当前位置:首页>文档>专题三 微创新 数列与其他知识的综合问题_02高考数学_2025年新高考资料_二轮复习_2025年高考数学大二轮_2025数学二轮专题复习教师用书Word版文档_专题三 数列

专题三 微创新 数列与其他知识的综合问题_02高考数学_2025年新高考资料_二轮复习_2025年高考数学大二轮_2025数学二轮专题复习教师用书Word版文档_专题三 数列

  • 2026-04-16 18:04:27 2026-04-14 08:07:11

文档预览

专题三 微创新 数列与其他知识的综合问题_02高考数学_2025年新高考资料_二轮复习_2025年高考数学大二轮_2025数学二轮专题复习教师用书Word版文档_专题三 数列
专题三 微创新 数列与其他知识的综合问题_02高考数学_2025年新高考资料_二轮复习_2025年高考数学大二轮_2025数学二轮专题复习教师用书Word版文档_专题三 数列
专题三 微创新 数列与其他知识的综合问题_02高考数学_2025年新高考资料_二轮复习_2025年高考数学大二轮_2025数学二轮专题复习教师用书Word版文档_专题三 数列
专题三 微创新 数列与其他知识的综合问题_02高考数学_2025年新高考资料_二轮复习_2025年高考数学大二轮_2025数学二轮专题复习教师用书Word版文档_专题三 数列
专题三 微创新 数列与其他知识的综合问题_02高考数学_2025年新高考资料_二轮复习_2025年高考数学大二轮_2025数学二轮专题复习教师用书Word版文档_专题三 数列
专题三 微创新 数列与其他知识的综合问题_02高考数学_2025年新高考资料_二轮复习_2025年高考数学大二轮_2025数学二轮专题复习教师用书Word版文档_专题三 数列
专题三 微创新 数列与其他知识的综合问题_02高考数学_2025年新高考资料_二轮复习_2025年高考数学大二轮_2025数学二轮专题复习教师用书Word版文档_专题三 数列
专题三 微创新 数列与其他知识的综合问题_02高考数学_2025年新高考资料_二轮复习_2025年高考数学大二轮_2025数学二轮专题复习教师用书Word版文档_专题三 数列
专题三 微创新 数列与其他知识的综合问题_02高考数学_2025年新高考资料_二轮复习_2025年高考数学大二轮_2025数学二轮专题复习教师用书Word版文档_专题三 数列
专题三 微创新 数列与其他知识的综合问题_02高考数学_2025年新高考资料_二轮复习_2025年高考数学大二轮_2025数学二轮专题复习教师用书Word版文档_专题三 数列
专题三 微创新 数列与其他知识的综合问题_02高考数学_2025年新高考资料_二轮复习_2025年高考数学大二轮_2025数学二轮专题复习教师用书Word版文档_专题三 数列
专题三 微创新 数列与其他知识的综合问题_02高考数学_2025年新高考资料_二轮复习_2025年高考数学大二轮_2025数学二轮专题复习教师用书Word版文档_专题三 数列
专题三 微创新 数列与其他知识的综合问题_02高考数学_2025年新高考资料_二轮复习_2025年高考数学大二轮_2025数学二轮专题复习教师用书Word版文档_专题三 数列
专题三 微创新 数列与其他知识的综合问题_02高考数学_2025年新高考资料_二轮复习_2025年高考数学大二轮_2025数学二轮专题复习教师用书Word版文档_专题三 数列
专题三 微创新 数列与其他知识的综合问题_02高考数学_2025年新高考资料_二轮复习_2025年高考数学大二轮_2025数学二轮专题复习教师用书Word版文档_专题三 数列
专题三 微创新 数列与其他知识的综合问题_02高考数学_2025年新高考资料_二轮复习_2025年高考数学大二轮_2025数学二轮专题复习教师用书Word版文档_专题三 数列
专题三 微创新 数列与其他知识的综合问题_02高考数学_2025年新高考资料_二轮复习_2025年高考数学大二轮_2025数学二轮专题复习教师用书Word版文档_专题三 数列

文档信息

文档格式
docx
文档大小
1.901 MB
文档页数
13 页
上传时间
2026-04-14 08:07:11

文档内容

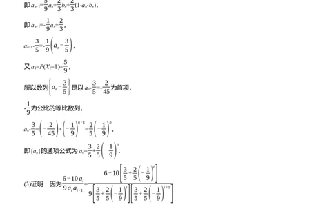
