当前位置:首页>文档>北京2025年高考北京卷历史高考真题文档版_1.高考2025全国各省真题+答案_00.2025各省市高考真题及答案(按省份分类)_1、北京卷(9科全)_5.历史

北京2025年高考北京卷历史高考真题文档版_1.高考2025全国各省真题+答案_00.2025各省市高考真题及答案(按省份分类)_1、北京卷(9科全)_5.历史

  • 2026-04-15 22:42:58 2026-02-08 00:52:43

文档预览

北京2025年高考北京卷历史高考真题文档版_1.高考2025全国各省真题+答案_00.2025各省市高考真题及答案(按省份分类)_1、北京卷(9科全)_5.历史
北京2025年高考北京卷历史高考真题文档版_1.高考2025全国各省真题+答案_00.2025各省市高考真题及答案(按省份分类)_1、北京卷(9科全)_5.历史
北京2025年高考北京卷历史高考真题文档版_1.高考2025全国各省真题+答案_00.2025各省市高考真题及答案(按省份分类)_1、北京卷(9科全)_5.历史
北京2025年高考北京卷历史高考真题文档版_1.高考2025全国各省真题+答案_00.2025各省市高考真题及答案(按省份分类)_1、北京卷(9科全)_5.历史
北京2025年高考北京卷历史高考真题文档版_1.高考2025全国各省真题+答案_00.2025各省市高考真题及答案(按省份分类)_1、北京卷(9科全)_5.历史
北京2025年高考北京卷历史高考真题文档版_1.高考2025全国各省真题+答案_00.2025各省市高考真题及答案(按省份分类)_1、北京卷(9科全)_5.历史
北京2025年高考北京卷历史高考真题文档版_1.高考2025全国各省真题+答案_00.2025各省市高考真题及答案(按省份分类)_1、北京卷(9科全)_5.历史
北京2025年高考北京卷历史高考真题文档版_1.高考2025全国各省真题+答案_00.2025各省市高考真题及答案(按省份分类)_1、北京卷(9科全)_5.历史
北京2025年高考北京卷历史高考真题文档版_1.高考2025全国各省真题+答案_00.2025各省市高考真题及答案(按省份分类)_1、北京卷(9科全)_5.历史
北京2025年高考北京卷历史高考真题文档版_1.高考2025全国各省真题+答案_00.2025各省市高考真题及答案(按省份分类)_1、北京卷(9科全)_5.历史
北京2025年高考北京卷历史高考真题文档版_1.高考2025全国各省真题+答案_00.2025各省市高考真题及答案(按省份分类)_1、北京卷(9科全)_5.历史
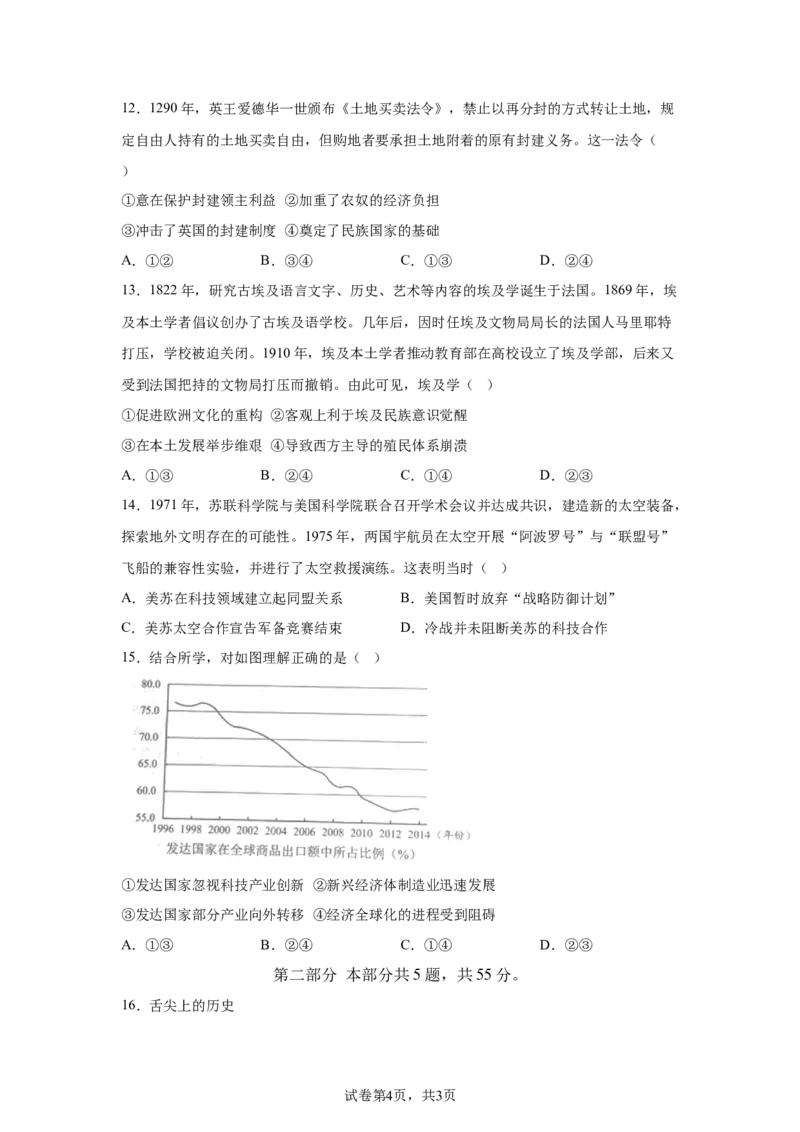
北京2025年高考北京卷历史高考真题文档版_1.高考2025全国各省真题+答案_00.2025各省市高考真题及答案(按省份分类)_1、北京卷(9科全)_5.历史
北京2025年高考北京卷历史高考真题文档版_1.高考2025全国各省真题+答案_00.2025各省市高考真题及答案(按省份分类)_1、北京卷(9科全)_5.历史
北京2025年高考北京卷历史高考真题文档版_1.高考2025全国各省真题+答案_00.2025各省市高考真题及答案(按省份分类)_1、北京卷(9科全)_5.历史
北京2025年高考北京卷历史高考真题文档版_1.高考2025全国各省真题+答案_00.2025各省市高考真题及答案(按省份分类)_1、北京卷(9科全)_5.历史
北京2025年高考北京卷历史高考真题文档版_1.高考2025全国各省真题+答案_00.2025各省市高考真题及答案(按省份分类)_1、北京卷(9科全)_5.历史
北京2025年高考北京卷历史高考真题文档版_1.高考2025全国各省真题+答案_00.2025各省市高考真题及答案(按省份分类)_1、北京卷(9科全)_5.历史
