文档
办公文件
生活文档
学习资料
当前位置:
首页
>
文档
>第六周 周六淘宝店:红太阳资料库_02高考数学_2025年新高考资料_二轮复习_2025年高考数学大二轮_2025数学二轮专题复习学生用书Word版文档_每日一练_第六周
第六周 周六淘宝店:红太阳资料库_02高考数学_2025年新高考资料_二轮复习_2025年高考数学大二轮_2025数学二轮专题复习学生用书Word版文档_每日一练_第六周
2026-04-19 09:58:39
2026-04-19 09:58:39
文档预览
文档信息
文档格式
docx
文档大小
0.848 MB
文档页数
4 页
上传时间
2026-04-19 09:58:39
下载文档
文档内容
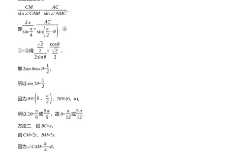
周六 π 1.(2024·惠州模拟)已知公式eix=cos x+isin x(i为虚数单位),根据此公式,i· e4 i等于( ) √2 √2 √2 √2 A. + i B.- + i 2 2 2 2 √2 √2 √2 √2 C. - i D.- - i 2 2 2 2 1 2.(2024·黄山质检)已知实数a,b分别满足ln(a+1)=0.01,eb=1.01,且c= ,则( ) 101 A.a
本文档来自网络内容,如有侵犯您的权益请联系我们删除,联系邮箱:wyl860211@qq.com。
上一篇
第六周 周六_02高考数学_2025年新高考资料_二轮复习_2025年高考数学大二轮_2025数学二轮专题复习教师用书Word版文档_每日一练_第六周
下一篇
第六周 周四_02高考数学_2025年新高考资料_二轮复习_2025年高考数学大二轮_2025数学二轮专题复习教师用书Word版文档_每日一练_第六周
最新文档
模型43电偏转模型(解析版)_04高考物理_新高考复习资料_2024新高考复习资料_二轮复习资料_2024高考物理二轮复习80模型最新模拟题专项训练_教师版(含答案解析)
模型43电偏转模型(原卷版)_04高考物理_新高考复习资料_2024新高考复习资料_二轮复习资料_2024高考物理二轮复习80模型最新模拟题专项训练
模型42电容器模型(解析版)_04高考物理_新高考复习资料_2024新高考复习资料_二轮复习资料_2024高考物理二轮复习80模型最新模拟题专项训练_教师版(含答案解析)
第六章:数列(模块综合调研卷)(A4版-教师版)_02高考数学_2025年新高考资料_一轮复习_备战2025年高考数学一轮复习考点帮_备战2025年高考数学一轮复习考点帮(新高考通用)(完结)
第六章:数列(模块综合调研卷)(A4版-学生版)_02高考数学_2025年新高考资料_一轮复习_备战2025年高考数学一轮复习考点帮_备战2025年高考数学一轮复习考点帮(新高考通用)(完结)
第六章:数列(模块综合调研卷)(A3版-学生版)_02高考数学_2025年新高考资料_一轮复习_备战2025年高考数学一轮复习考点帮_备战2025年高考数学一轮复习考点帮(新高考通用)(完结)
第六章数列(测试)(解析版)_02高考数学_新高考复习资料_2024年新高考资料_一轮复习资料_完2024年高考数学一轮复习讲练测(课件+讲义+练习)(新高考)_第六章数列
第六章数列(测试)(解析版)_02高考数学_2025年新高考资料_一轮复习_2025年高考数学一轮复习讲练测(新教材新高考,含2024高考真题)_第六章数列
第六章数列(测试)(原卷版)_02高考数学_新高考复习资料_2024年新高考资料_一轮复习资料_完2024年高考数学一轮复习讲练测(课件+讲义+练习)(新高考)_第六章数列
第六章数列(测试)(原卷版)_02高考数学_2025年新高考资料_一轮复习_2025年高考数学一轮复习讲练测(新教材新高考,含2024高考真题)_第六章数列
热门文档