微创新 数列与其他知识的综合问题 [考情分析] 新高考下数列与其他知识的综合问题是高考的热点,也是各地模拟考试热点,经常以压轴大 题的形式出现,一般难度较大,考查的范围较广.数列常与概率、函数、解析几何相结合,也可以与集合、 解三角形、立体几何相结合.在学习过程中,对综合运用各种知识技能解题的灵活性要求有所加强,应予以 重视. 考点一 数列与概率统计结合 例1 [数列收敛]龙泉游泳馆为给顾客更好的体验,推出了A和B两个套餐服务,顾客可选择A和B两 个套餐之一,并在App平台上推出了优惠券活动,下表是该游泳馆在App平台10天销售优惠券情况. 日期t 1 2 3 4 5 6 7 8 9 10 销售量y(千张) 1.9 1.98 2.2 2.36 2.43 2.59 2.68 2.76 2.7 0.4 10 10 10 1 经计算可得y= Σ y=2.2, Σ ty=118.73, Σ t2 =385. 10 i i i i i=1 i=1 i=1 (1)因为优惠券购买火爆,App平台在第10天时系统出现异常,导致当天顾客购买优惠券数量大幅减少, 已知销售量y和日期t呈线性关系,现剔除第10天数据,求y关于t的经验回归方程(结果中的数值用分 数表示); 1 3 (2)若购买优惠券的顾客选择A套餐的概率为 ,选择B套餐的概率为 ,并且A套餐只可使用一张优惠 4 4 券,B套餐只可使用两张优惠券,记App平台累计销售优惠券为n(n∈N*)张的概率为P ,求P ; n n (3)记(2)中所得概率P 的值构成数列{P }(n∈N*). n n ①求数列{P }的最值; n ②数列收敛的定义:已知数列{a },若对于任意给定的正数ε,总存在正整数N ,使得当n>N 时,|a - n 0 0 n a|<ε(a是一个确定的实数),则称数列{a }收敛于a.根据数列收敛的定义,证明数列{P }收敛. n n n n Σ (x -x)(y - y) Σ x y -nx y i i i i ^ i=1 i=1 ^ ^ 参考公式:b= = ,a=y-bx. n n Σ (x -x) 2 Σ x2-nx2 i i i=1 i=1 (1)解 剔除第10天的数据, 2.2×10-0.4 可得y = =2.4, 新 9 1+2+3+4+5+6+7+8+9 t = =5, 新 9 9 则( Σ ty) =118.73-10×0.4=114.73, i i 新 i=19 ( Σ t2 ) =385-102=285, i 新 i=1 9 ( Σ t y ) -9t y i i 新 新 新 ^ i=1 所以b= 9 ( Σ t2 ) -9t2 i 新 新 i=1 114.73-9×5×2.4 673 = = , 285-9×52 6 000 ^ 673 2 207 可得a=2.4- 6 000 ×5= 1 200 , ^ 673 2 207 所以y= 6 000 t+ 1 200 . 1 3 1 (2)解 由题意知P = P + P (n≥3),其中P = , n 4 n-1 4 n-2 1 4 1 1 3 13 P = × + = , 2 4 4 4 16 3 3 所以P + P =P + P (n≥3), n 4 n-1 n-1 4 n-2 3 13 3 1 又由P + P = + × =1, 2 4 1 16 4 4 { 3 } 所以 P + P 是首项为1的常数列, n 4 n-1 3 所以P + P =1(n≥2), n 4 n-1 4 3( 4) 所以P - =- P - (n≥2), n 7 4 n-1 7 4 1 4 9 又因为P - = - =- , 1 7 4 7 28 { 4} 9 3 所以数列 P - 是首项为- ,公比为- 的等比数列, n 7 28 4 4 9 ( 3) n-1 故P - =- - , n 7 28 4 9 ( 3) n-1 4 4 3( 3) n 所以P =- - + = + - . n 28 4 7 7 7 4 4 3(3) n 4 (3)①解 当n为偶数时,P = + > 单调递减, n 7 7 4 713 最大值为P = ; 2 16 4 3(3) n 4 1 当n 为奇数时,P = - < 单调递增,最小值为P = . n 7 7 4 7 1 4 13 1 综上,数列{P }的最大值为 ,最小值为 . n 16 4 [ 7ε] ②证明 对任意ε>0,总存在正整数N 0 = log 3 3 +1(其中[x]表示取整数), 4 | 4| |3( 3) n| 使得当n>N 时, P - = - 0 n 7 7 4 = |3(3) n| < 3(3)log 3 4 7 3 ε =ε, 7 4 7 4 所以数列{P }收敛. n [规律方法] 数列与概率相结合出现的频率较高,一般是根据题干得到数列的递推关系式,结合数列的相 关知识进行求解,多通过构造的方法转化为等差、等比数列问题求解,求解过程中灵活运用数列的性质, 准确应用相关的数列知识. 