当前位置:首页>文档>第八周 周二淘宝店:红太阳资料库_2025年新高考资料_二轮复习_2025年高考数学大二轮_2025数学二轮专题复习学生用书Word版文档_每日一练_第八周

第八周 周二淘宝店:红太阳资料库_2025年新高考资料_二轮复习_2025年高考数学大二轮_2025数学二轮专题复习学生用书Word版文档_每日一练_第八周

  • 2026-04-20 23:44:30 2026-04-20 23:44:30

文档预览

第八周 周二淘宝店:红太阳资料库_2025年新高考资料_二轮复习_2025年高考数学大二轮_2025数学二轮专题复习学生用书Word版文档_每日一练_第八周
第八周 周二淘宝店:红太阳资料库_2025年新高考资料_二轮复习_2025年高考数学大二轮_2025数学二轮专题复习学生用书Word版文档_每日一练_第八周
第八周 周二淘宝店:红太阳资料库_2025年新高考资料_二轮复习_2025年高考数学大二轮_2025数学二轮专题复习学生用书Word版文档_每日一练_第八周
第八周 周二淘宝店:红太阳资料库_2025年新高考资料_二轮复习_2025年高考数学大二轮_2025数学二轮专题复习学生用书Word版文档_每日一练_第八周
第八周 周二淘宝店:红太阳资料库_2025年新高考资料_二轮复习_2025年高考数学大二轮_2025数学二轮专题复习学生用书Word版文档_每日一练_第八周
第八周 周二淘宝店:红太阳资料库_2025年新高考资料_二轮复习_2025年高考数学大二轮_2025数学二轮专题复习学生用书Word版文档_每日一练_第八周
第八周 周二淘宝店:红太阳资料库_2025年新高考资料_二轮复习_2025年高考数学大二轮_2025数学二轮专题复习学生用书Word版文档_每日一练_第八周
第八周 周二淘宝店:红太阳资料库_2025年新高考资料_二轮复习_2025年高考数学大二轮_2025数学二轮专题复习学生用书Word版文档_每日一练_第八周
第八周 周二淘宝店:红太阳资料库_2025年新高考资料_二轮复习_2025年高考数学大二轮_2025数学二轮专题复习学生用书Word版文档_每日一练_第八周

