当前位置:首页>文档>第八周 周三淘宝店:红太阳资料库_02高考数学_2025年新高考资料_二轮复习_2025年高考数学大二轮_2025数学二轮专题复习学生用书Word版文档_每日一练_第八周

第八周 周三淘宝店:红太阳资料库_02高考数学_2025年新高考资料_二轮复习_2025年高考数学大二轮_2025数学二轮专题复习学生用书Word版文档_每日一练_第八周

  • 2026-04-19 09:36:30 2026-04-19 09:36:30

文档预览

第八周 周三淘宝店:红太阳资料库_02高考数学_2025年新高考资料_二轮复习_2025年高考数学大二轮_2025数学二轮专题复习学生用书Word版文档_每日一练_第八周
第八周 周三淘宝店:红太阳资料库_02高考数学_2025年新高考资料_二轮复习_2025年高考数学大二轮_2025数学二轮专题复习学生用书Word版文档_每日一练_第八周
第八周 周三淘宝店:红太阳资料库_02高考数学_2025年新高考资料_二轮复习_2025年高考数学大二轮_2025数学二轮专题复习学生用书Word版文档_每日一练_第八周
第八周 周三淘宝店:红太阳资料库_02高考数学_2025年新高考资料_二轮复习_2025年高考数学大二轮_2025数学二轮专题复习学生用书Word版文档_每日一练_第八周
第八周 周三淘宝店:红太阳资料库_02高考数学_2025年新高考资料_二轮复习_2025年高考数学大二轮_2025数学二轮专题复习学生用书Word版文档_每日一练_第八周
第八周 周三淘宝店:红太阳资料库_02高考数学_2025年新高考资料_二轮复习_2025年高考数学大二轮_2025数学二轮专题复习学生用书Word版文档_每日一练_第八周

文档信息

文档格式
docx
文档大小
1.641 MB
文档页数
3 页
上传时间
2026-04-19 09:36:30

文档内容

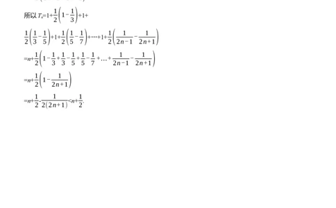
周三 1 1 1.(2024·南通调研)设x>0,y>0, +2y=2,则x+ 的最小值为( ) x y 3 A. B.2√2 2 3 C. +√2 D.3 2 x 2.(2024·安阳模拟)已知函数f(x)= ,其中A,B是锐角△ABC的两个内角,则下列结论一定正确的是( sinx ) A.f(sin A)>f(sin B) B.f(cos A)>f(cos B) C.f(cos A)>f(sin B) D.f(sin A)>f(cos B) 3.(多选)(2024·葫芦岛模拟)在正四棱台ABCD-A B C D 中,AB=3A B =6,AA =4,点P为棱BB 上的动点(含 1 1 1 1 1 1 1 1 端点),则下列结论正确的是( ) A.四棱台ABCD-A B C D 的表面积是40+32√3 1 1 1 1 104√2 B.四棱台ABCD-A B C D 的体积是 1 1 1 1 3 C.AP+PC 的最小值为2√13 1 D.AP+PC的最小值为6√3 4.(2024·焦作模拟)大约在公元222年,赵爽为《周髀算经》一书作注时介绍了“勾股圆方图”,即“赵爽 弦图”.如图是某同学绘制的赵爽弦图,其中四边形ABCD,EFGH均为正方形,AD=AE=2,则⃗FB·⃗AH= . 5.(2024·丽水模拟)设等差数列{a }的公差为d,记S 是数列{a }的前n项和,若S =a +20,S =a a a . n n n 5 3 15 2 3 8 (1)求数列{a }的通项公式; n 4S 1 (2)若d>0,b = n (n∈N*),数列{b }的前n项和为T ,求证:T 0, 所以a =2n-1, n(1+2n-1)n 则S = =n2, n 2 4S 4n2 n 则b = = n a a (2n-1)(2n+1) n n+1 4n2-1+1 = (2n-1)(2n+1) 1 =1+ (2n-1)(2n+1) 1( 1 1 ) =1+ - , 2 2n-1 2n+1 1( 1) 所以T =1+ 1- +1+ n 2 3 1(1 1) 1(1 1) 1( 1 1 ) - +1+ - +…+1+ - 2 3 5 2 5 7 2 2n-1 2n+1 1( 1 1 1 1 1 1 1 ) =n+ 1- + - + - +…+ - 2 3 3 5 5 7 2n-1 2n+1 1( 1 ) =n+ 1- 2 2n+1 1 1 1 =n+ -