当前位置:首页>文档>专题8.6向量法求空间角(解析版)_02高考数学_新高考复习资料_2024年新高考资料_一轮复习资料_2024年高考数学一轮复习《考点•题型•技巧》精讲与精练高分突破系列(新高考专用)

专题8.6向量法求空间角(解析版)_02高考数学_新高考复习资料_2024年新高考资料_一轮复习资料_2024年高考数学一轮复习《考点•题型•技巧》精讲与精练高分突破系列(新高考专用)

  • 2026-04-14 06:04:55 2026-04-14 06:01:09

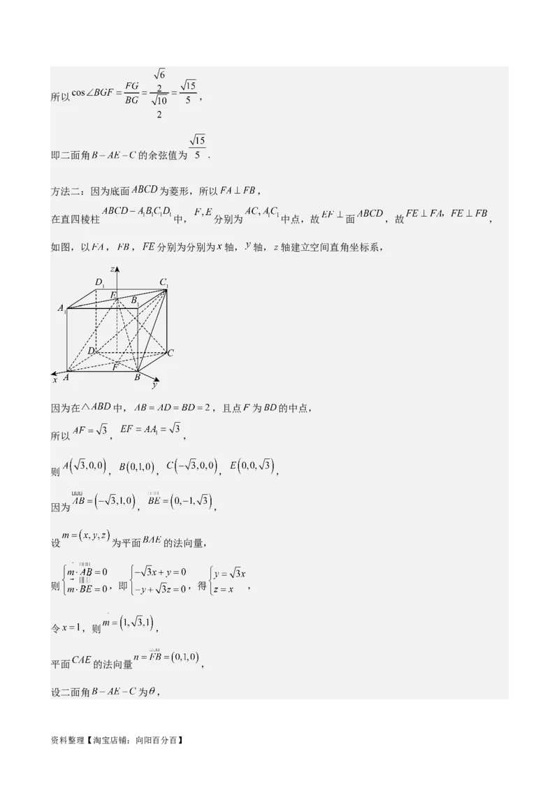
文档预览

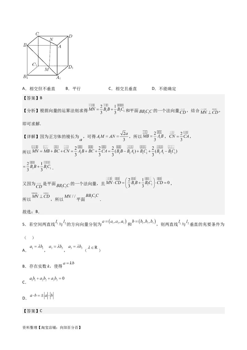
专题8.6向量法求空间角(解析版)_02高考数学_新高考复习资料_2024年新高考资料_一轮复习资料_2024年高考数学一轮复习《考点•题型•技巧》精讲与精练高分突破系列(新高考专用)
专题8.6向量法求空间角(解析版)_02高考数学_新高考复习资料_2024年新高考资料_一轮复习资料_2024年高考数学一轮复习《考点•题型•技巧》精讲与精练高分突破系列(新高考专用)
专题8.6向量法求空间角(解析版)_02高考数学_新高考复习资料_2024年新高考资料_一轮复习资料_2024年高考数学一轮复习《考点•题型•技巧》精讲与精练高分突破系列(新高考专用)
专题8.6向量法求空间角(解析版)_02高考数学_新高考复习资料_2024年新高考资料_一轮复习资料_2024年高考数学一轮复习《考点•题型•技巧》精讲与精练高分突破系列(新高考专用)
专题8.6向量法求空间角(解析版)_02高考数学_新高考复习资料_2024年新高考资料_一轮复习资料_2024年高考数学一轮复习《考点•题型•技巧》精讲与精练高分突破系列(新高考专用)
专题8.6向量法求空间角(解析版)_02高考数学_新高考复习资料_2024年新高考资料_一轮复习资料_2024年高考数学一轮复习《考点•题型•技巧》精讲与精练高分突破系列(新高考专用)
专题8.6向量法求空间角(解析版)_02高考数学_新高考复习资料_2024年新高考资料_一轮复习资料_2024年高考数学一轮复习《考点•题型•技巧》精讲与精练高分突破系列(新高考专用)
专题8.6向量法求空间角(解析版)_02高考数学_新高考复习资料_2024年新高考资料_一轮复习资料_2024年高考数学一轮复习《考点•题型•技巧》精讲与精练高分突破系列(新高考专用)
专题8.6向量法求空间角(解析版)_02高考数学_新高考复习资料_2024年新高考资料_一轮复习资料_2024年高考数学一轮复习《考点•题型•技巧》精讲与精练高分突破系列(新高考专用)
专题8.6向量法求空间角(解析版)_02高考数学_新高考复习资料_2024年新高考资料_一轮复习资料_2024年高考数学一轮复习《考点•题型•技巧》精讲与精练高分突破系列(新高考专用)
专题8.6向量法求空间角(解析版)_02高考数学_新高考复习资料_2024年新高考资料_一轮复习资料_2024年高考数学一轮复习《考点•题型•技巧》精讲与精练高分突破系列(新高考专用)
专题8.6向量法求空间角(解析版)_02高考数学_新高考复习资料_2024年新高考资料_一轮复习资料_2024年高考数学一轮复习《考点•题型•技巧》精讲与精练高分突破系列(新高考专用)
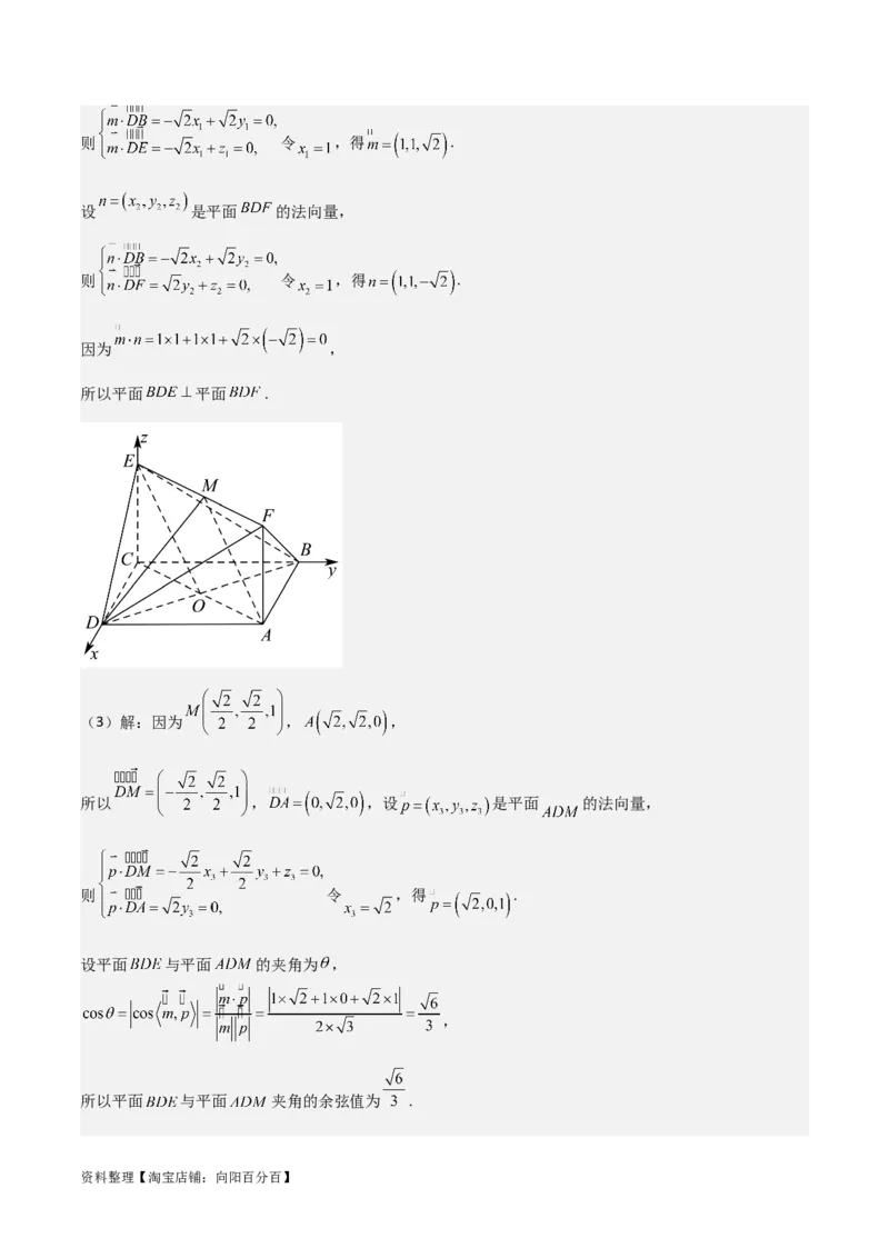
专题8.6向量法求空间角(解析版)_02高考数学_新高考复习资料_2024年新高考资料_一轮复习资料_2024年高考数学一轮复习《考点•题型•技巧》精讲与精练高分突破系列(新高考专用)
专题8.6向量法求空间角(解析版)_02高考数学_新高考复习资料_2024年新高考资料_一轮复习资料_2024年高考数学一轮复习《考点•题型•技巧》精讲与精练高分突破系列(新高考专用)
专题8.6向量法求空间角(解析版)_02高考数学_新高考复习资料_2024年新高考资料_一轮复习资料_2024年高考数学一轮复习《考点•题型•技巧》精讲与精练高分突破系列(新高考专用)
专题8.6向量法求空间角(解析版)_02高考数学_新高考复习资料_2024年新高考资料_一轮复习资料_2024年高考数学一轮复习《考点•题型•技巧》精讲与精练高分突破系列(新高考专用)
专题8.6向量法求空间角(解析版)_02高考数学_新高考复习资料_2024年新高考资料_一轮复习资料_2024年高考数学一轮复习《考点•题型•技巧》精讲与精练高分突破系列(新高考专用)
专题8.6向量法求空间角(解析版)_02高考数学_新高考复习资料_2024年新高考资料_一轮复习资料_2024年高考数学一轮复习《考点•题型•技巧》精讲与精练高分突破系列(新高考专用)
专题8.6向量法求空间角(解析版)_02高考数学_新高考复习资料_2024年新高考资料_一轮复习资料_2024年高考数学一轮复习《考点•题型•技巧》精讲与精练高分突破系列(新高考专用)
专题8.6向量法求空间角(解析版)_02高考数学_新高考复习资料_2024年新高考资料_一轮复习资料_2024年高考数学一轮复习《考点•题型•技巧》精讲与精练高分突破系列(新高考专用)
专题8.6向量法求空间角(解析版)_02高考数学_新高考复习资料_2024年新高考资料_一轮复习资料_2024年高考数学一轮复习《考点•题型•技巧》精讲与精练高分突破系列(新高考专用)
专题8.6向量法求空间角(解析版)_02高考数学_新高考复习资料_2024年新高考资料_一轮复习资料_2024年高考数学一轮复习《考点•题型•技巧》精讲与精练高分突破系列(新高考专用)
专题8.6向量法求空间角(解析版)_02高考数学_新高考复习资料_2024年新高考资料_一轮复习资料_2024年高考数学一轮复习《考点•题型•技巧》精讲与精练高分突破系列(新高考专用)
专题8.6向量法求空间角(解析版)_02高考数学_新高考复习资料_2024年新高考资料_一轮复习资料_2024年高考数学一轮复习《考点•题型•技巧》精讲与精练高分突破系列(新高考专用)
专题8.6向量法求空间角(解析版)_02高考数学_新高考复习资料_2024年新高考资料_一轮复习资料_2024年高考数学一轮复习《考点•题型•技巧》精讲与精练高分突破系列(新高考专用)