北京2025年高考北京卷历史高考真题文档版_1.高考2025全国各省真题+答案_00.2025各省市高考真题及答案(按省份分类)_1、北京卷(9科全)_5.历史
北京2025年高考北京卷历史高考真题文档版_1.高考2025全国各省真题+答案_00.2025各省市高考真题及答案(按省份分类)_1、北京卷(9科全)_5.历史
北京2025年高考北京卷历史高考真题文档版_1.高考2025全国各省真题+答案_00.2025各省市高考真题及答案(按省份分类)_1、北京卷(9科全)_5.历史
北京2025年高考北京卷历史高考真题文档版_1.高考2025全国各省真题+答案_00.2025各省市高考真题及答案(按省份分类)_1、北京卷(9科全)_5.历史

文档信息

文档格式
docx
文档大小
0.255 MB
文档页数
17 页
上传时间
2026-02-08 00:52:43

文档内容

北京市 2025 年普通高中学业水平等级性考试历史 本试卷共8页,100分。考试时长90分钟。考生务必将答案答在答题卡上,在 试卷上作答无效。考试结束后,将本试卷和答题卡一并交回。 第一部分 本部分共15题,每题3分,共45分。在每题列出的四个选项中,选出最符合 题目要求的一项。 1.《史记》记载,“秦每破诸侯,写放(仿)其宫室,作之咸阳北阪上”。考古工作者在 秦咸阳城北部发现两处建筑基址,结合在此出土的楚国和燕国形制的瓦当,推测此处曾有 仿照两国形制建造的宫殿。这体现( ) ①秦国统一进程促进了文化交流 ②丝绸之路的开辟便利了交通 ③考古发现可与文献记载相印证 ④当时各地建筑风格实现统一 A.①③ B.②④ C.①④ D.②③ 2.汉武帝在位中后期,多次巡行祭祀五岳。此后,五岳祭祀的国家制度逐渐完善。读图可 知,汉武帝( ) A.依据黄老思想治国 B.北击匈奴扩大了疆域 C.通过祭祀强化皇权 D.取消了郡国并行制度 3.“圣王作制,籍无黄白之别。昔中原丧乱,流寓江左……自尔渐久,人安其业……虽无 本邦之名,而有安土之实。今宜正其封疆,以土断人户,明考课之科,修阅伍之法。”这 一建议有利于东晋政府( ) A.鼓励流民返回原籍 B.增加赋役强化管理 C.提高寒门政治地位 D.编制黄册管理户籍 试卷第1页,共3页4.吐鲁番出土一件贞观年间由中央逐级传递到地方的敕旨文书,部分内容见下面示意图。 这反映唐初( ) ①文书行政推广到了西域 ②尚书省是政令决策机构 ③安西都护府下设县管理 ④加强了与吐蕃间的交流 A.①② B.③④ C.①③ D.②④ 5.乾隆初年,白银是核算赋税的标准,官方规定收税时1000文铜钱兑换1两白银。直隶 永平府征收赋税时,以铜钱代替白银。但当时市场上“钱价昂贵,民间交纳钱文,比之完 纳银两,为费较重”。为此,乾隆皇帝命令直隶总督,民间缴纳赋税时,“银、钱听其自 便”。以上材料说明,当时赋税政策的调整( ) ①减轻了对农民的人身控制 ②受到了货币政策的影响 ③兼顾财政收入与社会稳定 ④旨在推动商品经济发展 A.①③ B.②④ C.①④ D.②③ 6.“太平军之起,固宗教上之逼迫使然,实则亦非真因……予意当时即无洪秀全,中国亦 必不能免于革命。设有人以耶稣教之关系及清政府之操切,为……革命之原因,则其所见 浅陋实甚。恶根实种于满洲政府之政治,最大之真因为行政机关之腐败,政以贿成。”此 言意在说明( ) A.太平天国与西方的宗教没有关联 B.清廷腐朽统治是农民革命动因 C.没有洪秀全就不会发生农民起义 D.内部腐败导致太平天国的失败 7.“代表群众的利益,由你罢免和选举,不是讲威武,不是讲威武,人人都能监督这政府。 亲爱的工友们哪,亲爱的农友们哪,这政府靠咱们一致来拥护。”这段革命歌谣意在( ) A.宣传武装夺取政权的紧迫性 B.号召苏区群众参与政权建设 C.歌颂边区的“三三制”原则 D.展现解放区土地改革的成效 试卷第2页,共3页8.1944年,美国驻华外交官向美国政府报告,延安“经济情况有显著进步,人民以独立 自发之传统,耕种其田地。