当前位置:首页>文档>第七周 周二_02高考数学_2025年新高考资料_二轮复习_2025年高考数学大二轮_2025数学二轮专题复习学生用书Word版文档_每日一练_第七周

第七周 周二_02高考数学_2025年新高考资料_二轮复习_2025年高考数学大二轮_2025数学二轮专题复习学生用书Word版文档_每日一练_第七周

  • 2026-04-19 07:16:09 2026-04-19 07:16:09

文档预览

第七周 周二_02高考数学_2025年新高考资料_二轮复习_2025年高考数学大二轮_2025数学二轮专题复习学生用书Word版文档_每日一练_第七周
第七周 周二_02高考数学_2025年新高考资料_二轮复习_2025年高考数学大二轮_2025数学二轮专题复习学生用书Word版文档_每日一练_第七周
第七周 周二_02高考数学_2025年新高考资料_二轮复习_2025年高考数学大二轮_2025数学二轮专题复习学生用书Word版文档_每日一练_第七周
第七周 周二_02高考数学_2025年新高考资料_二轮复习_2025年高考数学大二轮_2025数学二轮专题复习学生用书Word版文档_每日一练_第七周
第七周 周二_02高考数学_2025年新高考资料_二轮复习_2025年高考数学大二轮_2025数学二轮专题复习学生用书Word版文档_每日一练_第七周
第七周 周二_02高考数学_2025年新高考资料_二轮复习_2025年高考数学大二轮_2025数学二轮专题复习学生用书Word版文档_每日一练_第七周

文档信息

文档格式
docx
文档大小
0.839 MB
文档页数
3 页
上传时间
2026-04-19 07:16:09

文档内容

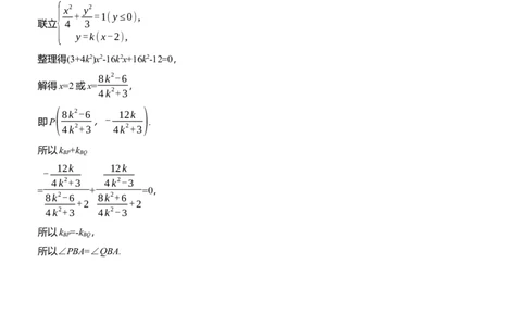
周二 1.(2024·德州模拟)已知复数z满足(1-i)z=3+i,则z在复平面内对应的点位于( ) A.第一象限 B.第二象限 C.第三象限 D.第四象限 2.某软件研发公司对某软件进行升级,主要是软件程序中的某序列A={a ,a ,a ,…}重新编辑,编辑新 1 2 3 {a a a } a 序列为A*= 2, 3, 4,… ,它的第n项为 n+1,若序列(A*)*的所有项都是3,且a =1,a =27,则a a a a a 5 6 1 1 2 3 n 等于( ) 1 1 A. B. 9 27 1 1 C. D. 81 243 3.(多选)(2024·晋城模拟)已知函数f(x)=x2ex+ln x,则( ) e A.“x>1”是“f(x)>e-x+ln ”的充要条件 x e B.“x>1”是“f(x)>e-x+ln ”的充分不必要条件 x C.当f(x)=(e2-1)x+2时,x+ln x=2 D.当f(x)=(e2-1)x+2时,x+ln x=e 4.(2024·梅州模拟)某中学1 500名同学参加一分钟跳绳测试,经统计,成绩X近似服从正态分布N(150, σ2),已知成绩大于170次的有300人,则可估计该校一分钟跳绳成绩X在130~150次之间的人数约为 . x2 y2 x2 y2 5.(2024·浙江91 联盟模拟)如图,由部分椭圆 + =1(a>b>0,y≤0)和部分双曲线 - =1(y≥0)组成的曲 a2 b2 a2 b2 √7 线C称为“盆开线”.曲线C与x轴有A(2,0),B(-2,0)两个交点,且椭圆与双曲线的离心率之积为 . 4 (1)设过点(1,0)的直线l与C相切于点M,求点M的坐标及直线l的方程; (2)过点A的直线m与C相交于P,A,Q三点,求证:∠PBA=∠QBA.答案精析 1.D 2.A 3.AC 4.450 解析 由题意可知 300 P(X>170)= =0.2, 1 500 又因为X~N(150,σ2), 所以P(130≤X≤150)=P(150≤X≤170)=0.5-P(X>170) =0.5-0.2=0.3, 所以跳绳成绩X在130~150次之间的人数约为1 500×0.3=450. √a2+b2 √a2-b2 √7 5.(1)解 由题设可得 × = ,a=2,解得b=√3, a a 4 x2 y2 故椭圆方程为 + =1(y≤0), 4 3 x2 y2 双曲线方程为 - =1(y≥0). 4 3 x2 y2 由图可知,切点M在双曲线 - =1(y≥0)上. 4 3 设M(x ,y ), 0 0 3x 0 则切线l的斜率为 , 4 y 0 x x y y 则切线l的方程为 0 - 0 =1, 4 3 因为直线l过点(1,0),所以x =4, 0 x2 y2 将x =4代入 - =1(y≥0), 0 4 3 得y =3, 0 所以M(4,3),直线l的方程为x-y-1=0. (2)证明 由题意可得直线m的斜率存在且不为零,故设直线m的方程为y=k(x-2), {x2 y2 - =1(y≥0), 联立 4 3 y=k(x-2), 整理得(3-4k2)x2+16k2x-16k2-12=0,{Δ=256k4-4(3-4k2 )· (-16k2-12)>0, 3-4k2≠0, √3 √3 即k≠ 且k≠- , 2 2 8k2+6 解得x=2或x= , 4k2-3 (8k2+6 12k ) 即Q , . 4k2-3 4k2-3 {x2 y2 + =1(y≤0), 联立 4 3 y=k(x-2), 整理得(3+4k2)x2-16k2x+16k2-12=0, 8k2-6 解得x=2或x= , 4k2+3 (8k2-6 12k ) 即P ,- . 4k2+3 4k2+3 所以k +k BP BQ 12k 12k - 4k2+3 4k2-3 = + =0, 8k2-6 8k2+6 +2 +2 4k2+3 4k2-3 所以k =-k , BP BQ 所以∠PBA=∠QBA.