专题8.6向量法求空间角(解析版)_02高考数学_新高考复习资料_2024年新高考资料_一轮复习资料_2024年高考数学一轮复习《考点•题型•技巧》精讲与精练高分突破系列(新高考专用)
专题8.6向量法求空间角(解析版)_02高考数学_新高考复习资料_2024年新高考资料_一轮复习资料_2024年高考数学一轮复习《考点•题型•技巧》精讲与精练高分突破系列(新高考专用)
专题8.6向量法求空间角(解析版)_02高考数学_新高考复习资料_2024年新高考资料_一轮复习资料_2024年高考数学一轮复习《考点•题型•技巧》精讲与精练高分突破系列(新高考专用)
专题8.6向量法求空间角(解析版)_02高考数学_新高考复习资料_2024年新高考资料_一轮复习资料_2024年高考数学一轮复习《考点•题型•技巧》精讲与精练高分突破系列(新高考专用)
专题8.6向量法求空间角(解析版)_02高考数学_新高考复习资料_2024年新高考资料_一轮复习资料_2024年高考数学一轮复习《考点•题型•技巧》精讲与精练高分突破系列(新高考专用)
专题8.6向量法求空间角(解析版)_02高考数学_新高考复习资料_2024年新高考资料_一轮复习资料_2024年高考数学一轮复习《考点•题型•技巧》精讲与精练高分突破系列(新高考专用)
专题8.6向量法求空间角(解析版)_02高考数学_新高考复习资料_2024年新高考资料_一轮复习资料_2024年高考数学一轮复习《考点•题型•技巧》精讲与精练高分突破系列(新高考专用)
专题8.6向量法求空间角(解析版)_02高考数学_新高考复习资料_2024年新高考资料_一轮复习资料_2024年高考数学一轮复习《考点•题型•技巧》精讲与精练高分突破系列(新高考专用)
专题8.6向量法求空间角(解析版)_02高考数学_新高考复习资料_2024年新高考资料_一轮复习资料_2024年高考数学一轮复习《考点•题型•技巧》精讲与精练高分突破系列(新高考专用)
专题8.6向量法求空间角(解析版)_02高考数学_新高考复习资料_2024年新高考资料_一轮复习资料_2024年高考数学一轮复习《考点•题型•技巧》精讲与精练高分突破系列(新高考专用)
专题8.6向量法求空间角(解析版)_02高考数学_新高考复习资料_2024年新高考资料_一轮复习资料_2024年高考数学一轮复习《考点•题型•技巧》精讲与精练高分突破系列(新高考专用)
专题8.6向量法求空间角(解析版)_02高考数学_新高考复习资料_2024年新高考资料_一轮复习资料_2024年高考数学一轮复习《考点•题型•技巧》精讲与精练高分突破系列(新高考专用)
专题8.6向量法求空间角(解析版)_02高考数学_新高考复习资料_2024年新高考资料_一轮复习资料_2024年高考数学一轮复习《考点•题型•技巧》精讲与精练高分突破系列(新高考专用)
专题8.6向量法求空间角(解析版)_02高考数学_新高考复习资料_2024年新高考资料_一轮复习资料_2024年高考数学一轮复习《考点•题型•技巧》精讲与精练高分突破系列(新高考专用)
专题8.6向量法求空间角(解析版)_02高考数学_新高考复习资料_2024年新高考资料_一轮复习资料_2024年高考数学一轮复习《考点•题型•技巧》精讲与精练高分突破系列(新高考专用)
专题8.6向量法求空间角(解析版)_02高考数学_新高考复习资料_2024年新高考资料_一轮复习资料_2024年高考数学一轮复习《考点•题型•技巧》精讲与精练高分突破系列(新高考专用)
专题8.6向量法求空间角(解析版)_02高考数学_新高考复习资料_2024年新高考资料_一轮复习资料_2024年高考数学一轮复习《考点•题型•技巧》精讲与精练高分突破系列(新高考专用)
专题8.6向量法求空间角(解析版)_02高考数学_新高考复习资料_2024年新高考资料_一轮复习资料_2024年高考数学一轮复习《考点•题型•技巧》精讲与精练高分突破系列(新高考专用)
专题8.6向量法求空间角(解析版)_02高考数学_新高考复习资料_2024年新高考资料_一轮复习资料_2024年高考数学一轮复习《考点•题型•技巧》精讲与精练高分突破系列(新高考专用)
专题8.6向量法求空间角(解析版)_02高考数学_新高考复习资料_2024年新高考资料_一轮复习资料_2024年高考数学一轮复习《考点•题型•技巧》精讲与精练高分突破系列(新高考专用)
专题8.6向量法求空间角(解析版)_02高考数学_新高考复习资料_2024年新高考资料_一轮复习资料_2024年高考数学一轮复习《考点•题型•技巧》精讲与精练高分突破系列(新高考专用)
专题8.6向量法求空间角(解析版)_02高考数学_新高考复习资料_2024年新高考资料_一轮复习资料_2024年高考数学一轮复习《考点•题型•技巧》精讲与精练高分突破系列(新高考专用)
专题8.6向量法求空间角(解析版)_02高考数学_新高考复习资料_2024年新高考资料_一轮复习资料_2024年高考数学一轮复习《考点•题型•技巧》精讲与精练高分突破系列(新高考专用)
专题8.6向量法求空间角(解析版)_02高考数学_新高考复习资料_2024年新高考资料_一轮复习资料_2024年高考数学一轮复习《考点•题型•技巧》精讲与精练高分突破系列(新高考专用)
专题8.6向量法求空间角(解析版)_02高考数学_新高考复习资料_2024年新高考资料_一轮复习资料_2024年高考数学一轮复习《考点•题型•技巧》精讲与精练高分突破系列(新高考专用)
专题8.6向量法求空间角(解析版)_02高考数学_新高考复习资料_2024年新高考资料_一轮复习资料_2024年高考数学一轮复习《考点•题型•技巧》精讲与精练高分突破系列(新高考专用)
专题8.6向量法求空间角(解析版)_02高考数学_新高考复习资料_2024年新高考资料_一轮复习资料_2024年高考数学一轮复习《考点•题型•技巧》精讲与精练高分突破系列(新高考专用)
专题8.6向量法求空间角(解析版)_02高考数学_新高考复习资料_2024年新高考资料_一轮复习资料_2024年高考数学一轮复习《考点•题型•技巧》精讲与精练高分突破系列(新高考专用)
专题8.6向量法求空间角(解析版)_02高考数学_新高考复习资料_2024年新高考资料_一轮复习资料_2024年高考数学一轮复习《考点•题型•技巧》精讲与精练高分突破系列(新高考专用)