鼓励私人投资,提高生活水准,减低赋税。比之国民党地区, 高下至明,无待赘言”。这表明( ) A.抗日民主根据地的建设取得成效 B.国统区已经形成了第二条战线 C.美国准备加入世界反法西斯同盟 D.党的工作重心由乡村转到城市 9.下表为北京市城市规划对城市功能的定位。由此可知( ) 1953 我国政治、经济和文化的中心,强大工业基地和技术科学的中心 年 1993 全国的政治中心和文化中心,世界著名的古都和现代国际城市 年 2016 全国政治中心、文化中心、国际交往中心、科技创新中心 年 ①北京城市功能因城市的扩建而扩大 ②首都地位决定了北京城市战略定位 ③北京不再承担经济引领的重要职能 ④北京的国际影响力日益广泛和重要 A.①③ B.②④ C.①④ D.②③ 10.2007年,中国外交部领事司领事保护处升格为领事保护中心,负责海外公民、机构安 全和合法权益保护工作的政策指导和统筹协调。2014年,外交部开通全球领事保护与服务 应急热线,全天候、零时差、无障碍地向海外中国公民提供领事保护与咨询服务。这些举 措( ) ①保障了经济技术开发区的建设 ②建立起了总体稳定的大国关系框架 ③坚持了以人民为中心的发展思想 ④推进了国家治理体系和治理能力现代化 A.①② B.③④ C.①③ D.②④ 11.公元前3世纪,托勒密王朝的国王在亚历山大城修建了缪斯宫、图书馆、动植物园等。 动物园里有许多外来的动物,包括阿拉伯绵羊、印度大象、巴克特里亚骆驼、叙利亚棕熊、 希腊白熊、黎凡特狮子等。这些举措( ) ①有助于托勒密王国的科学研究 ②推动了亚历山大帝国的建立 ③印证了希腊化时代的文化交流 ④加速了亚欧游牧民族大迁徙 A.①③ B.②④ C.①④ D.②③ 试卷第3页,共3页12.1290年,英王爱德华一世颁布《土地买卖法令》,禁止以再分封的方式转让土地,规 定自由人持有的土地买卖自由,但购地者要承担土地附着的原有封建义务。这一法令( ) ①意在保护封建领主利益 ②加重了农奴的经济负担 ③冲击了英国的封建制度 ④奠定了民族国家的基础 A.①② B.③④ C.①③ D.②④ 13.1822年,研究古埃及语言文字、历史、艺术等内容的埃及学诞生于法国。1869年,埃 及本土学者倡议创办了古埃及语学校。几年后,因时任埃及文物局局长的法国人马里耶特 打压,学校被迫关闭。1910年,埃及本土学者推动教育部在高校设立了埃及学部,后来又 受到法国把持的文物局打压而撤销。由此可见,埃及学( ) ①促进欧洲文化的重构 ②客观上利于埃及民族意识觉醒 ③在本土发展举步维艰 ④导致西方主导的殖民体系崩溃 A.①③ B.②④ C.①④ D.②③ 14.1971年,苏联科学院与美国科学院联合召开学术会议并达成共识,建造新的太空装备, 探索地外文明存在的可能性。1975年,两国宇航员在太空开展“阿波罗号”与“联盟号” 飞船的兼容性实验,并进行了太空救援演练。这表明当时( ) A.美苏在科技领域建立起同盟关系 B.美国暂时放弃“战略防御计划” C.美苏太空合作宣告军备竞赛结束 D.冷战并未阻断美苏的科技合作 15.结合所学,对如图理解正确的是( ) ①发达国家忽视科技产业创新 ②新兴经济体制造业迅速发展 ③发达国家部分产业向外转移 ④经济全球化的进程受到阻碍 A.①③ B.②④ C.①④ D.②③ 第二部分 本部分共5题,共55分。 16.舌尖上的历史 试卷第4页,共3页北宋时期,北方人以粟、麦为主食,“南人罕作面饵”。京师(今开封)既有北食, 又有南食、川饭店,“以备南人不服北食者”。起初京师人“未尝食规蛤”“以为珍馔”, 而后“士人稍稍食之,蚬蛤亦随而增盛”,酒肆的菜肴有炒蛤蜊、炒蟹等。 南宋时,北方“流寓之人”遍布南方各地。南方大量种植小麦,规模“不减淮北”: “饮食混淆,无南、北之分”。在临安,“食店多是效学京师(今开封)人”;有百姓 “世以鬻海蛳为业”,酒肆常备有“生蚶子”“蚶子辣羹”等小菜。