跟踪演练1 (2024·苏州模拟)现有甲、乙两个盒子中都有大小、质地相同的2个红球和1个黑球.从两个 盒子中各任取一个球交换,记为一次操作.重复进行n(n∈N*)次操作后,记甲盒子中黑球个数为X ,甲 n 盒中恰有1个黑球的概率为a ,恰有2个黑球的概率为b . n n (1)求随机变量X 的分布列; 1 (2)求数列{a }的通项公式; n n 6-10a 9 i (3)求证: Σ < (n∈N*). 9a a 5 i=1 i i+1 (1)解 由题可知X 的可能取值为0,1,2, 1 根据题意得,X =0即为甲盒中拿黑球乙盒中拿红球交换,X =1即为甲盒中拿黑球乙盒中拿黑球交换或甲盒 1 1 中拿红球乙盒中拿红球交换,X =2即为甲盒中拿红球乙盒中拿黑球交换,则 1 1 2 2 P(X =0)= × = , 1 3 3 9 1 1 2 2 5 P(X =1)= × + × = , 1 3 3 3 3 9 2 1 2 P(X =2)= × = , 1 3 3 9 X 的分布列为 1 X 0 1 2 12 5 2 P 9 9 9 (2)解 由全概率公式可知 P(X =1)=P(X =1)P(X =1|X =1)+P(X =2)P(X =1|X =2)+P(X =0)P(X =1|X =0) n+1 n n+1 n n n+1 n n n+1 n (1 1 2 2) (2 ) ( 2) = × + × P(X =1)+ ×1 P(X =2)+ 1× P(X =0) 3 3 3 3 n 3 n 3 n 5 2 2 = P(X =1)+ P(X =2)+ P(X =0), 9 n 3 n 3 n 5 2 2 即a = a + b + (1-a -b ), n+1 9 n 3 n 3 n n 1 2 即a =- a + , n+1 9 n 3 3 1( 3) a - =- a - , n+1 5 9 n 5 5 又a =P(X =1)= , 1 1 9 { 3} 3 2 所以数列 a - 是以a - =- 为首项, n 5 1 5 45 1 - 为公比的等比数列, 9 3 ( 2 ) ( 1) n-1 2( 1) n a - = - × - = - , n 5 45 9 5 9 3 2( 1) n 即{a }的通项公式为a = + - . n n 5 5 9 [3 2( 1) i] 6-10 + - 6-10a 5 5 9 i (3)证明 因为 = 9a i a i+1 9 [3 + 2( - 1) i][3 + 2( - 1) i+1] 5 5 9 5 5 9 ( 1) i -4 - 9 = [3 2( 1) i][3 2( 1) i+1] 9 + - + - 5 5 9 5 5 9 1 1 =3 2( 1) i-3 2( 1) i+1 , + - + - 5 5 9 5 5 9n 6-10a i 所以 Σ 9a a i=1 i i+1 1 1 1 1 1 1 =3 2( 1) 1-3 2( 1) 2+3 2( 1) 2-3 2( 1) 3+…+3 2( 1) n-3 2( 1) n+1 + - + - + - + - + - + - 5 5 9 5 5 9 5 5 9 5 5 9 5 5 9 5 5 9 1 9 9 = -3 2( 1) n+1< (n∈N*),得证. 5 + - 5 5 5 9 考点二 数列与其他知识的结合问题 例2 (2024·苏州模拟)点列,就是将点的坐标按照一定关系进行排列.过曲线C:y=x3上的点P (x ,y ) 1 1 1 作曲线C的切线l 与曲线C交于P (x ,y ),过点P 作曲线C的切线l 与曲线C交于点P (x ,y ),依此 1 2 2 2 2 2 3 3 3 类推,可得到点列:P (x ,y ),P (x ,y ),P (x ,y ),…,P (x ,y ),…,n∈N*,已知x =1. 