【答案】D 【分析】根据椭圆的标准方程求出焦点坐标,利用直线的斜截式方程设出直线的方程,将 直线方程与椭圆方程联立,再利用韦达定理及两直线相交联立方程组求出交点坐标,结合 已知条件、点在直线上及向量的数量积的坐标运算即可求解. 【详解】由题意可知, 所以 所以椭圆 的上焦点为 , 设直线 的方程为 , 联立 消去 ,得 , 所以 . 由题设知, 所在的直线方程为 . 因为直线 与直线 相交于点 , 所以 ; 同理可得 . 所以 . 因为 为锐角, 所以 , 所以 , 即 ,解得: 或 , 学科网(北京)股份有限公司所以 ,或 ,或 . 故直线 的斜率 的取值范围是 . 故选:D. 4.(2024·河北衡水·模拟预测)已知双曲线 的右焦点为 ,过点 作直线 与渐近线 垂直,垂足为点 ,延长 交 于点 .若 ,则 的离心率为( ) A. B. C. D. 【答案】B 【分析】设 的左焦点为 ,由双曲线的定义,得 ,又 , ,在 中,由余弦定理可得 ,结合 可得 ,求得 答案. 【详解】设 为坐标原点,则 ,从而 . 设 的左焦点为 ,连接 ,由双曲线的定义,得 . 在 中,由余弦定理,得 ,解得 . 由 ,得 ,解得 , 所以 . 故选:B. 5.(23-24高二下·安徽安庆·阶段练习)已知点P为双曲线C: ( , )上位于第一象限内的一点,过点P向双曲线C的一条渐近线l作垂线,垂足为A, 为 学科网(北京)股份有限公司双曲线C的左焦点,若 ,则渐近线l的斜率为( ) A. B. C. D. 【答案】D 【分析】设渐近线l的方程,由两直线垂直的条件可得直线 的方程,联立两直线方程求 得A的坐标,再由向量共线的坐标表示可得P的坐标,代入双曲线的方程,化简整理可得 所求直线的斜率. 【详解】解:设 ,渐近线l的方程为 ,① 直线 的方程为 ,② 联立①②可得 , , 即有 , 由 ,可得 , , 解得 , ,即 , 由P在双曲线上,可得 , 化为 ,即 , 可得 , 所以直线l的斜率为 . 故选:D. 6.(23-24高二上·四川成都·期中)已知椭圆C: 的离心率为 ,斜 率为正的直线l与椭圆C交于A,B两点,与x轴、y轴分别交于P,Q两点,点的位置如 图所示,且 ,则直线l的斜率为 . 学科网(北京)股份有限公司【答案】 /0.75 【分析】 设 ,根据 ,得 , ,应用点差法求得 ,结合离心率即可求解. 【详解】设 ,因为直线 斜率为正,设为 ,所以可设点 在第一象限, , ,且A,B,P,Q四点共线, , , 又 , , , , 在椭圆上, , , 两式相减可得 , , , 又 , , ,即 , , ,又直线 斜率为正, . 故答案为: . 7.(2024·河北·三模)已知双曲线 的左、右焦点分别为 , ,过 的直线与 轴相交于点 ,与 在第一象限的交点为 ,若 , ,则 的离心率为 . 【答案】 / 【分析】设 ,利用双曲线定义、勾股定理得 ,再由 ,得 ,可得答案. 【详解】设 ,则 ,所以 , 因为 ,所以 , 学科网(北京)股份有限公司可得 ,即 ①, 因为 ,所以 , 所以 ,即 ②, 由①②可得 , 解得 ,或 (舍去). 故答案为: . 8.(2024高三·全国·专题练习)设双曲线C的左、右焦点分别为 , ,且焦距为 ,P是C上一点,满足 , ,则 的周长为 . 【答案】 / 【分析】由已知可得 .设 , ,在 中,根据余弦定理整理化简可得 ,求解即可得出 , ,进而可得出答 案. 【详解】 因为 ,所以 . 设 , , 因为 ,所以 . 学科网(北京)股份有限公司在 中,根据余弦定理有 , 所以 , 整理可得, ,解得 (负值舍去),所以 , 所以 , , 故周长为 . 故答案为: . 9.(23-24高二下·上海·阶段练习)设点 , 分别是椭圆 : 的左、右 焦点,且椭圆C上的点到点 的距离的最小值为 点M,N是椭圆C上位于x轴上 方的两点,且向量 与向量 平行. (1)求椭圆C的方程; (2)当 时,求点N的坐标; (3)当 时,求直线 的方程. 【答案】(1) (2) (3) 【分析】(1)根据椭圆的简单性质可得 ,解得即可; (2)可设 ,根据向量的数量积坐标运算即可求出点 的坐标; (3)向量 与向量 平行,不妨设 ,设 , ,根据坐标之 间的关系,求得 的坐标,再根据向量的模,即可求出 的值,根据斜率公式求出直线的 斜率,根据直线平行和点斜式即可求出直线方程. 【详解】(1)点 、 分别是椭圆 的左、右焦点, , , 椭圆 上的点到点 的距离的最小值为 , , 解得 , 椭圆的方程为 ; (2)由(1)可得 , , 由点 是椭圆 上位于 轴上方的点,可设 , , , , , ,即 , 学科网(北京)股份有限公司解得 , , ; (3) 向量 与向量 平行, ,由题意 , 又 , ,即 , 设 , , , , , , , , , , , , , , , 解得 ,或 (舍去), , , , , 直线 的方程为 , 即为 . 