专题8.6向量法求空间角(解析版)_02高考数学_新高考复习资料_2024年新高考资料_一轮复习资料_2024年高考数学一轮复习《考点•题型•技巧》精讲与精练高分突破系列(新高考专用)

文档信息

文档格式
docx
文档大小
5.122 MB
文档页数
51 页
上传时间
2026-04-14 06:01:09

文档内容

8.6 向量法求空间角 思维导图 知识点总结 1.异面直线所成的角 若异面直线l ,l 所成的角为θ,其方向向量分别为e ,e ,则cos θ=|cos〈e ,e 〉|=. 1 2 1 2 1 2 2.直线与平面所成的角 如图,直线AB与平面α相交于点B,设直线AB与平面α所成的角为θ,直线AB的方向向量 为e,平面α的法向量为n,则 sin θ=|cos〈e,n〉|==. 资料整理【淘宝店铺:向阳百分百】3.二面角 (1)如图①,AB,CD分别是二面角α-l-β的两个面内与棱l垂直的直线,则二面角的大小 θ =〈AB,CD〉. 如图②③,n ,n 分别是二面角α-l-β的两个半平面α,β的法向量,则二面角的大小 θ满 1 2 足|cos θ|= |cos 〈 n , n 〉 |,二面角的平面角大小是向量n 与n 的夹角(或其补角). 1 2 1 2 [常用结论] 1.线面角θ的正弦值等于直线的方向向量 u与平面的法向量n所成角的余弦值的绝对值,即 sin θ=|cos〈u,n〉|,不要误记为cos θ=|cos〈u,n〉|. 2.二面角的范围是[0,π],两个平面夹角的范围是. 典型例题分析 考向一 异面直线所成的角 例1 (1)如图,在正方体ABCD-A B C D 中,E,F分别为棱AA ,A D 的中点,则直线BE 1 1 1 1 1 1 1 与DF所成角的余弦值为( ) A. B. C. D. 答案 A 解析 以D为原点,以DA,DC,DD1的方向分别为x,y,z轴的正方向,建立空间直角坐标 系D-xyz(图略),则D(0,0,0). 资料整理【淘宝店铺:向阳百分百】设正方体的棱长为2,则F(1,0,2),B(2,2,0),E(2,0,1), 所以DF=(1,0,2),BE=(0,-2,1), 所以所求的余弦值为 ==.故选A. (2)如图所示,在棱长为2的正方体ABCD-A B C D 中,E是棱CC 的中点,AF=λAD,若异 1 1 1 1 1 面直线D E和A F所成角的余弦值为,则λ的值为________. 1 1 答案 解析 以D为原点,以DA,DC,DD 所在直线分别为x,y,z轴,建立空间直角坐标系(图 1 略). 正方体的棱长为2,则A (2,0,2),D (0,0,2),E(0,2,1),A(2,0,0). 1 1 所以D1E=(0,2,-1),A1F=A1A+AF=A1A+λAD=(0,0,-2)+λ(-2,0,0)=(-2λ, 0,-2). 则cos〈A1F,D1E〉==, 所以=, 解得λ=(舍去-). 感悟提升 用向量法求异面直线所成的角的一般步骤 (1)建立空间直角坐标系; (2)用坐标表示两异面直线的方向向量; (3)利用向量的夹角公式求出向量夹角的余弦值; (4)注意两异面直线所成角的范围是,即两异面直线所成角的余弦值等于两向量夹角的余弦值 的绝对值. 资料整理【淘宝店铺:向阳百分百】考向二 直线与平面所成的角 例2(1) (2022·全国甲卷)在四棱锥P-ABCD中,PD⊥底面ABCD,CD∥AB,AD=DC=CB =1,AB=2,DP=. (1)证明:BD⊥PA; (2)求PD与平面PAB所成的角的正弦值. (1)证明 在四边形ABCD中,作DE⊥AB于点E,CF⊥AB于点F,如图. 因为CD∥AB,AD=CD=CB=1,AB=2, 所以四边形ABCD为等腰梯形, 所以AE=BF=, 故DE=,BD==, 所以AD2+BD2=AB2, 所以AD⊥BD. 因为PD⊥平面ABCD,BD 平面ABCD, 所以PD⊥BD, ⊂ 又PD∩AD=D,PD,AD 平面PAD, 所以BD⊥平面PAD. ⊂ 又因为PA 平面PAD, 所以BD⊥ ⊂ PA. (2)解 由(1)知,DA,DB,DP两两垂直, 如图,以点D为原点建立空间直角坐标系, 资料整理【淘宝店铺:向阳百分百】则D(0,0,0),A(1,0,0),B(0,,0),P(0,0,), 则AP=(-1,0,),BP=(0,-,),DP=(0,0,). 设平面PAB的一个法向量为n=(x,y,z), 则有即 可取n=(,1,1), 则cos〈n,DP〉==, 所以PD与平面PAB所成角的正弦值为. 感悟提升 向量法求直线与平面所成角的主要方法是: (1)分别求出斜线和它在平面内的射影直线的方向向量,将题目转化为求两个方向向量的夹角 (或其补角); (2)通过平面的法向量来求,即求出斜线的方向向量与平面的法向量所夹的锐角或钝角的补角, 取其余角就是斜线和平面所成的角. (2) (2022·北京卷)如图,在三棱柱ABC-A B C 中,侧面BCC B 为正方形,平面BCC B ⊥ 1 1 1 1 1 1 1 平面ABB A ,AB=BC=2,M,N分别为A B ,AC的中点. 1 1 1 1 (1)求证:MN∥平面BCC B ; 1 1 (2)再从条件①、条件②这两个条件中选择一个作为已知,求直线AB与平面BMN所成角的正 弦值. 条件①:AB⊥MN; 条件②:BM=MN. 注:如果选择条件①和条件②分别解答,按第一个解答计分. 资料整理【淘宝店铺:向阳百分百】(1)证明 取AB的中点为K,连接MK,NK. 由三棱柱ABC-A B C 可得四边形ABB A 为平行四边形, 1 1 1 1 1 又B M=MA ,BK=KA,则MK∥BB . 1 1 1 又MK⊄平面CBB C ,BB 平面CBB C , 1 1 1 1 1 故MK∥平面CBB 1 C 1 . ⊂ 由CN=NA,BK=KA,可得NK∥BC, 同理可得NK∥平面CBB C . 1 1 因为NK∩MK=K,NK,MK 平面MKN, 故平面MKN∥平面CBB 1 C 1 ,⊂ 又MN 平面MKN, 故MN ⊂ ∥平面CBB 1 C 1 . (2)解 因为侧面CBB C 为正方形,故CB⊥BB . 