1 1 1 2 2 2 3 3 3 n n n 1 (1)求数列{x },{y }的通项公式; n n 1 1 1 4 (2)记点P 到直线l (即直线P P )的距离为d .求证: + +…+ > . n n+1 n+1 n+2 n d d d 9 1 2 n (1)解 曲线C上点P n (x n ,y n )处的切线l n 的斜率为k n =y' x=x n =3x2 n , 故得到切线方程为y-y =3x2 (x-x ), n n n { y=x3, 联立 y- y =3x2 (x-x ), n n n y =x3, n n 消去y得x3-3x2 x+2x3 =0, n n 化简得(x-x )2(x+2x )=0, n n 所以x=x 或x=-2x , n n 由x=x 得到点P 的坐标(x ,y ), n n n n 由x=-2x 就得到点P 的坐标(-2x ,(-2x )3), n n+1 n n 所以x =-2x , n+1 n 故数列{x }是首项为1,公比为-2的等比数列, n 所以x =(-2)n-1,y =(-8)n-1. n n (2)证明 由(1)知P ((-2)n,(-8)n),P ((-2)n+1,(-8)n+1), n+1 n+2 所以直线l 的方程为 n+1 (-8) n-(-8) n+1 y-(-8)n= [x-(-2)n], (-2) n-(-2) n+1 化简得3·4nx-y-2(-8)n=0,|3·4n (-2) n-1-(-8) n-1-2(-8) n| 因为d = n √(3·4n ) 2+(-1) 2 27·8n-1 27·8n-1 = < =9·2n-3, √9·42n+1 3·22n 1 1(1) n-3 所以 > , d 9 2 n [ (1) n] 4 1- 1 1 1 1 2 8( 1 ) 8( 1) 4 所以 + +…+ > × = 1- ≥ 1- = , d 1 d 2 d n 9 1 9 2n 9 2 9 1- 2 1 1 1 4 即 + +…+ > . d d d 9 1 2 n [规律方法] 数列与函数、解析几何等的结合,通常与函数、圆锥曲线的切线相结合,利用切点或交点的 变化构造递推关系,构造等差或等比数列解决问题. x2 y2 √2 跟踪演练2 (2024·长沙市长郡中学模拟)已知椭圆E: + =1(a>b>0)的离心率e= . a2 b2 2 (1)若椭圆E过点(2,√2),求椭圆E的标准方程; (2)若直线l ,l 均过点P(p ,0)(0

0, 4 p k2 x +x = n , 1 2 1+2k2 2k2p2-2b2 x x = n , 1 2 1+2k2 { 2p k2 x = n , M 1+2k2 则 -p k y = n , M 1+2k2 2p { x = n , N k2+2 同理可得 p k y = n , N k2+2 因为M,N,Q三点共线,所以y (x -x )=(y -y )(x -t ),易知y -y ≠0, N N M N M N n N M x y -x y M N N M 则t = n y - y N M 2p k2 p k 2p -p k n · n - n · n 1+2k2 k2+2 k2+2 1+2k2 2p = = n , p k -p k 3 n - n k2+2 1+2k2 1 因为p = , n 3n 2 所以t = . n 3n+1 |1 2 | 1 1 ②结合①可知a =|PQ|=|p -t |= - = ,所以 =3n+1, n n n 3n 3n+1 3n+1 a n{1 } 所以数列 是首项为9,公比为3的等比数列, a n {1 } 9(1-3n ) 9 所以数列 的前n项和S = = (3n-1). a n 1-3 2 n 专题强化练 (分值:51分) 1.(17分)如图,对每个正整数n,A (x ,y )是抛物线x2=4y上的点,过焦点F的直线FA 交抛物线于另一点 n n n n B (s ,t ). n n n (1)试证:x s =-4(n∈N*);(6分) n n (2)取x =2n,并记C 为抛物线上分别以A 与B 为切点的两条切线的交点.试证:|FC |+|FC |+…+|FC |=2n-2- n n n n 1 2 n n+1+1.