文档信息

文档格式
docx
文档大小
0.047 MB
文档页数
5 页
上传时间
2026-04-20 23:44:30

文档内容

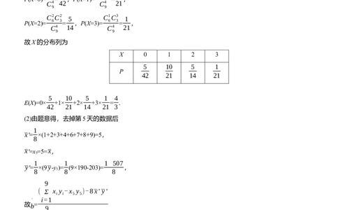
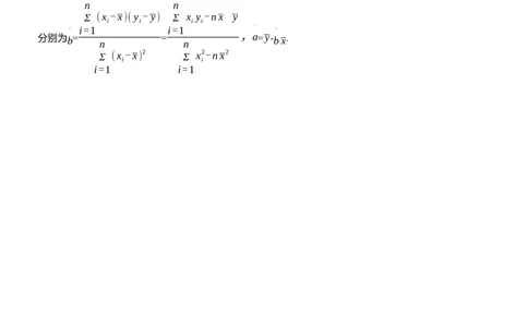
周二 1.(2024·淮北质检)某次考试一共5道判断题,有三名考生参加考试,每人均答对4道题,答错一道题,三 人回答具体情况记录如下: 题号 1 2 3 4 5 考生甲 T F F F T 考生乙 T T F T T 考试丙 F F F T T 则这5道题的正确答案依次为( ) A.FFFTT B.FTFTT C.TFFTF D.TFFTT bsinB (c-a)sinC 2.(2024·菏泽模拟)在△ABC中,内角A,B,C所对的边分别为a,b,c,且 -a= ,延长 sin A sin A BC至点D,使得BC=CD,若AD=2√3,AB=2,则a等于( ) A.1 B.√3 C.2 D.3 3.(多选)(2024·齐齐哈尔模拟)已知函数f(x)的定义域为R,设g(x)为f(x)的导函数,f(x+y)+f(x-y)=f(x)f(1-y), f(1)≠0,f(2)=0,则( ) A.f(1)=2 B.g(1)=0 C.g(x)是奇函数 D.f(x-1)+f(x+2 025)=0 4.(2024·马鞍山质检)已知不等式(x+1)2≤λ(x2+1)(x2-2x+5)对任意x∈R恒成立,则实数λ的取值范围是 . 5.(2024·常德模拟)某市组织宣传小分队进行法律法规宣传,某宣传小分队记录了前9天每天普及的人数, 得到下表: 时间x(天) 1 2 3 4 5 6 7 8 9 每天普及的人数y 80 98 129 150 203 190 258 292 310 (1)从这9天的数据中任选4天的数据,以X表示4天中每天普及人数不少于240的天数,求X的分布列和 数学期望; (2)由于统计人员的疏忽,第5天的数据统计有误,如果去掉第5天的数据,试用剩下的数据求出每天普及 的人数y关于天数x的经验回归方程.9 1 参考数据及公式:y= Σ y=190, 9 i i=1 9 9 Σ (x -x) 2 =60, Σ (y - y) 2 =55 482, i i i=1 i=1 9 Σ (x-x)(y-y)=1 800; i i i=1 ^ ^ ^ 对于一组数据(x 1 ,y 1 ),(x 2 ,y 2 ),…,(x n ,y n ),其经验回归直线y=bx+a的斜率和截距的最小二乘估计公式 n n Σ (x -x)(y - y) Σ x y -nx y i i i i ^ i=1 i=1 ^ ^ 分别为b= = ,a=y-bx. n n Σ (x -x) 2 Σ x2-nx2 i i i=1 i=1答案精析 1.D 2.C 3.ABD [1 ) 4. ,+∞ 2 解析 因为(x+1)2≤λ(x2+1)(x2-2x+5), 且x2+1>0,x2-2x+5>0, (x+1) 2 可得 ≤λ对任意x∈R恒成立, (x2+1)(x2-2x+5) 令x+1=t,则x=t-1, 若x=-1,则t=0, (x+1) 2 可得 =0, (x2+1)(x2-2x+5) 若x≠-1,则t≠0, (x+1) 2 可得 (x2+1)(x2-2x+5) t2 = [(t-1) 2+1][(t-1) 2-2(t-1)+5] t2 = t4-6t3+18t2-24t+16 1 = 16 24 t2+ -6t- +18 t2 t 1 =( 4 ) 2 , t+ -3 +1 t 4 由对勾函数u=t+ 可知u≥4或u≤-4, t 4 4 则t+ -3≥1或t+ -3≤-7, t t ( 4 ) 2 可得 t+ -3 ≥1, t (x+1) 2 则 (x2+1)(x2-2x+5)1 =( 4 ) 2 ∈ ( 0, 1] , t+ -3 +1 2 t (x+1) 2 [ 1] 综上所述, ∈ 0, , (x2+1)(x2-2x+5) 2 (x+1) 2 1 1 [1 ) 即 的最大值为 ,则λ≥ ,所以实数λ的取值范围是 ,+∞ . (x2+1)(x2-2x+5) 2 2 2 5.解 (1)每天普及人数不少于240的天数为3,则X的所有可能取值为0,1,2,3, C4 5 C3C1 10 6 6 3 P(X=0)= = ,P(X=1)= = , C4 42 C4 21 9 9 C2C2 5 C1C3 1 6 3 6 3 P(X=2)= = ,P(X=3)= = , C4 14 C4 21 9 9 故X的分布列为 X 0 1 2 3 5 10 5 1 P 42 21 14 21 5 10 5 1 4 E(X)=0× +1× +2× +3× = . 42 21 14 21 3 (2)由题意得,去掉第5天的数据后 1 x'= ×(1+2+3+4+6+7+8+9)=5, 8 x'=x =5=x, 5 1 1 1 507 y'= ×(9y-y )= (9×190-203)= , 8 5 8 8 9 ( Σ x y -x y )-8x' y' i i 5 5 ^ i=1 故b= 9 Σ (x -x) 2-(x -x') 2 i 5 i=1 9 9 y- y ( Σ x y -x y )-8x'· 5 i i 5 5 8 i=1 = 9 Σ (x -x) 2 i i=19 Σ x y -x y -9x' y+x' y i i 5 5 5 i=1 = 9 Σ (x -x) 2 i i=1 9 Σ x y -9x y i i i=1 = 9 Σ (x -x) 2 i i=1 1 800 = =30, 60 ^ ^ 1 507 307 a =y'- bx '= -30×5= , 8 8 ^ 307 所以每天普及的人数y关于天数x的经验回归方程为y=30x+ . 8