1 1 1 因为CB 平面CBB C ,平面CBB C ⊥平面ABB A ,平面CBB C ∩平面ABB A =BB , 1 1 1 1 1 1 1 1 1 1 1 故CB⊥ ⊂平面ABB 1 A 1 . 因为NK∥BC, 故NK⊥平面ABB A . 1 1 因为AB 平面ABB A , 1 1 故NK⊥ ⊂ AB. 若选①,则AB⊥MN, 又NK⊥AB,NK∩MN=N, 故AB⊥平面MNK. 又MK 平面MNK, 故AB⊥ ⊂ MK, 所以AB⊥BB ,又CB⊥BB ,CB∩AB=B, 1 1 故BB ⊥平面ABC, 1 故可建立如图所示的空间直角坐标系, 资料整理【淘宝店铺:向阳百分百】则B(0,0,0),A(0,2,0),N(1,1,0),M(0,1,2), 故BA=(0,2,0),BN=(1,1,0),BM=(0,1,2). 设平面BNM的一个法向量为n=(x,y,z), 则从而取z=-1, 则n=(-2,2,-1). 设直线AB与平面BNM所成的角为θ, 则sin θ=|cos〈n,AB〉|===. 若选②,因为NK∥BC, 故NK⊥平面ABB A . 1 1 又KM 平面MKN, 故NK⊥ ⊂ KM.又B 1 M=BK=1,NK=1, 故B M=NK. 1 又B B=MK=2,MB=MN, 1 故△BB M≌△MKN, 1 所以∠BB M=∠MKN=90°, 1 故A B ⊥BB . 1 1 1 又CB⊥BB ,CB∩AB=B, 1 故BB ⊥平面ABC, 1 故可建立如图所示的空间直角坐标系, 则B(0,0,0),A(0,2,0),N(1,1,0),M(0,1,2), 故BA=(0,2,0),BN=(1,1,0),BM=(0,1,2). 设平面BNM的一个法向量为n=(x,y,z), 则从而 取z=-1,则n=(-2,2,-1), 设直线AB与平面BNM所成的角为θ, 则sin θ=|cos〈n,AB〉|===. 资料整理【淘宝店铺:向阳百分百】考向三 二面角 3 (2022·新高考Ⅱ卷改编)如图,PO是三棱锥P-ABC的高,PA=PB,AB⊥AC,E为PB的 中点. (1)证明:OE∥平面PAC; (2)若∠ABO=∠CBO=30°,PO=3,PA=5,求二面角C-AE-B的正弦值. [思路分析] (1)作出过直线OE的一个平面,证明这个平面与平面PAC平行,从而证明OE∥ 平面PAC. (2)建系→设点写坐标→求平面的法向量→利用公式求二面角的正弦值. [规范解答] (1)证明 如图,取AB的中点D,连接DP,DO,DE. 因为AP=PB,所以PD⊥AB. 因为PO为三棱锥P-ABC的高, 所以PO⊥平面ABC. 因为AB 平面ABC,所以PO⊥AB. 又PO,⊂ PD 平面POD,且PO∩PD=P, 所以AB⊥平⊂面POD.(1分) 因为OD 平面POD,所以AB⊥OD, 又AB⊥A ⊂ C,AB,OD,AC 平面ABC, 所以OD∥AC. ⊂ 因为OD⊄平面PAC,AC 平面PAC, (2分) ⊂ → 因为D,E分别为BA,BP的中点, 所以DE∥PA. 资料整理【淘宝店铺:向阳百分百】因为DE⊄平面PAC,PA 平面PAC, (3分) ⊂ → 又OD,DE 平面ODE,OD∩DE=D, ⊂ → 又OE 平面ODE,(4分) → ⊂ (2)解 连接OA,因为PO⊥平面ABC,OA,OB 平面ABC, 所以PO⊥OA,PO⊥OB, ⊂ 所以OA=OB===4.② 易得在△AOB中,∠OAB=∠ABO=30°, 所以OD=OAsin 30°=4×=2,② AB=2AD=2OAcos 30°=2×4×=4.② 又∠ABC=∠ABO+∠CBO=60°, 所以在Rt△ABC中,AC=ABtan 60°=4×=12.②(6分) 以A为坐标原点,AB,AC所在直线分别为x,y轴,以过A且垂直于平面ABC的直线为z轴 如图所示, → 则A(0,0,0),B(4,0,0),C(0,12,0),P(2,2,3),E, 所以AE=,AB=(4,0,0),AC=(0,12,0). → 设平面AEC的一个法向量为n=(x,y,z), 则即 令z=2,则n=(-1,0,2).③(8分) → 资料整理【淘宝店铺:向阳百分百】设平面AEB的一个法向量为m=(x ,y ,z ), 1 1 1 则即 令z =2,(10分) 1 → 所以|cos〈n,m〉|==. → 设二面角C-AE-B的大小为θ, 则sin θ==.(12分) → [满分规则] ❶得步骤分: ①处通过证明线∥线⇒线∥面⇒面∥面⇒线∥面,注意应用相关定理的条件应完整,否则易失 步骤分. ❷得关键分: ③处求出两个平面的法向量是解题的关键,此处运算错误会导致第(2)小题得零分. ❸得计算分: ②处为根据题目条件计算几何体的棱长,以便写出各顶点的坐标. 4. (2022·新高考Ⅰ卷改编)如图,直三棱柱ABC-A B C 的体积为4,△A BC的面积为2. 1 1 1 1 (1)求A到平面A BC的距离; 1 (2)设D为A C的中点,AA =AB,平面A BC⊥平面ABB A ,求二面角A-BD-C的正弦值. 1 1 1 1 1 解 (1)设点A到平面A BC的距离为h, 1 因为直三棱柱ABC-A B C 的体积为4, 1 1 1 所以V A-A1BC =S △ABC ·AA 1 =V ABC-A1B1C1=, 又△A BC的面积为2, 1 资料整理【淘宝店铺:向阳百分百】V A-A1BC =S △A1BC h=×2h=, 所以h=, 即点A到平面A BC的距离为. 1 (2)取A B的中点E,连接AE, 1 则AE⊥A B. 1 因为平面A BC⊥平面ABB A ,平面A BC∩平面ABB A =A B,AE 平面ABB A , 1 1 1 1 1 1 1 1 1 所以AE⊥平面A 1 BC, ⊂ 又BC 平面A BC,所以AE⊥BC. 1 又AA 1⊂ ⊥平面ABC,BC 平面ABC, 所以AA 1 ⊥BC. ⊂ 因为AA ∩AE=A,AA ,AE 平面ABB A , 1 1 1 1 所以BC⊥平面ABB 1 A 1 , ⊂ 又AB 平面ABB A ,所以BC⊥AB. 1 1 以B为⊂坐标原点,分别以BC,BA,BB1的方向为x,y,z轴的正方向,建立如图所示的空间 直角坐标系B-xyz, 由(1)知,AE=, 所以AA =AB=2,A B=2. 