(11分) 证明 (1)对任意固定的n∈N*,因为焦点F(0,1), 所以可设直线A B 的方程为y-1=k x, n n n 将它与抛物线方程x2=4y联立得x2-4k x-4=0, n 由一元二次方程根与系数的关系得x s =-4(n∈N*). n n (2)对任意固定的n∈N*, x 利用导数知识易得抛物线x2=4y在A 处的切线的斜率k = n , n A n 2 x 故x2=4y在A 处的切线的方程为y-y = n(x-x ), ① n n 2 n 类似地,可求得x2=4y在B 处的切线的方程为 n s y-t = n(x-s ), ② n n 2 x -s x2-s2 x2 s2 由②-①得y -t =- n nx+ n n= n- n, n n 2 2 4 4 x -s x2-s2 n nx= n n, 2 4 x +s 所以x= n n , ③ 2 (x +s ) 将③代入①并注意x s =-4得交点C 的坐标为 n n,-1 . n n n 2(x +s ) 2 由两点间的距离公式得|FC |2= n n +4 n 2 x2 s2 x2 4 ( x 2 ) 2 = n+ n+2= n+ +2= n+ , 4 4 4 x2 2 x n n |x | 2 则|FC |= n + . n 2 |x | n 取x =2n,利用上述已证结论并由等比数列求和公式得 n 1 ( 1 1 1 ) |FC |+|FC |+…+|FC |= (|x |+|x |+…+|x |)+2 + +…+ 1 2 n 2 1 2 n |x | |x | |x | 1 2 n 1 (1 1 1 ) = (2+22+…+2n)+2 + +…+ =(2n-1)+(2-21-n)=2n-2-n+1+1. 2 2 22 2n 2.(17分)(2024·吉林模拟)短视频已成为当下宣传的重要手段,东北某著名景点利用短视频宣传增加旅游热 度,为调查某天南北方游客来此景点旅游是否与收看短视频有关,该景点对当天前来旅游的500名游客调 查得知,南方游客有300人,因收看短视频而来的280名游客中南方游客有200人. (1)依据调查数据完成如下列联表,根据小概率值α=0.001的独立性检验,分析南北方游客来此景点旅游是 否与收看短视频有关联;(单位:人)(7分) 游客 短视频 合计 收看 未看 南方游客 北方游客 合计(2)为了增加游客的旅游乐趣,该景点设置一款5人传球游戏,每个人得到球后都等可能地传给其余4人之 一,现有甲、乙等5人参加此游戏,球首先由甲传出. ①求经过i(i∈N*)次传递后球回到甲的概率;(4分) ②记前m(m∈N*)次传递中球传到乙的次数为X,求X的数学期望.(6分) m m n(ad-bc) 2 参考公式:χ2= ,其中n=a+b+c+d;E( Σ X)= Σ E(X). (a+b)(c+d)(a+c)(b+d) i i i=1 i=1 附表: α 0.1 0.05 0.01 0.005 0.001 x 2.706 3.841 6.635 7.879 10.828 α 解 (1)将所给数据进行整理,得到如下列联表: 游客 短视频 合计 收看 未看 南方游客 200 100 300 北方游客 80 120 200 合计 280 220 500 零假设H :南北方游客来此景点旅游与收看短视频无关联. 0 500×(200×120-80×100) 2 χ2= 300×200×280×2208 000 = ≈34.632>10.828=x , 231 0.001 根据小概率值α=0.001的独立性检验,我们推断H 不成立,即认为南北方游客来此景点旅游与收看短视频 0 有关联,此推断犯错误的概率不大于0.001. (2)①设经过i次传递后球回到甲的概率为P, i 1 1 1 P=(1-P )× =- P + (i≥2), i i-1 4 4 i-1 4 1 1( 1) P- =- P - , i 5 4 i-1 5 1 1 又P - =- ≠0, 1 5 5 { 1} 1 1 所以 P - 是首项为- ,公比为- 的等比数列, i 5 5 4 1 1( 1) i-1 所以P= - - (i∈N*). i 5 5 4 ②设第i次传递时甲接到球的次数为Y,则Y服从两点分布,E(Y)=P, i i i i 设前m次传递中球传到甲的次数为Y, m m E(Y)=E( Σ Y)= Σ E(Y) i i i=1 i=1 =P +P +P +…+P 1 2 3 m ( 1) m 1- - m 1 4 4 ( 1) m m 4 = - × = - + - , 5 5 1 25 4 5 25 1+ 4 m-E(Y) 因为E(X)= , 4 m 1 1 ( 1) m 所以E(X)= + - - . 