【点睛】关键点点睛:本题考查了椭圆的标准方程及其性质、向量的运算及斜率公式,解 题的关键是利用向量的共线的运算的坐标运算及模的坐标公式求解点N的坐标,简化了运 算过程,属于较难题. 10.(2024·安徽淮北·二模)如图,已知椭圆 的左右焦点为 ,短轴长为 为 上一点, 为 的重心. 学科网(北京)股份有限公司(1)求椭圆 的方程; (2)椭圆 上不同三点 ,满足 ,且 成等差数列,线段 中 垂线交 轴于 点,求点 纵坐标的取值范围; (3)直线 与 交于 点,交 轴于 点,若 ,求实数 的取值范 围. 【答案】(1) (2) (3) 【分析】(1)利用三角形重心坐标公式先求A坐标,再代入椭圆方程结合其性质计算即 可; (2)设B、D、E坐标,并根据焦半径公式得 ,由等差中项的性质得出 ,再根据点差法得出中垂线的斜率 ,表示 中垂线方程, 结合点在椭圆内计算范围即可; (3)设M、N坐标,联立椭圆方程结合韦达定理得出其横坐标关系,再根据平面向量的坐 标表示 ,利用函数的性质计算范围即可. 【详解】(1)不妨设 , 因 为 的重心,所以 , 所以 , 又短轴长为6,所以 ,代入解得 , 所以椭圆方程为: ; 学科网(北京)股份有限公司(2)由上可知 ,设 中点 , 则 , 又 ,消去 并整理得 , 同理 , 又 , 由题意得 , 即 , 因B,D在 上,易得 ,化简得 , 所以线段 中垂线的斜率 , 线段 中垂线方程: , 令 得 , 又线段 中点在椭圆内所以 , 所以 ; (3)设 ,由 得 , 联立 消 整理得 , 得 , 所以 , 当 时, , 当 时, , 学科网(北京)股份有限公司解不等式得 . 【点睛】思路点睛:根据焦半径公式及等差中项的性质可确定 中点横坐标,再由中垂 线方程得出E与 中点的关系结合点在椭圆内计算范围即可解决第二问;利用平面向量 共线的坐标表示结合韦达定理计算 横坐标关系,分类讨论斜率是否为零,再含参表 示 结合函数的性质求范围解不等式即可. 11.(2024·山西太原·三模)已知双曲线 的左、右顶点分别为 与 ,点 在 上,且直线 与 的斜率之和为 . (1)求双曲线 的方程; (2)过点 的直线与 交于 两点(均异于点 ),直线 与直线 交于点 ,求证: 三点共线. 【答案】(1) (2)证明见解析 【分析】(1)由题意点 在 上,且直线 与 的斜率之和为 ,建 立方程组求解即可; (2) 三点共线,即证 ,设出直线的方程联立双曲线的方程,由韦达定 理,求出 的坐标,由坐标判断 ,证明即可. 【详解】(1)由题意得 ,且 (2)由 (1) 得 , 设直线 的方程为 ,则 , 学科网(北京)股份有限公司由 得 , 直线 的方程为 ,令 ,则 , , 所以 三点共线. 12.(23-24高二上·黑龙江哈尔滨·期末)已知双曲线 ,抛物线 的焦点F是双曲线M的右顶点,且以F为圆心,以b为半径的圆与直线 相切. (1)求双曲线M的标准方程; (2)已知直线 与双曲线M交于A、B两点,且双曲线M是否存在上存在点P满足 ,若存在,求出m的值,若不存在请说明理由. 【答案】(1) (2)不存在,理由见解析 【分析】(1)由题意得 ,由此可得 ,而 为抛物线焦点 到直线 的距离,由点到直线的距离公式即可得解. (2)将直线与双曲线方程联立,由 ,解得 或 ,结合韦达 定理以及 ,求得参数 ,并注意检验,由此即可得解. 学科网(北京)股份有限公司【详解】(1)因为抛物线 的焦点 是双曲线M的一个顶点,即 , , 所以双曲线M的方程是 . (2)设 , 联立方程得 消去y得 , ∵ ,解得 或 (*), 由韦达定理 , ∵ ,∴ 即 , 所以 ,解得 , 不满足(*)式,所以不存在m符合题意. 13.(23-24高三上·福建福州·期中)已知直线 与抛物线 交于 A,B两点,M为线段AB的中点,点N在抛物线C上,直线MN与y轴平行. (1)证明:抛物线在点N处的切线与直线l平行; (2)若 ,求抛物线C的方程. 【答案】(1)见解析 (2) 【分析】(1)联立直线与抛物线的方程,利用韦达定理求出N点坐标,进而设出切线方 程与抛物线方程联立,利用 求出切线斜率即可证明; (2)设 ,由 及韦达定理即可求解. 【详解】(1)证明:由题意, 联立直线 与抛物线 的方程得 , 即 , 所以 , 设 ,则 , 由题意,抛物线在点 处的切线斜率存在且不为0,设切线方程为 , 学科网(北京)股份有限公司由 ,可得 , 因为 ,解得 , 所以抛物线在点 处的切线为 , 所以切线与直线 平行; (2)解:设 , 由题意有 ,即 , 所以 , 又 , 将 式代入上式,可得 ,解得 或 (舍去), 所以抛物线 的方程为 . 学科网(北京)股份有限公司