当前位置:首页>文档>专题三 微创新 数列与其他知识的综合问题_02高考数学_2025年新高考资料_二轮复习_2025年高考数学大二轮_2025数学二轮专题复习学生用书Word版文档_专题复习_专题三 数列

专题三 微创新 数列与其他知识的综合问题_02高考数学_2025年新高考资料_二轮复习_2025年高考数学大二轮_2025数学二轮专题复习学生用书Word版文档_专题复习_专题三 数列

  • 2026-04-14 08:32:20 2026-04-14 08:06:21

文档预览

专题三 微创新 数列与其他知识的综合问题_02高考数学_2025年新高考资料_二轮复习_2025年高考数学大二轮_2025数学二轮专题复习学生用书Word版文档_专题复习_专题三 数列
专题三 微创新 数列与其他知识的综合问题_02高考数学_2025年新高考资料_二轮复习_2025年高考数学大二轮_2025数学二轮专题复习学生用书Word版文档_专题复习_专题三 数列
专题三 微创新 数列与其他知识的综合问题_02高考数学_2025年新高考资料_二轮复习_2025年高考数学大二轮_2025数学二轮专题复习学生用书Word版文档_专题复习_专题三 数列
专题三 微创新 数列与其他知识的综合问题_02高考数学_2025年新高考资料_二轮复习_2025年高考数学大二轮_2025数学二轮专题复习学生用书Word版文档_专题复习_专题三 数列
专题三 微创新 数列与其他知识的综合问题_02高考数学_2025年新高考资料_二轮复习_2025年高考数学大二轮_2025数学二轮专题复习学生用书Word版文档_专题复习_专题三 数列
专题三 微创新 数列与其他知识的综合问题_02高考数学_2025年新高考资料_二轮复习_2025年高考数学大二轮_2025数学二轮专题复习学生用书Word版文档_专题复习_专题三 数列
专题三 微创新 数列与其他知识的综合问题_02高考数学_2025年新高考资料_二轮复习_2025年高考数学大二轮_2025数学二轮专题复习学生用书Word版文档_专题复习_专题三 数列
专题三 微创新 数列与其他知识的综合问题_02高考数学_2025年新高考资料_二轮复习_2025年高考数学大二轮_2025数学二轮专题复习学生用书Word版文档_专题复习_专题三 数列
专题三 微创新 数列与其他知识的综合问题_02高考数学_2025年新高考资料_二轮复习_2025年高考数学大二轮_2025数学二轮专题复习学生用书Word版文档_专题复习_专题三 数列
专题三 微创新 数列与其他知识的综合问题_02高考数学_2025年新高考资料_二轮复习_2025年高考数学大二轮_2025数学二轮专题复习学生用书Word版文档_专题复习_专题三 数列
专题三 微创新 数列与其他知识的综合问题_02高考数学_2025年新高考资料_二轮复习_2025年高考数学大二轮_2025数学二轮专题复习学生用书Word版文档_专题复习_专题三 数列
专题三 微创新 数列与其他知识的综合问题_02高考数学_2025年新高考资料_二轮复习_2025年高考数学大二轮_2025数学二轮专题复习学生用书Word版文档_专题复习_专题三 数列
专题三 微创新 数列与其他知识的综合问题_02高考数学_2025年新高考资料_二轮复习_2025年高考数学大二轮_2025数学二轮专题复习学生用书Word版文档_专题复习_专题三 数列

