当前位置:首页>文档>第二周 周三_02高考数学_2025年新高考资料_二轮复习_2025年高考数学大二轮_2025数学二轮专题复习教师用书Word版文档_每日一练_第二周

第二周 周三_02高考数学_2025年新高考资料_二轮复习_2025年高考数学大二轮_2025数学二轮专题复习教师用书Word版文档_每日一练_第二周

  • 2026-04-19 08:15:09 2026-04-19 08:15:09

文档预览

第二周 周三_02高考数学_2025年新高考资料_二轮复习_2025年高考数学大二轮_2025数学二轮专题复习教师用书Word版文档_每日一练_第二周
第二周 周三_02高考数学_2025年新高考资料_二轮复习_2025年高考数学大二轮_2025数学二轮专题复习教师用书Word版文档_每日一练_第二周
第二周 周三_02高考数学_2025年新高考资料_二轮复习_2025年高考数学大二轮_2025数学二轮专题复习教师用书Word版文档_每日一练_第二周
第二周 周三_02高考数学_2025年新高考资料_二轮复习_2025年高考数学大二轮_2025数学二轮专题复习教师用书Word版文档_每日一练_第二周
第二周 周三_02高考数学_2025年新高考资料_二轮复习_2025年高考数学大二轮_2025数学二轮专题复习教师用书Word版文档_每日一练_第二周
第二周 周三_02高考数学_2025年新高考资料_二轮复习_2025年高考数学大二轮_2025数学二轮专题复习教师用书Word版文档_每日一练_第二周
第二周 周三_02高考数学_2025年新高考资料_二轮复习_2025年高考数学大二轮_2025数学二轮专题复习教师用书Word版文档_每日一练_第二周
第二周 周三_02高考数学_2025年新高考资料_二轮复习_2025年高考数学大二轮_2025数学二轮专题复习教师用书Word版文档_每日一练_第二周

文档信息

文档格式
docx
文档大小
1.361 MB
文档页数
4 页
上传时间
2026-04-19 08:15:09

文档内容

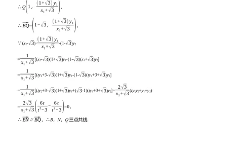
周三 1.(2024·海口调研)已知b>0,设甲:a-b>1,乙:√a-√b>1,则甲是乙的( ) A.充分不必要条件 B.必要不充分条件 C.充要条件 D.既不充分也不必要条件 答案 B 解析 不妨设a=3,b=1,满足a-b>1,此时√a-√b=√3-1<1,充分性不成立, √a-√b>1 √a>√b+1,两边平方得a>1+b+2√b, 又b>0,故⇒a-b>1+2√b>1,必要性成立, 故甲是乙的必要不充分条件. 1 4 2.(2024·荆州适应性考试)已知随机变量ξ~N(1,σ2),且P(ξ≤0)=P(ξ≥a),则 + (00),则AC2=x2+4=y2+2,又tan∠DAB=tan 135°=tan(∠DAC+∠BAC) tan∠DAC+tan∠BAC = =-1, 1-tan∠DACtan∠BAC x y + 2 √2 即 =-1, x y 1- · 2 √2 即xy-2√2=√2x+2y, 即(x-2)(y-√2)=4√2,显然x≠2, 4√2 4√2 则y-√2= ,即y= +√2, x-2 x-2 2 (4√2 ) 又x2+2=y2,所以x2+2= +√2 , x-2 整理得x3-4x2+4x-16=0, 即(x-4)(x2+4)=0,解得x=4,所以y=3√2, 1 所以S = (AB·BC+AD·DC) 四边形ABCD 2 1 = ×(2×4+√2×3√2)=7. 2 x2 y2 5.(2024·太原模拟)已知双曲线C: - =1(a>0,b>0)的左、右顶点分别为A 与 B,点D(3,√2) 在C上, a2 b2 且直线AD与BD的斜率之和为√2 . (1)求双曲线C的方程; (2)过点P(3,0)的直线与C交于M,N两点(均异于点A,B),直线MA与直线x=1交于点Q,求证: B, N,Q三点共线. 9 2 { - =1, a2 b2 (1)解 由题意得A(-a,0),B(a,0),且 √2 √2 + =√2, 3+a 3-a {a2=3, x2 ∴ ∴双曲线C的方程为 -y2=1. b2=1, 3 (2)证明 由 (1) 得A(-√3,0),B(√3,0), 设直线 MN的方程为x=ty+3(t≠±√3),M(x ,y ),N(x ,y ), 1 1 2 2 则⃗BN=(x -√3,y ), 2 2{ x=ty+3, 由 x2 得(t2-3)y2+6ty+6=0, - y2=1, 3 6t 6 ∴y +y =- ,y y = , 1 2 t2-3 1 2 t2-3 y 1 直线 AM的方程为y= (x+√3), x +√3 1 y 1 令 x=1,则y= (1+√3), x +√3 1 ( (1+√3)y ) ∴Q 1, 1 , x +√3 1 ( (1+√3)y ) ∴⃗BQ= 1-√3, 1 , x +√3 1 (1+√3)y ∵(x -√3)· 1 -(1-√3)y 2 x +√3 2 1 1 = [(x -√3)(1+√3)y -(1-√3)(x +√3)y ] x +√3 2 1 1 2 1 1 = [(ty +3-√3)(1+√3)y -(1-√3)(ty +3+√3)y ] x +√3 2 1 1 2 1 1 2√3 = [(ty +3-√3)(1+√3)y +(√3-1)(ty +3+√3)y ]= (ty y +y +y ) x +√3 2 1 1 2 x +√3 1 2 1 2 1 1 2√3 ( 6t 6t ) - = =0, x +√3 t2-3 t2-3 1 ∴⃗BN∥⃗BQ,∴B,N,Q三点共线.