近年杭州南宋德寿宫 遗址还出土了长途贩运而来的海鲜遗存,如中华拟蟹守螺等。金朝在招待南宋使者时,宴 饮既有燥子粉、肉油饼等汉人食物,也有肉山等女真传统美食。 到了元代,“西域之仕于中朝,学于南夏,乐江湖而忘乡国者众矣”;世人“无此 疆彼界”之分。当时的生活百科书籍,既存录了中原和江南食物,如水滑面、馄饨、馒头、 烧饼、包子等,又有女真挞不刺鸭子、女真肉羊糜、高丽粟糕、回回酸汤、回回卷煎饼等。 (1)宋元时期饮食文化有哪些变化?依据材料加以概括。 (2)结合所学,分析上述变化的历史背景。 17.点评AI(人工智能) 1903年江西乡试有一道考题如下: 保商之法,阻来货、奖外输,务令出口之货常多于进口。乃征诸英吉利自行平税之 政,而商务大兴,其进出之差为负,而商利自厚,其故何欤?然则塞漏卮之说,果非计欤? 试权其利害,以维商政策。 某AI平台作答:这道1903年乡试题反映了晚清面对西方经济冲击的探索。英国通 过“平税”(自由贸易)实现商业繁荣,本质是以工业革命技术优势为基础,用开放倒逼 产业升级,形成出口>进口的良性循环。而中国“阻来货、奖外输”的保商政策,因缺乏现 代工业支撑,仅靠限制进口追求顺差,反而抑制本土产业竞争力(如土布难敌洋布),导 致“塞漏卮”沦为被动防御。考题揭示经济政策需匹配生产力水平:英国以实力换优势, 中国则陷入“管制依赖”。它体现了晚清知识分子对传统经济治理的反思,试图借鉴西方 经验推动“商战自强”,但受限于体制僵化与工业基础薄弱,终未能突破“中体西用”框 架,成为近代化转型困境的缩影。 结合所学,对AI的作答加以点评。 18.探索与发现 材料一 试卷第5页,共3页年 作者、作品及主要内容 份 1 5 卡蒂埃出版《两次新法兰西航行与发现记略》,记载了他在今属加拿大的纽芬兰 4 岛、圣劳伦斯湾、魁北克等地航行的经过及发现 5 1 5 加尔维奥的《世界的发现》出版,介绍了迪亚士、哥伦布、达·伽马、麦哲伦等 6 航海家的发现 3 1 华莱士发表《论控制新物种发生的规律》,利用其考察发现,研究生物演化的规 8 律。他提出,地理地貌及生命体的地理分布是多次变化的结果,新物种的诞生与 5 预先存在的关联物种密切相关 5 1 8 达尔文出版《物种起源》,以其在南美海岸航行考察的自然地理、动植物及人种 5 等发现为基础,系统论证了物种的起源与进化理论 9 1 8 梅因出版《古代法》,提出人类社会形态最初是父系社会,由专制族长统治,家 6 庭是社会基本单位 1 1 8 巴霍芬出版《母权论》,提出人类社会形态最初不是父系社会,而是母系社会 6 1 1 摩尔根出版《古代社会》,结合对印第安部落的实地考察,提出人类历史的起源 8 相同,经验相同,进步相同;生存技术决定婚姻家庭、政治制度和财产观念等; 7 人类经历蒙昧、野蛮、文明三个阶段,从血缘氏族发展到国家 7 1 恩格斯出版《家庭、私有制和国家的起源》,以马克思对摩尔根的研究笔记为基 8 础,系统阐述了原始社会的历史;提出家庭、私有制和国家等不是从来就有的, 8 是生产力发展的结果。随着生产力的发展,私有制和国家必将消亡 4 材料二 一切重要历史事件的终极原因和伟大动力是社会的经济发展,是生产方式和 交换方式的改变,是由此产生的社会之划分为不同的阶级,是这些阶级彼此之间的斗争。 ——恩格斯《社会主义从空想到科学的发展》1892年英文版导言 (1)归纳材料一中的探索与发现的内容。 (2)从材料二中提取唯物史观的一个观点,简要说明其内涵,并运用外国历史重要史实加以 阐释。 19.区域·东亚 试卷第6页,共3页材料一 韩国高中自2012年开始实施东亚史教育,在其教科书中,将古代东亚确定 为文化圈,这是与日本学者提出的“东亚世界论”相似的观点。东亚的文化要素包括了汉 字、儒学、佛教、律令等。 材料二 日本在明治维新之后,走上了“脱亚入欧”的道路。