5 25 25 4 b +c a +c 3.(17分)(2024·广州模拟)已知正项数列{a },{b }满足a = n ,b = n (其中c>0). n n n+1 2 n+1 2 (1)若a ≠b ,且a +b ≠2c,证明:数列{a -b }和{a +b -2c}均为等比数列;(5分) 1 1 1 1 n n n n (2)若a >b ,a +b =2c,以a ,b ,c为三角形三边长构造序列△A B C (其中A B =c,B C =a ,A C =b ),记 1 1 1 1 n n n n n n n n n n n n n π △A B C 的外接圆的面积为S ,证明:S > c2;(6分) n n n n n 3 (3)在(2)的条件下证明:数列{S }是递减数列.(6分) n b +c a +c 证明 (1)正项数列{a },{b }满足a = n ,b = n , n n n+1 2 n+1 21 两式相减可得a -b =- (a -b ), n+1 n+1 2 n n 因为a ≠b ,所以a -b ≠0, 1 1 1 1 1 所以{a -b }是以a -b 为首项,- 为公比的等比数列, n n 1 1 2 b +c a +c 由a = n ,b = n , n+1 2 n+1 2 1 两式相加可得a +b = (a +b )+c, n+1 n+1 2 n n 1 即a +b -2c= (a +b -2c), n+1 n+1 2 n n 因为a +b ≠2c, 1 1 1 所以a +b -2c≠0,所以{a +b -2c}是以a +b -2c为首项, 为公比的等比数列. 1 1 n n 1 1 2 (2)因为a >b ,由(1)得{a -b }是等比数列, 1 1 n n 所以a -b ≠0,即a ≠b , n n n n 1 由(1)知,a +b -2c= (a +b -2c), n+1 n+1 2 n n 因为a +b =2c,所以a +b -2c=0, 1 1 1 1 所以{a +b -2c}为常数列{0}, n n 故a +b =2c, n n a2+b2-c2 n n 由cos C = n 2a b n n (a +b ) 2 a2+b2- n n = n n 2 2a b n n 1 1 1 a2+b2- a2- b2- a b = n n 4 n 4 n 2 n n 2a b n n 3 3 1 a2+ b2- a b =4 n 4 n 2 n n 2a b n n 3( a b ) 1 = n+ n - 8 b a 4 n n 3 1 1 ≥ - = , 4 4 2 因为a ≠b ,所以等号不成立, n n1 故cos C > ,因为C ∈(0,π), n 2 n ( π) 所以C ∈ 0, , n 3 √3 所以sin C < , n 2 由正弦定理得△A B C 的外接圆的直径 n n n c c 2c 2r= >√3= , sin C √3 n 2 c πc2 所以r> ,所以S =πr2> . √3 n 3 ( 1) n-1 (3)由(1)可知,a -b =(a -b ) - , n n 1 1 2 由(2)可知,a +b =2c, n n 解得a =c+ a 1 -b 1( - 1) n-1 , n 2 2 b =c- a 1 -b 1( - 1) n-1 , n 2 2 所以a b =c2- (a 1 -b 1 ) 2 ( - 1) 2n-2 n n 4 2 =c2-(a -b ) 2(1) n , 1 1 4 a b 随着n的增大而增大, n n a2+b2-c2 又因为cos C = n n n 2a b n n (a +b ) 2-c2-2a b = n n n n 2a b n n 3c2-2a b 3c2 = n n= -1, 2a b 2a b n n n n 所以cos C 随着n的增大而减小,所以{cos C }是递减数列, n n ( π) 因为C ∈ 0, , n 3 { c } 所以{sin C }是递增数列,所以 是递减数列, n sin C n 所以数列{S }是递减数列. n