文档信息

文档格式
docx
文档大小
0.978 MB
文档页数
9 页
上传时间
2026-04-14 08:06:21

文档内容

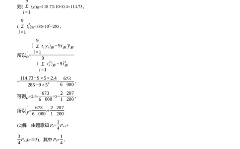
微创新 数列与其他知识的综合问题 [考情分析] 新高考下数列与其他知识的综合问题是高考的热点,也是各地模拟考试热点,经常以压轴大 题的形式出现,一般难度较大,考查的范围较广.数列常与概率、函数、解析几何相结合,也可以与集合、 解三角形、立体几何相结合.在学习过程中,对综合运用各种知识技能解题的灵活性要求有所加强,应予以 重视. 考点一 数列与概率统计结合 例1 [数列收敛]龙泉游泳馆为给顾客更好的体验,推出了A和B两个套餐服务,顾客可选择A和B两 个套餐之一,并在App平台上推出了优惠券活动,下表是该游泳馆在App平台10天销售优惠券情况. 日期t 1 2 3 4 5 6 7 8 9 10 2.4 2.7 销售量y (千张) 1.9 1.98 2.2 2.36 2.592.68 2.7 0.4 3 6 10 10 10 1 经计算可得y= Σ y=2.2, Σ ty=118.73, Σ t2 =385. 10 i i i i i=1 i=1 i=1 (1)因为优惠券购买火爆,App平台在第10天时系统出现异常,导致当天顾客购买优惠券数量大幅减少, 已知销售量y和日期t呈线性关系,现剔除第10天数据,求y关于t的经验回归方程(结果中的数值用分 数表示); 1 3 (2)若购买优惠券的顾客选择A套餐的概率为 ,选择B套餐的概率为 ,并且A套餐只可使用一张 4 4 优惠券,B套餐只可使用两张优惠券,记App平台累计销售优惠券为n(n∈N*)张的概率为P ,求P ; n n (3)记(2)中所得概率P 的值构成数列{P }(n∈N*). n n ①求数列{P }的最值; n ②数列收敛的定义:已知数列{a },若对于任意给定的正数ε,总存在正整数N ,使得当n>N 时,|a - n 0 0 n a|<ε(a是一个确定的实数),则称数列{a }收敛于a.根据数列收敛的定义,证明数列{P }收敛. n n n n Σ (x -x)(y - y) Σ x y -nx y i i i i ^ i=1 i=1 ^ ^ 参考公式:b= = ,a=y-bx. n n Σ (x -x) 2 Σ x2-nx2 i i i=1 i=1[规律方法] 数列与概率相结合出现的频率较高,一般是根据题干得到数列的递推关系式,结合数列的相 关知识进行求解,多通过构造的方法转化为等差、等比数列问题求解,求解过程中灵活运用数列的性质, 准确应用相关的数列知识. 跟踪演练1 (2024·苏州模拟)现有甲、乙两个盒子中都有大小、质地相同的2个红球和1个黑球.从两个 盒子中各任取一个球交换,记为一次操作.重复进行n(n∈N*)次操作后,记甲盒子中黑球个数为X ,甲 n 盒中恰有1个黑球的概率为a ,恰有2个黑球的概率为b . n n (1)求随机变量X 的分布列; 1 (2)求数列{a }的通项公式; n n 6-10a 9 i (3)求证: Σ < (n∈N*). 9a a 5 i=1 i i+1 考点二 数列与其他知识的结合问题 例2 (2024·苏州模拟)点列,就是将点的坐标按照一定关系进行排列.过曲线C:y=x3上的点P (x ,y ) 1 1 1 作曲线C的切线l 与曲线C交于P (x ,y ),过点P 作曲线C的切线l 与曲线C交于点P (x ,y ),依此 1 2 2 2 2 2 3 3 3 类推,可得到点列:P (x ,y ),P (x ,y ),P (x ,y ),…,P (x ,y ),…,n∈N*,已知x =1. 1 1 1 2 2 2 3 3 3 n n n 1 (1)求数列{x },{y }的通项公式; n n 1 1 1 4 (2)记点P 到直线l (即直线P P )的距离为d .求证: + +…+ > . n n+1 n+1 n+2 n d d d 9 1 2 n [规律方法] 数列与函数、解析几何等的结合,通常与函数、圆锥曲线的切线相结合,利用切点或交点的 变化构造递推关系,构造等差或等比数列解决问题. x2 y2 √2 跟踪演练2 (2024·长沙市长郡中学模拟)已知椭圆E: + =1(a>b>0)的离心率e= . a2 b2 2 (1)若椭圆E过点(2,√2),求椭圆E的标准方程; (2)若直线l ,l 均过点P(p ,0)(0