1885年,日本著名媒 体《时事新报》上发表的《脱亚论》一文写道:“国中朝野无别,万事皆独采西洋近时之 文明,不唯脱日本之旧套而已;在亚细亚全洲之中,新立一机轴,所以为主义者,唯在脱 亚二字。为今日之谋,我国不可犹豫,以待邻国(指中国、朝鲜)之开明而共兴亚细亚; 宁脱其伍,与西洋之文明国共进退。” 材料三 中日韩三国共同编写的《东亚三国的近现代史》(2005年)中写道:“东 亚有悠久的友好交流的传统,出现过许多为了光明的未来而跨越国境努力的人们。我们应 当继承过去时代的积极面,而彻底反省以前的错误。应当在我们美丽的地球上建设更加和 平与光明的未来。为了和平与发展,我们通过学习东亚的历史能够得到什么样的经验与教 训?” 2024年5月《第九次中日韩领导人会议联合宣言》指出:“文化是连接三国人民的桥 梁。”阅读上述材料,从历史变迁的角度,谈谈对这句话的理解。 20.从急递到快递 材料一 急递铺是中国古代政府信息传递机构,又有急脚递、斥堠铺、摆铺之称。宋 朝战事频繁,以之“递军书与他文书之最急者”。金朝规定“非军期、河防”不用急递。 元朝规定,急递铺“以达四方文书之往来,其所系至重”,不得夹带私货。明朝急递铺 “接送公文”,铺兵“昼夜须行三百里,稽留三刻笞二十”。清末铁路出现,“各省已设 有电报,各处亦已畅行轮船”,依赖人力、畜力的急递铺、驿站等走向衰落。 材料二 我国经营快递业务的国营、民营企业由邮政管理部门监督管理。“情系万家, 信达天下”“人民邮政为人民”等是企业经营的重要理念。据统计,2006年中国快递企业 业务量为10.6亿件,2012年增至56.9亿件,到2021年达1083亿件。 (1)结合上述材料,说明急递与快递的区别。 (2)依据材料二,指出中国快递业务量的发展趋势并分析其原因。 试卷第7页,共3页1.A 【详解】本题是组合选择题,时空是战国时期(中国)。根据材料结合所学可知,秦国在 军事征服过程中仿建六国宫室,将各地建筑风格引入咸阳,这是不同地域文化交融的体现。 统一进程打破了地域隔阂,推动了文化交流。①正确;《史记》记载秦国仿建诸侯宫室, 考古出土的楚、燕形制瓦当直接佐证了这一史实,体现了文献与考古的相互印证。③正确, 故①③符合题意,A项正确;丝绸之路开通于西汉武帝时期,而秦国仿建诸侯宫室是战国 末期至秦统一前的行为,时间不符。且干未涉及丝绸之路,②错误,排除BD项;材料仅 表明秦国主动吸收六国建筑风格,并未说明各地建筑风格“实现统一”。④错误,排除C 项。故选A项。 2.C 【详解】据本题题干的设问词,可知这是推断题。据本题时间信息可知准确时空是:西汉 (中国)。从图中看,汉武帝即位前存在较多诸侯王国,在位中期诸侯王国数量减少。汉 武帝多次巡行祭祀五岳,完善五岳祭祀国家制度,结合汉代政治背景(削弱诸侯、加强中 央集权 ),通过国家祭祀五岳,强化皇权对地方的象征控制,彰显中央权威,C项正确; 黄老思想主张“无为而治”,汉武帝时期推行“罢黜百家,独尊儒术”, 政策转向积极有 为,并不是依据黄老思想治国。且材料中“祭祀五岳” 与黄老思想无关联,排除A项; 图片主要呈现的是汉武帝在位前后“五岳”相关的祭祀地点、诸侯王国等变化,未涉及 “北击匈奴”的疆域拓展信息,排除B项;汉武帝时期通过“推恩令”等措施削弱王国势 力,但郡国并行制度在西汉始终存在,并未“取消”,且图中虽有王国数量减少,但不能 说明制度被取消,排除D项。故选C项。 3.B 【详解】据本题题干的设问词,可知这是影响题。据本题时间信息可知准确时空是:东晋 (中国)。根据材料结合所学可知,流民此前可能因持白籍而未被纳入正式赋役体系。土 断后,流民被编入黄籍,成为正式编户齐民,政府可据此征收赋税、征发徭役,同时通过 “考课”“阅伍”强化基层控制,B项正确;土断政策的核心是将流民就地编入户籍,而 非不是鼓励返回北方。题干中“有安土之实”表明流民已在南方定居,政策目的是固化其 现居地户籍,而不是迁徙,排除A项;土断政策聚焦户籍与赋役管理,未直接涉及政治权 力分配。