1 1 因为△A BC的面积为2, 1 所以2=·A B·BC,所以BC=2, 1 所以A(0,2,0),B(0,0,0),C(2,0,0),A (0,2,2),D(1,1,1),E(0,1,1), 1 则BD=(1,1,1),BA=(0,2,0). 设平面ABD的一个法向量为n=(x,y,z), 则即 令x=1,得n=(1,0,-1). 资料整理【淘宝店铺:向阳百分百】又平面BDC的一个法向量为AE=(0,-1,1), 所以cos〈AE,n〉===-. 设平面ABD与平面CBD夹角为θ, 则sin θ==, 所以二面角A-BD-C的正弦值为. 基础题型训练 一、单选题 1.如图,在正方体 中,点E是上底面 的中心,则异面直线 与 所成角的余 弦值为( ) A. B. C. D. 【答案】B 【分析】建立空间直角坐标系,利用向量夹角求解. 【详解】以 为原点, 为 轴正方向建立空间直角坐标系如图所示,设正方体棱长为2, 资料整理【淘宝店铺:向阳百分百】所以 , 所以异面直线 与 所成角的余弦值为 . 故选:B 2.若直线l的方向向量为 ,平面α的法向量为 ,则能使l∥α的是( ) A. , B. , C. , D. , 【答案】D 【分析】根据题意转化为选择满足 的选项,对各选项一一判断即可. 【详解】由题意得,若使l∥α,那么就要使 ,即 . 对于A, ,故A错误; 对于B, ,故B错误; 资料整理【淘宝店铺:向阳百分百】对于C, ,故C错误; 对于D, ,故D正确. 故选:D. 3.如图,正方体 中, 是 的中点,则下列说法正确的是( ) A.直线 与直线 垂直,直线 平面 B.直线 与直线 平行,直线 平面 C.直线 与直线 异面,直线 平面 D.直线 与直线 相交,直线 平面 【答案】A 【分析】根据空间的平行和垂直关系进行判定. 【详解】连接 ;由正方体的性质可知 , 是 的中点,所以直线 与直 线 垂直; 由正方体的性质可知 ,所以平面 平面 , 又 平面 ,所以直线 平面 ,故A正确; 资料整理【淘宝店铺:向阳百分百】以 为原点,建立如图坐标系,设正方体棱长为1, 显然直线 与直线 不平行,故B不正确; 直线 与直线 异面正确, , ,所以直线 与平面 不垂直,故C不 正确; 直线 与直线 异面,不相交,故D不正确; 故选:A. 4.如图,正方体 的棱长为a,M,N分别为 和AC上的点, ,则MN 与平面 的位置关系是( ) 资料整理【淘宝店铺:向阳百分百】A.相交但不垂直 B.平行 C.相交且垂直 D.不能确定 【答案】B 【分析】根据向量的运算法则求得 和平面 的一个法向量 ,结合 , 即可求解. 【详解】因为正方体的棱长为 ,可得 ,所以 , , 所以 . 又因为 是平面 的一个法向量,且 , 所以 ,所以 平面 . 故选:B. 5.若空间两直线 与 的方向向量分别为 和 ,则两直线 与 垂直的充要条件为 ( ) A. , , ( ) B.存在实数k,使得 C. D. 【答案】C 资料整理【淘宝店铺:向阳百分百】【分析】由空间直线垂直时方向向量 ,即可确定充要条件. 【详解】由空间直线垂直的判定知: . 当 时,即 ,两直线 与 垂直. 而A、B、D说明 与 平行. 故选:C 6.如图,三棱柱 的各棱长均为2,侧棱 与底面 所成的角为 , 为锐角,且 侧面 底面 ,给出下列四个结论: ① ;② ; ③直线 与平面 所成的角为 ; ④ .其中正确的结论是 A.②④ B.①③ C.①③④ D.①②③④ 【答案】C 【分析】过 作 , 为垂足,连接 ,于是很容易建立空间直角坐标系,运用空间向量的计算 来判断. 【详解】图过 作 , 为垂足,连接 ,如图建立空间直角坐标系, 资料整理【淘宝店铺:向阳百分百】① :∵侧棱 与底面 所成的角为 , 为锐角,侧面 底面 ,∴ , 又由三棱柱各棱长相等,可知四边形 为菱形,于是 ,∴ ① 正确; ②:易知 , , , ,∴ ② 错误; ③ :侧面 底面 ,棱柱上下底面平行,故侧面 底面 ,又 平 面 ,侧面 底面 ,故 侧面 , 即为 与平面 所成 的角, , ,∴ ③ 正确; ④ :由② 可知, ,∴ ,∴ ,∴ ④ 正确. 故选:C. 二、多选题 7.若 (2,-3,1)是平面α的一个法向量,则下列向量中能作为平面α的法向量的是( ) A. ( ,3, ) B. (200, ,100) C. ( , , ) D. ( ,3,0) 资料整理【淘宝店铺:向阳百分百】【答案】ABC 【分析】因为同一个平面的法向量共线,所以可利用向量共线的判定进行求解. 【详解】因为 , , , , 所以 与 , , 均共线,与 不共线, 所以 , , 可以作为平面α的法向量 故选:ABC. 8.已知点 是平行四边形 所在的平面外一点,如果 , , ,下列结论正确的有( ) A. B.四边形 为矩形 C. 是平面 的一个法向量 D. 【答案】AC 【分析】利用直线垂直与向量数量积的关系可判断AB选项的正误;利用平面法向量的概念可判断C选项 的正误;计算得出 ,可判断D选项的正误. 【详解】对于A选项, , ,A对; 对于B选项, ,故平行四边形 不是矩形,B错; 对于C选项, ,则 , 因为 ,则 平面 ,故 是平面 的一个法向量,C对; 对于D选项, ,D错. 故选:AC. 三、填空题 资料整理【淘宝店铺:向阳百分百】9.设 分别是平面 的法向量,若 ,则实数 的值是________. 【答案】4 【解析】根据 分别是平面 的法向量,且 ,则有 求解. 【详解】因为 分别是平面 的法向量,且 所以 所以 解得 故答案为:4 【点睛】本题主要考查空间向量垂直,还考查了运算求解的能力,属于基础题. 10.已知直线 的一个方向向量为 ,平面 的一个法向量为 ,且直线 与平面 平行, 则实数 ______. 【答案】2 【分析】依题意可得 ,即可得到 ,根据空间向量数量积的坐标运算得到方程,解得即可. 【详解】解:因为直线 与平面 平行,直线 的一个方向向量为 ,平面 的一个法向量为 , 所以 ,则 ,解得 . 故答案为: 11.已知正三棱柱 的侧棱长为2,底面边长为1, 是 的中点,若直线 上有一点 ,使 ,则 ______. 【答案】 /0.0625 【分析】由题可设 ,则 , ,利用 ,列出方程即得. 