单调递减, n 7 7 4 7 13 最大值为P = ; 2 16 4 3(3) n 4 1 当n 为奇数时,P = - < 单调递增,最小值为P = . n 7 7 4 7 1 4 13 1 综上,数列{P }的最大值为 ,最小值为 . n 16 4 [ 7ε] ②证明 对任意ε>0,总存在正整数N 0 = log 3 3 +1(其中[x]表示取整数), 4 使得当n>N 时, 0 | 4| |3( 3) n| P - = - n 7 7 4 = |3(3) n| < 3(3)log 3 4 7 3 ε =ε, 7 4 7 4 所以数列{P }收敛. n 跟踪演练1 (1)解 由题可知X 的可能取值为0,1,2, 1 根据题意得,X =0即为甲盒中拿黑球乙盒中拿红球交换,X =1即为甲盒中拿黑球乙盒中拿黑球交换或甲盒 1 1 1 2 2 中拿红球乙盒中拿红球交换,X =2即为甲盒中拿红球乙盒中拿黑球交换,则P(X =0)= × = , 1 1 3 3 9 1 1 2 2 5 P(X =1)= × + × = , 1 3 3 3 3 9 2 1 2 P(X =2)= × = , 1 3 3 9X 的分布列为 1 X 0 1 2 1 2 5 2 P 9 9 9 (2)解 由全概率公式可知 P(X =1)=P(X =1)P(X =1|X =1)+P(X =2)P(X =1|X =2)+P(X =0)P(X =1|X =0) n+1 n n+1 n n n+1 n n n+1 n (1 1 2 2) (2 ) ( 2) = × + × P(X =1)+ ×1 P(X =2)+ 1× P(X =0) 3 3 3 3 n 3 n 3 n 5 2 = P(X =1)+ P(X =2)+ 9 n 3 n 2 P(X =0), 3 n 5 2 2 即a = a + b + (1-a -b ), n+1 9 n 3 n 3 n n 1 2 即a =- a + , n+1 9 n 3 3 1( 3) a - =- a - , n+1 5 9 n 5 5 又a =P(X =1)= , 1 1 9 { 3} 3 2 所以数列 a - 是以a - =- 为首项, n 5 1 5 45 1 - 为公比的等比数列, 9 3 ( 2 ) ( 1) n-1 a - = - × - n 5 45 9 2( 1) n = - ,即{a }的通项公式为 5 9 n 3 2( 1) n a = + - . n 5 5 9 6-10a i (3)证明 因为 = 9a a i i+1 [3 2( 1) i] 6-10 + - 5 5 9 [3 2( 1) i][3 2( 1) i+1] 9 + - + - 5 5 9 5 5 9( 1) i -4 - 9 = [3 2( 1) i][3 2( 1) i+1] 9 + - + - 5 5 9 5 5 9 1 1 =3 2( 1) i-3 2( 1) i+1 , + - + - 5 5 9 5 5 9 n 6-10a i 所以 Σ 9a a i=1 i i+1 1 1 =3 2( 1) 1-3 2( 1) 2 + - + - 5 5 9 5 5 9 1 1 +3 2( 1) 2-3 2( 1) 3 + - + - 5 5 9 5 5 9 1 +…+3 2( 1) n - + - 5 5 9 1 3 2( 1) n+1 + - 5 5 9 1 9 = -3 2( 1) n+1 5 + - 5 5 9 9 < (n∈N*),得证. 5 例2 (1)解 曲线C上点P n (x n ,y n )处的切线l n 的斜率为k n =y' x=x n =3x2 n ,故得到切线方程为y-y n =3x2 n (x-x n ), { y=x3, 联立 y- y =3x2 (x-x ), n n n y =x3, n n 消去y得x3-3x2 x+2x3 =0, n n 化简得(x-x )2(x+2x )=0, n n 所以x=x 或x=-2x , n n 由x=x 得到点P 的坐标(x ,y ), n n n n 由x=-2x 就得到点P 的坐标(-2x ,(-2x )3), n n+1 n n 所以x =-2x , n+1 n 故数列{x }是首项为1,公比为-2的等比数列, n所以x =(-2)n-1,y =(-8)n-1. n n (2)证明 由(1)知P ((-2)n, n+1 (-8)n),P ((-2)n+1,(-8)n+1), n+2 所以直线l 的方程为 n+1 (-8) n-(-8) n+1 y-(-8)n= [x-(-2)n], (-2) n-(-2) n+1 化简得3·4nx-y-2(-8)n=0, 因为d = n |3·4n (-2) n-1-(-8) n-1-2(-8) n| √(3·4n ) 2+(-1) 2 27·8n-1 27·8n-1 = < √9·42n+1 3·22n =9·2n-3, 1 1(1) n-3 所以 > , d 9 2 n [ (1) n] 4 1- 1 1 1 1 2 8( 1 ) 所以 + +…+ > × = 1- d 1 d 2 d n 9 1 9 2n 1- 2 8( 1) 4 ≥ 1- = , 9 2 9 1 1 1 4 即 + +…+ > . d d d 9 1 2 n c √2 跟踪演练2 解 (1)因为e= = ,a2=b2+c2,所以a2=2b2, a 2 x2 y2 所以椭圆E的方程为 + =1, 2b2 b2 因为椭圆E过点(2,√2), 4 2 所以 + =1,解得b2=4, 2b2 b2 x2 y2 所以椭圆E的方程为 + =1. 8 4 (2)①当直线l ,l 中一条直线的斜率不存在,另一条直线的斜率为0时,直线MN与x轴重合,不符合题意. 1 2故直线l ,l 的斜率均存在且不为0. 1 2 设直线l 的方程为y=k(x-p )(k≠0),A(x ,y ),B(x ,y ),M(x ,y ),N(x ,y ), 1 n 1 1 2 2 M M N N { x2 y2 + =1, 联立 2b2 b2 y=k(x-p ), n 消去y并整理得(1+2k2)x2-4k2p x+2k2p2 -2b2=0, n n 因为直线与椭圆相交于两个不同的点,所以Δ>0, 4 p k2 x +x = n , 1 2 1+2k2 2k2p2-2b2 x x = n , 1 2 1+2k2 { 2p k2 x = n , M 1+2k2 则 -p k y = n , M 1+2k2 2p { x = n , N k2+2 同理可得 p k y = n , N k2+2 因为M,N,Q三点共线,所以y (x -x )=(y -y )(x -t ), N N M N M N n 易知y -y ≠0, N M x y -x y M N N M 则t = n y - y N M 2p k2 p k 2p -p k n · n - n · n 1+2k2 k2+2 k2+2 1+2k2 2p = = n , p k -p k 3 n - n k2+2 1+2k2 1 2 因为p = ,所以t = . n 3n n 3n+1 |1 2 | 1 ②结合①可知a =|PQ|=|p -t |= - = , n n n 3n 3n+1 3n+1 1 所以 =3n+1, a n {1 } 所以数列 是首项为9,公比为3的等比数列, a n{1 } 9(1-3n ) 9 所以数列 的前n项和S = = (3n-1). a n 1-3 2 n