东晋时期寒门地位提升更多与军功、庶族地主崛起相关,与题干无关,排除C项; “黄册”是明朝用于户籍管理的制度,与东晋时期的“黄籍”概念不同。排除D项。故选 B项。 答案第1页,共2页4.C 【详解】本题是组合选择题。时空是唐朝时期的中国。根据材料及所学知识可知,吐鲁番 位于今新疆地区,属于唐代西域范畴。中央敕旨文书在此出土,证明唐朝通过文书行政体 系将统治延伸至西域,体现了中央对边疆的有效管理,①正确;唐代实行三省六部制,中 书省负责草拟诏令,门下省审核,尚书省负责执行。尚书省是 “执行机构” 而非“决策 机构”,②错误;唐太宗贞观十四年(640年)设安西都护府,治所位于西州(今吐鲁 番)。文书信息表明安西都护府下辖州县,实行与内地一致的行政建制,③正确;吐蕃位 于今青藏高原,而吐鲁番属于西域,与吐蕃地域无关。文书反映的是唐朝对西域的管理, 未涉及与吐蕃的交流,④错误。C项正确,排除ABD项。故选C项。 5.D 【详解】本题是组合选择题,时空是清朝(中国)。根据材料结合所学可知,市场上“钱 价昂贵”(铜钱升值)导致民间赋税负担加重,这是典型的货币政策(货币兑换比例失 衡)引发的问题。乾隆的调整正是为了应对这一市场变化。②正确。允许“银、钱自便” 既能确保政府按标准收取赋税(财政收入),又能减轻民间因钱价波动带来的额外负担, 体现了对社会稳定的考量。③正确;故②③符合题意,D项正确;人身控制的减轻主要体 现在赋税制度从“以人丁为主”向“以资产为主”的转变,而材料中调整的是货币缴纳方 式,未涉及人丁税的减免或户籍管理的松弛,①错误,排除AC项;政策目标是解决纳税 问题,而不是促进商业,④错误,排除B项。故选D项。 6.B 【详解】据本题题干的设问词,可知这是本质题。据本题时间信息可知准确时空是:晚清 (中国)。根据材料可知,题干强调即便没有洪秀全,革命仍会发生,真正的“恶根”在 于清朝政治腐败、行政机关堕落,“政以贿成”是革命的核心动因,B项正确;材料中作 者仅指出宗教压迫不是革命的“真因”,但并未否认太平天国与西方宗教的关联,反而提 到“设有人以耶稣教之关系…… 为革命之原因,则其所见浅陋”,这是对“宗教是主因” 的反驳,而不是否定宗教因素的存在,排除A项;材料中作者明确表示“当时即无洪秀全, 中国亦必不能免于革命”,否定了个人对革命爆发的决定性作用,排除C项;材料讨论的 是太平天国运动爆发的原因,而不是失败的原因,排除D项。故选B项。 7.B 【详解】据本题题干的设问词,可知这是目的题。据本题时间信息可知准确时空是:土地 革命时期(中国)。根据材料“罢免和选举”“监督政府”“工友农友拥护政府”,结合 答案第2页,共2页所学可知,土地革命时期(1927–1937年),中共在革命根据地(苏区)建立工农民主政 权,实行工农兵代表大会制度,强调群众通过选举参与政权管理,B项正确;歌谣未提及 “武装斗争”“暴力革命”等内容,重点在政权的民主运作(选举、监督),与武装夺权 无关,排除A项;“三三制” 是抗战时期(1937–1945年)边区政权的组织原则。旨在团 结抗日力量。歌谣未涉及阶级联合,与“三三制”无关,排除C项;解放区土地改革 (1946年后)的核心是“耕者有其田”,侧重土地分配问题。歌谣未提及土地改革,而是 聚焦政权参与,排除D项。故选B项。 8.A 【详解】据本题题干的设问词,可知这是本质题。据本题时间信息可知准确时空是:1944 年的中国。题干时间为1944 年,处于抗日战争时期,延安是抗日民主根据地的重要中心。 材料中提到延安“经济情况有显著进步,人民以独立自发之传统,耕种其田地。