第六章平面向量、复数(综合检测)一轮复习讲义2024年高考数学高频考点题型归纳与方法总结(新高考通用)解析版_02高考数学_新高考复习资料_2024年新高考资料_一轮复习资料
第六章平面向量、复数(综合检测)一轮复习讲义2024年高考数学高频考点题型归纳与方法总结(新高考通用)参考答案_02高考数学_新高考复习资料_2024年新高考资料_一轮复习资料
第六章平面向量、复数(综合检测)一轮复习讲义2024年高考数学高频考点题型归纳与方法总结(新高考通用)原卷版_02高考数学_新高考复习资料_2024年新高考资料_一轮复习资料
第六章 培优点9 新情景、新定义下的数列问题_02高考数学_2025年新高考资料_一轮复习_2025高考大一轮复习讲义+课件(完结)_2025高考大一轮复习数学(北师大版)_学生用书Word版文档
第六章 培优点9 新情景、新定义下的数列问题_02高考数学_2025年新高考资料_一轮复习_2025高考大一轮复习讲义+课件(完结)_2025高考大一轮复习数学(人教A版)_第五章~第六章
第六章 §6.6 数列中的综合问题_02高考数学_2025年新高考资料_一轮复习_2025高考大一轮复习讲义+课件(完结)_2025高考大一轮复习数学(苏教版)_学生用书Word版文档_一轮复习83练
第六章 §6.4 数列中的构造问题_02高考数学_2025年新高考资料_一轮复习_2025高考大一轮复习讲义+课件(完结)_2025高考大一轮复习数学(北师大版)_学生用书Word版文档_一轮复习83练
第六套阶段检测(二)必修第二册_03高考英语_2025年新高考资料_一轮复习_2025年高考英语人教版一轮复习单元练(含解析,含听力原文及音频)
第六套阶段检测(二)必修第二册-学生版_03高考英语_2025年新高考资料_一轮复习_2025年高考英语人教版一轮复习单元练(含解析,含听力原文及音频)
第六周 周四淘宝店:红太阳资料库_02高考数学_2025年新高考资料_二轮复习_2025年高考数学大二轮_2025数学二轮专题复习学生用书Word版文档_每日一练_第六周
随机文档
第六周 周四_02高考数学_2025年新高考资料_二轮复习_2025年高考数学大二轮_2025数学二轮专题复习教师用书Word版文档_每日一练_第六周
第六周 周六_02高考数学_2025年新高考资料_二轮复习_2025年高考数学大二轮_2025数学二轮专题复习教师用书Word版文档_每日一练_第六周
第六周 周五淘宝店:红太阳资料库_02高考数学_2025年新高考资料_二轮复习_2025年高考数学大二轮_2025数学二轮专题复习学生用书Word版文档_每日一练_第六周
第六周 周五_02高考数学_2025年新高考资料_二轮复习_2025年高考数学大二轮_2025数学二轮专题复习教师用书Word版文档_每日一练_第六周
第六周 周二淘宝店:红太阳资料库_02高考数学_2025年新高考资料_二轮复习_2025年高考数学大二轮_2025数学二轮专题复习学生用书Word版文档_每日一练_第六周
第六周 周二_02高考数学_2025年新高考资料_二轮复习_2025年高考数学大二轮_2025数学二轮专题复习教师用书Word版文档_每日一练_第六周
第六周 周三淘宝店:红太阳资料库_02高考数学_2025年新高考资料_二轮复习_2025年高考数学大二轮_2025数学二轮专题复习学生用书Word版文档_每日一练_第六周
第六周 周三_02高考数学_2025年新高考资料_二轮复习_2025年高考数学大二轮_2025数学二轮专题复习教师用书Word版文档_每日一练_第六周
第六周 周一淘宝店:红太阳资料库_02高考数学_2025年新高考资料_二轮复习_2025年高考数学大二轮_2025数学二轮专题复习学生用书Word版文档_每日一练_第六周
第六周 周一_02高考数学_2025年新高考资料_二轮复习_2025年高考数学大二轮_2025数学二轮专题复习教师用书Word版文档_每日一练_第六周