资料整理【淘宝店铺:向阳百分百】【详解】如图,设 , 由于 , , 由 可得 , ∴ ,又 , 因此 ,解得 , 所以 . 故答案为: . 12. , 为空间中两条互相垂直的直线,等腰直角三角形 的直角边 所在直线与 , 都垂直, 斜边 以直线 为旋转轴旋转,有下列结论: (1)当直线 与 成 角时, 与 成 角; (2)当直线 与 成 角时, 与 成 角; (3)直线 与 所成角的最小值为 ; (4)直线 与 所成角的最小值为 ; 其中正确的是______(填写所有正确结论的编号). 【答案】(1)(3) 【分析】由题意知,a、b、AC三条直线两两相互垂直,构建如图所示的边长为1的正方体,|AC|=1,| 资料整理【淘宝店铺:向阳百分百】AB| ,斜边AB以直线AC为旋转轴,则A点保持不变,B点的运动轨迹是以C为圆心,1为半径的圆, 以C坐标原点,以CD为x轴,CB为y轴,CA为z轴,建立空间直角坐标系,利用向量法能求出结果. 【详解】由题意知,a、b、AC三条直线两两相互垂直,画出图形如图, 不妨设图中所示正方体边长为1, 故|AC|=1,|AB| , 斜边AB以直线AC为旋转轴,则A点保持不变, B点的运动轨迹是以C为圆心,1为半径的圆, 以C坐标原点,以CD为x轴,CB为y轴,CA为z轴,建立空间直角坐标系, 则D(1,0,0),A(0,0,1),直线a的方向单位向量 (0,1,0),| |=1, 直线b的方向单位向量 (1,0,0),| |=1, 设B点在运动过程中的坐标中的坐标B′(cosθ,sinθ,0), 其中θ为B′C与CD的夹角,θ∈[0,2π), ∴AB′在运动过程中的向量为 (cosθ,sinθ,﹣1),| | , 设 与 所成夹角为α∈[0, ], 则cosα |sinθ|∈[0, ], ∴α∈[ , ],∴(3)正确,(4)错误. 设 与 所成夹角为β∈[0, ], 资料整理【淘宝店铺:向阳百分百】cosβ |cosθ|, 当 与 夹角为60°时,即α , |sinθ| , ∵cos2θ+sin2θ=1,∴cosβ |cosθ| , ∵β∈[0, ],∴β ,此时 与 的夹角为60°, ∴(1)正确,(2)错误. 故答案为(1)(3). 【点睛】本题考查空间中线线、线面、面面间的位置关系等基础知识,考查推理论证能力、运算求解能力、 空间想象能力,考查数形结合思想、化归与转化思想,是中档题. 四、解答题 13.设 分别是空间中两个不重合的平面 的法向量,分别根据下列条件判断平面 的位置关系. (1) ; (2) . 【答案】(1) ;(2) . 【分析】(1)先利用向量的线性关系判定 的位置关系,进而判定平面 的位置关系; (2)先利用向量的线性关系判定 的位置关系,进而判定平面 的位置关系; 【详解】(1)因为 ,所以 ,则 ; (2)因为 ,所以 ,则 ; 资料整理【淘宝店铺:向阳百分百】14.如图,四边形 为正方形, , 分别为 , 的中点,以 为折痕把 折起,使点 到达点 的位置,且点 在平面 上的投影点 恰好在 上. (1)证明: . (2)求二面角 的大小. 【答案】(1)证明见解析 (2) 【分析】(1)由已知可得 平面ABFD,进而可证得 平面PEF。即可证得结果. (2)以H为坐标原点, 的方向为y轴正方向,建立如图所示的空间直角坐标系H-xyz,分别求得平面 PEF的法向量 ,平面PFD的法向量 ,计算即可得出结果. (1) 证明:由已知可得, 平面ABFD,所以 , 因为 分别为 的中点,所以 , 又 ,所以 平面PEF. 又 平面PEF,所以 . (2) 设 ,以H为坐标原点, 的方向为y轴正方向,建立如图所示的空间直角坐标系H-xyz. 由(1)可得, ,又 所以 . 又 ,故 .可得 则 资料整理【淘宝店铺:向阳百分百】为平面PEF的一个法向量. 设平面PFD的法向量为 则 ,令 ,则 故取 . 设二面角 的平面角为 ,则 所以二面角 为 . 15.如图所示,四棱锥 中, , , , 平面 . 资料整理【淘宝店铺:向阳百分百】(1)求证: 平面 ; (2)若点 是线段 的中点,求平面 与平面 所成锐二面角的余弦值. 【答案】(1)证明见解析;(2) . 【解析】(1)通过勾股定理证得 ,结合线面垂直的性质得到 ,由此证得 平面 . (2)建立空间直角坐标系,通过平面 和平面 的法向量,求得平面 与平面 所成锐二面 角的余弦值. 【详解】(1)证明: , , 又 , , 故 , 又 平面 平面 , , 又 , 平面 . (2)如图,分别以 的方向为 轴正方向,建立空间直角坐标系 . 资料整理【淘宝店铺:向阳百分百】则 , 由(1)得平面 的一个法向量为 , 设 为平面 的一个法向量 , 由 , 得 , 不妨取 , 设平面 与平面 所成的锐二面角为 ,则 . 即平面 与平面 所成锐二面角的余弦值为 . 16.如图,四面体 中, 、 分别是 、 的中点, , . (1)求证: 平面 ; (2)求点 到平面 的距离; 资料整理【淘宝店铺:向阳百分百】(3)求二面角 的余弦值. 【答案】(1)证明见解析;(2) ;(3) ; 【分析】(1)连接 ,依题意可得 ,再利用勾股定理逆定理得到 ,即可得证. (2)以 为原点,以 , , 方向为 , , 轴正方向,建立空间坐标系,求出平面 的法 向量的坐标,根据点 到平面 的距离 ,可求出点 到平面 的距离; (3)结合(2)中结论,再由 平面 ,即 为平面 的一个法向量,代入向量夹角公式,即 可求出二面角 的余弦值. 【详解】证明:(1)在 中, , 是 中点, 且 中,连接 , , 且 中 , , ,故 , 又 , 平面 . 平面 . 资料整理【淘宝店铺:向阳百分百】(2)如图建立空间直角坐标系,则 , , , , , , 所以 , , 设平面 的法向量为 则 ,即 . 令 得 是平面 的一个法向量. 又 , 点 到平面 的距离 . (3) 平面 , 为平面 的一个法向量; , 又二面角 为锐二面角, 资料整理【淘宝店铺:向阳百分百】所以二面角 的余弦值为 . 提升题型训练 一、单选题 1.在空间直角坐标系中,若直线l的方向向量为 ,平面 的法向量为 ,则( ) A. B. C. 或 D.l与 斜交 【答案】C 【解析】由 可得 ,所以 或 ,即可得正确选项. 【详解】直线l的方向向量为 ,平面 的法向量为 , 因为 , 所以 , 所以 或 , 故选:C. 2.