鼓励私人 投资,提高生活水准,减低赋税”,这些都是抗日民主根据地在经济建设、民生改善等方 面的积极举措与成果,说明抗日民主根据地的建设取得成效,A项正确;国统区第二条战 线形成于解放战争时期(主要是反对国民党统治的爱国民主运动 ),与题干时间1944年 (抗日战争时期 )不符,排除B项;美国早在1941年12月珍珠港事件后就已正式加入世 界反法西斯同盟,1944年不存在“准备加入”的情况,排除C项;党的工作重心由乡村转 到城市是在1949年中共七届二中全会上提出的,与题干时间1944年不符,排除D项。故 选A项。 9.B 【详解】本题是组合选择题,时空是现代中国。根据材料可知,从 1953年、1993年到 2016年,北京始终被定位为全国政治中心,这是由其首都地位决定的 。同时,随着时代 发展,其文化中心等其他定位也与首都地位紧密相关,所以首都地位决定了北京城市战略 定位,②正确;1993年北京定位为“现代国际城市”,2016 年定位为“国际交往中心” , 这些变化体现了北京在国际交往等方面的作用越来越重要,国际影响力日益广泛和重要, ④正确。故②④符合题意,B项正确;材料中主要体现的是北京城市功能定位的变化,并 未提及城市功能的变化是因城市扩建导致,没有相关信息支撑“城市功能因城市的扩建而 扩大”这一说法,①错误。排除AC项;2016年北京定位为“科技创新中心”,科技创新 对经济发展具有引领作用,说明北京依然承担着对经济发展有重要意义的职能,并非不再 承担经济引领的重要职能,③错误。排除D项。故选B项。 10.B 答案第3页,共2页【详解】本题是组合选择题,时空是现代中国。根据材料结合所学可知,领事保护和应急 热线的设立,体现了政府对海外中国公民和机构安全的重视,符合以人民为中心的发展思 想。这些措施确保了中国公民在海外遇到困难时能够及时获得帮助,体现了政府对人民的 关怀和外交为民理念,③正确;领事保护机制的完善,是国家在海外事务管理中制度化、 专业化的体现,属于国家治理体系的组成部分,推动了治理能力的提升,④正确。故③④ 符合题意,B项正确;经济技术开发区属于国内经济建设范畴,与海外领事保护无直接关 联,①错误,排除AC项;领事保护和应急热线可以间接促进国际关系的稳定,但它们的 主要目的是保护海外中国公民和机构的安全,而不是直接建立大国关系框架,②错误,排 除D项。故选B项。 11.A 【详解】本题是组合选择题,时空是公元前3世纪的托勒密王朝。根据材料结合所学可知, 托勒密王朝修建缪斯宫、图书馆、动植物园等,图书馆可收藏知识典籍,动植物园收集外 来动植物,这些资源为科学研究提供了物质和资料基础,有助于托勒密王国的科学研究, ①正确;结合所学可知,希腊化时代是指亚历山大东征后,希腊文化传播到东方地区的时 代。托勒密王朝位于埃及,属于希腊化世界的一部分,动物园里有来自阿拉伯、印度、巴 克特里亚、叙利亚、希腊等不同地区的动物,体现了不同地区的交流,印证了希腊化时代 的文化交流,③正确。故①③符合题意,A项正确;亚历山大帝国建立于公元 4世纪,而 题干时间是公元前3世纪,此时亚历山大帝国已经解体,托勒密王朝是亚历山大帝国分裂 后形成的国家之一,②错误,排除BD项;亚欧游牧民族大迁徙发生于公元4–5世纪,与 题干时间(公元前3世纪)时间不符,且动物收集属文化行为,不是人口迁移动力,④错 误,排除C项。故选A项。 12.C 【详解】本题是组合选择题,时空是1290年的英国。根据材料结合所学可知,法令规定土 地买卖后购地者需承担原有封建义务,确保领主的经济和军事特权不因土地转让而流失, 实质是维护封建领主的权益。①正确;允许自由买卖土地(尽管需承担义务),推动土地 商品化,削弱了封建领主对土地的控制,冲击了英国的封建制度,③正确。故①③符合题 意,C项正确;法令针对自由人持有的土地(非农奴份地),农奴本身无土地所有权,且 其负担主要取决于领主压榨程度,与该法令无直接关联,②错误,排除AD项。该法令有 助于中央集权和国家统一,但不能完全奠定民族国家的基础。16—19世纪,西方国家从专 制王权国家发展为民族国家,④错误,排除B项。故选C项。 答案第4页,共2页13.D 【详解】本题是组合选择题,时空是近代埃及。