若平面 ,平面 的法向量为 ,则平面 的一个法向量可以是( ) A. B. C. D. 【答案】A 【分析】根据两平面垂直得出两平面的法向量互相垂直,即两平面法向量的数量积为0,再逐项计算得出 结果. 【详解】选项A中, ,选项A正确; 选项B中, ,选项B错误; 资料整理【淘宝店铺:向阳百分百】选项C中, ,选项C错误; 选项D中, ,选项D错误. 故选:A. 3.已知 , , ,则平面ABC的一个法向量可以是( ) A. B. C. D. 【答案】A 【分析】代入法向量的计算公式,即可求解. 【详解】 , ,令法向量为 ,则 , ,可取 . 故选:A. 4.已知A(0,0,1),B(3,0,0),C(0,2,0),则原点到平面ABC的距离是( ) A. B. C.1 D. 【答案】B 【分析】构建空间直角坐标系 ,求面ABC的一个法向量 及 ,由原点到平面ABC的距离为 在 上的投影长,应用空间向量夹角的坐标表示求 ,进而求点面距即可. 【详解】由题设, ,若 是面ABC的一个法向量, ∴ ,令 ,则 ,又 , 资料整理【淘宝店铺:向阳百分百】若原点到平面ABC的距离为 ,则 为 在 上的投影长,而 , ∴ . 故选:B 5.在边长及对角线都为1的空间四边形 中, , 分别是 , 的中点,则直线 和 夹角 的余弦值为( ) A. B. C. D. 【答案】B 【分析】利用空间向量的线性运算及数量积运算可求得 ,再利用空间向量求夹角运算即可得 解. 【详解】如图,连接对角线 , ,则可构成棱长均为1的正四面体 由 , 分别是 , 的中点, , 又 , 资料整理【淘宝店铺:向阳百分百】则 所以直线 和 夹角的余弦值为 . 故选:B 6.如图,在棱长为2的正方体 中,点 分别是棱 、 的中点,则点 到平面 的距离等于( ) A. B. C. D. 【答案】D 【分析】建立空间直角坐标系,找到平面 的法向量,利用向量法求点到平面的距离求解即可. 【详解】以 为坐标原点,分别以 , , 的方向为 轴、 轴、 轴的正方向建立空间直角坐 标系,则 , , , . 资料整理【淘宝店铺:向阳百分百】设平面 的法向量为 , 则 ,即 令 ,得 . 又 , 点 到平面 的距离 , 故选: . 【点睛】本题用向量法求点到平面的距离,我们也可以用等体积法求点到平面的距离,当然也可以找到这 个垂线段,然后放在直角三角形中去求. 二、多选题 7.我们知道,平面几何中有些正确的结论在空间中不一定成立.下面给出的平面几何中的四个真命题, 在空间中仍然成立的有( ) A.平行于同一条直线的两条直线必平行 B.垂直于同一条直线的两条直线必平行 C.一个角的两边分别平行于另一个角的两边,那么这两个角相等或互补 D.一个角的两边分别垂直于另一个角的两边,那么这两个角相等或互补 资料整理【淘宝店铺:向阳百分百】【答案】AC 【分析】根据线线平行传递性和课本中的定理可判断AC正确;垂直于同一条直线的两条直线位置关系不 确定,可判断B,通过举反例可判断D. 【详解】根据线线平行具有传递性可知A正确; 空间中垂直于同一条直线的两条直线,位置关系可能是异面、相交、平行,故B错误; 根据定理:空间中如果两个角的两边分别对应平行,那么这两个角相等或互补可知C正确; 如图, 且 , 则 但 和 的关系不确定, 故D错误. 故选:AC 8.在长方体 中, , 为棱 的中点,点 满足 ,其中 ,则下列结论正确的有( ) A.当 时,异面直线 与 所成角的余弦值为 B.当 时, C.当 时,有且仅有一个点 ,使得 D.当 时,存在点 ,使得 【答案】AB 【分析】首先根据 的值,确定点 的位置,再利用空间向量的垂直和线线角的坐标运算,即可判断选 项. 【详解】A.当 时, ,此时点 是 与 的交点, 资料整理【淘宝店铺:向阳百分百】如图,建立空间直角坐标系, , , , , , ,所以 ,故A正确; B. 当 时, ,此时,点 在线段 上,( 分别是棱 的中点),此时, , , , , ,所以 恒成立,所以当 时,有 ,故B正确; C. 当 时, ,此时点 在线段 上,( 分别是 的中点), , , , 资料整理【淘宝店铺:向阳百分百】当 时,有 ,即 , ,所以方程无解,不存在 点 使 ,故C错误; D.当 时, ,此时点 在线段 上, , , , , , ,若 ,则 ,解 得: ,不成立,所以不存在点 ,使得 ,故D错误. 故选:AB 三、填空题 9.在直三棱柱 中,给出向量:① ;② ;③ ;④ .可以作为平面ABC的法向 量的是_______.(选填序号) 【答案】②③ 资料整理【淘宝店铺:向阳百分百】【分析】利用直棱柱的侧棱与底面垂直,结合平面法向量的定义,即可得到答案. 【详解】解:由于直三棱柱的侧棱与底面垂直, 所以平面 的法向量可以为 , . 故答案为:②③. 10.在正方体 中,E为 的中点,若O为底面 的中心,则异面直线 与 所成角的余弦值为_________. 【答案】 【分析】以D为坐标原点, 分别为x、y、z的轴正方向建立空间直角坐标系 ,用向量 法求解. 【详解】以D为坐标原点, 分别为x、y、z的轴正方向建立空间直角坐标系 ,如图所 示, 设 ,则 , , , . 因为 , , 所以 , 设异面直线 与 所成角为 ,则 , 所以异面直线 与 所成角的余弦值为 . 资料整理【淘宝店铺:向阳百分百】故答案为: . 11.在棱长为1的正方体 中, , 分别为 , 的中点,点 在正方体的表面上 运动,且满足 ,给出下面四个结论: ①点 可以是棱 的四等分点,且靠近点 ; ②线段 的最大值为 ; ③点 的轨迹是正方形; ④点 轨迹的长度为 . 则其中所有正确结论的序号是________. (注:本题给出的结论中,有多个符合题目要求.全部选对得5分,不选或有错选得0分,其他得3分) 【答案】①④ 【分析】以 为坐标原点,分别以 , , 为 轴, 轴, 轴建立空间直角坐标系,求出 的 坐标,从而得到 的最大值,即可判断选项②,通过分析判断可得点 可以是棱 的四等分点,且靠 近点 ,从而判断选项①,又 , ,可判断选项③和选项④. 【详解】解:在正方体 中,以 为坐标原点建立空间直角坐标系, ∵该正方体的棱长为1, , 分别为 , 的中点, 资料整理【淘宝店铺:向阳百分百】∴ , , , ,∴ , 设 ,则 , ∵ ,∴ ,即 当 时, ,当 时, , 取 , , , , 连接 , , , , 则 , , ∴四边形 为矩形,则 , , 即 , , 又 和 为平面 中的两条相交直线, ∴ 平面 , 又 , , ∴ 为 的中点,则 平面 , 为使 ,必有点 平面 , 又点 在正方体表面上运动,∴点 的轨迹为四边形 , 因此点 可以是棱 的四等分点,且靠近点 ,故选项①正确; 又 , , ∴ ,则点 的轨迹不是正方形且矩形 周长为 , 资料整理【淘宝店铺:向阳百分百】故选项③错误,选项④正确; ∵ , , 又 ,则 ,即 , ∴ ,点 在正方体表面运动, 则 ,解 , ∴ , 故当 或 , 或1, 取得最大值为 ,故②错误. 故答案为:①④. 12.已知正四面体 中, , 分别是线段 , 的中点,点 是线段 上靠近 的四等分点, 则直线 与 所成角的余弦值为________. 【答案】 【分析】以 为空间的一个基底,表示出 ,再借助空间向量运算即可求得直线 与 所成角的余弦值. 【详解】在正四面体 中,令棱长 , ,则 为空间的一个基底, 如图, , 分别是线段 , 的中点,则 , 资料整理【淘宝店铺:向阳百分百】而点 是线段 上靠近 的四等分点,则 , 又 ,同理, , , , , 于是得 , 所以直线 与 所成角的余弦值为 . 故答案为: 四、解答题 13.已知长方体 中, , , ,点S、P在棱 、 上,且 , ,点R、Q分别为AB、 的中点.求证:直线 直线 . 【答案】证明见解析. 【分析】利用坐标法,利用向量共线定理即得. 【详解】以点D为原点,分别以 、 与 的方向为x、y与z轴的正方向,建立空间直角坐标系. 资料整理【淘宝店铺:向阳百分百】则 、 、 、 、 、 、 、 , 由题意知 、 、 、 , ∴ , . ∴ ,又 , 不共线, ∴ . 14.如图,正方形 和矩形 所在的平面互相垂直, , , 是线段 的中点. (1)求证: 平面 ; (2)求证:平面 平面 ; (3)求平面 与平面 夹角的余弦值; 【答案】(1)证明见解析 (2)证明见解析 资料整理【淘宝店铺:向阳百分百】(3) 【分析】(1)设 与 交于点 ,易证四边形 是平行四边形,所以 ,再根据线面平 行的判定定理即可证明结果; (2)根据题意,结合面面垂直的性质定理,可证 平面 ,所以 、 、 两两垂直,以 , , 所在直线为 , , 轴建立空间直角坐标系,求出平面 和平面 的法向量,再根据它 们的数量积为0,即可证明结果; (3)根据(2),求出平面 的法向量,然后再利用空间向量求二面角,即可得到结果. 【详解】(1)证明:设 与 交于点 ,连结 . 因为四边形 是矩形, 、 分别为 , 的中点, 所以 且 , 所以四边形 是平行四边形,所以 . 因为 平面 , 平面 ,所以 平面 . (2)证明:因为平面 平面 ,平面 平面 , , 平面 , 所以 平面 . 所以 、 、 两两垂直.以 , , 所在直线为 , , 轴建立空间直角坐标系, 则 , , , , 所以 , , . 设 是平面 的法向量, 资料整理【淘宝店铺:向阳百分百】则 令 ,得 . 设 是平面 的法向量, 则 令 ,得 . 因为 , 所以平面 平面 . (3)解:因为 , , 所以 , ,设 是平面 的法向量, 则 令 ,得 . 设平面 与平面 的夹角为 , , 所以平面 与平面 夹角的余弦值为 . 资料整理【淘宝店铺:向阳百分百】15.已知直四棱柱 的底面 为菱形,且 , ,点 为 的 中点. (1)证明: 平面 ; (2)求二面角 的余弦值. 【答案】(1)证明见解析 (2) 【分析】(1)连接 交 于点 ,通过证明 得 平面 ; (2)方法一:取 的中点 ,证明 为二面角 的平面角,在三角形 中求 ; 方法二:建立空间直角坐标系,分别求出平面 与平面ACE的法向量,用空间向量求二面角的余弦值. 【详解】(1)连接 交 于点 ,连接 , 在直四棱柱 中 , 所以四边形 为平行四边形,即 , 资料整理【淘宝店铺:向阳百分百】又因为底面 为棱形,所以点 为 的中点,点 为 的中点,即点 为 的中点, 所以 , 即四边形 为平行四边形,所以 , 因为 平面 , 平面 , 所以 平面 . (2)方法一:取 的中点 ,连接 , , , 在直棱柱 中 平面 ,所以 , 又因为 , ,所以 平面 , 又 平面 ,所以 因为在 中, ,且点 为 的中点,所以 , 又 ,而点 为 的中点,所以 , 又 ,所以 平面 , 又 平面 ,即 , 则 为二面角 的平面角, 在等腰直角三角形 中, ,又 , 在直角三角形 中 , 资料整理【淘宝店铺:向阳百分百】所以 , 即二面角 的余弦值为 . 方法二:因为底面 为菱形,所以 , 在直四棱柱 中, 分别为 中点,故 面 ,故 , 如图,以 , , 分别为分别为 轴, 轴, 轴建立空间直角坐标系, 因为在 中, ,且点 为 的中点, 所以 , , 则 , , , , 因为 , , 设 为平面 的法向量, 则 ,即 ,得 , 令 ,则 , 平面 的法向量 , 设二面角 为 , 资料整理【淘宝店铺:向阳百分百】则 . 由图知二面角 为锐角,故二面角 的余弦为 . 16.如图,四棱锥 的底面为正方形, 底面 , ,点 在棱 上,且 ,点 是棱 上的动点(不含端点). (1)若 是棱 的中点,求 的余弦值; (2)求 与平面 所成角的正弦值的最大值. 【答案】(1) (2) 【分析】(1)建立空间直角坐标系,求出 , 的坐标,利用向量夹角公式求解; (2)设 ,求出平面 的法向量 ,设 与平面 所成角为 ,则 ,根据二次函数取最值的条件即得结果. 【详解】(1)由 平面 , , 平面 ,所以 , , 又 ,所以 、 、 两两垂直, 以 为坐标原点,分别以 , , 所在直线为 , , 轴,建立空间直角坐标系 , 资料整理【淘宝店铺:向阳百分百】则 , , , , , , 当 为棱 的中点时, ,则 , , , 所以 的余弦值为 . (2) ,设 , , 则 ,则 ,又 , 设平面 的一个法向量为 , 则 ,即 ,取 , ,设 与平面 所成角为 , , 令 ,当 时, , 即 时, 有最大值 , 资料整理【淘宝店铺:向阳百分百】所以 与平面 所成角的正弦值的最大值为 . 资料整理【淘宝店铺:向阳百分百】