根据材料结合所学可知,埃及本土学者积 极创办古埃及语学校、推动设立埃及学部,体现对本土文化研究传承的努力,这一过程利 于唤起民族意识,②正确;根据材料,1869年学校被法国人马里耶特打压关闭;1910年高 校埃及学部再遭法国文物局打压撤销,可知,因法国打压,埃及学在本土发展困难,③正 确,故②③符合题意,D项正确;材料主要围绕埃及学在埃及本土的发展遭遇,未提及对 欧洲文化重构的作用,①错误,排除AC项;埃及学发展受打压是殖民体系影响的表现, 而不是导致殖民体系崩溃的因素,④错误,排除B项。故选D项。 14.D 【详解】据本题题干的设问词,可知这是本质题。据本题时间信息可知准确时空是:1971- 1975年的美苏。根据材料结合所学可知,1971年美苏科学院联合召开学术会议探索地外文 明,1975年两国宇航员开展太空兼容性实验和救援演练,这些都是在冷战对峙背景下的科 技合作,说明冷战虽使美苏关系紧张,但并未完全阻断它们在科技领域的合作,D项正确; 冷战时期,美苏在政治、军事等方面处于对峙状态,虽在太空有合作,但本质是基于各自 利益的有限合作,并不是建立“同盟关系”,排除A项;“战略防御计划”(星球大战计 划 )是20世纪80年代美国提出的,与题干时间1971 - 1975年不符,排除B项;冷战时 期美苏军备竞赛涵盖军事、科技等多领域,太空合作只是局部、特定领域的合作,无法宣 告军备竞赛结束。排除C项。故选D项。 15.D 【详解】本题是组合选择题,时空是现代世界。根据材料结合所学可知,发达国家出口占 比下降,反衬新兴经济体出口占比上升,②正确;根据材料可知,发达国家出口比例下降, 结合所学可知,主因低端制造业外迁至成本更低地区。③正确,故②③符合题意,D项正 确;根据材料结合所学可知,发达国家正强化高端制造与创新,产业转移是为聚焦高附加 值领域,非“忽视创新”。①错误,排除AC项;根据材料结合所学可知,发达国家出口 比例下降,体现了产业转移,产业转移本身是全球化深化的表现,④错误,排除B项。故 选D项。 16.(1)变化:南北饮食融合:北宋京师南北食店并存,南宋南方小麦种植规模扩大,饮食 界限消解;民族饮食交融:金、元时期汉族与女真、回回等民族饮食同席,形成多元饮食 体系;食材与菜式拓展:海鲜等南方食材北传,北方面食南下,菜肴种类因地域交流而丰 富。饮食文化传播:临安效仿开封食店,元代百科书籍收录多民族饮食,推动文化认同。 答案第5页,共2页(2)历史背景:政治格局变动:两宋之际北方人口南迁,元代大一统促进民族迁徙与聚居。 经济发展推动:宋代商品经济繁荣,城市餐饮业兴盛;元代交通发达,长途贩运促进食材 流通。民族交流加强:政权并立与民族杂居加速文化渗透。 【详解】(1)本题是对比题,时空是宋元时期(中国)。变化:根据材料“京师(今开 封)既有北食,又有南食、川饭店”“南方大量种植小麦”“饮食混淆,无南、北之分” 可知,北宋京师南北食店并存,南宋南方小麦种植规模扩大,饮食界限消解,这体现了南 北饮食融合;根据材料“金朝在招待南宋使者时,宴饮既有燥子粉、肉油饼等汉人食物, 也有肉山等女真传统美食”“无此疆彼界”“既存录了中原和江南食物,如水滑面、馄饨、 馒头、烧饼、包子等,又有女真挞不刺鸭子、女真肉羊糜、高丽粟糕、回回酸汤、回回卷 煎饼等。”可知,金、元时期汉族与女真、回回等民族饮食同席,形成多元饮食体系,这 体现了民族饮食交融;根据材料“士人稍稍食之,蚬蛤亦随而增盛”“在临安,‘食店多 是效学京师(今开封)人’,”可知,海鲜等南方食材北传,北方面食南下,菜肴种类因 地域交流而丰富。这体现了食材与菜式拓展;根据材料“在临安,‘食店多是效学京师 (今开封)人’,”“当时的生活百科书籍,既存录了中原和江南食物,如水滑面、馄饨、 馒头、烧饼、包子等,又有女真挞不刺鸭子、女真肉羊糜、高丽粟糕、回回酸汤、回回卷 煎饼等。”可知,临安效仿开封食店,元代百科书籍收录多民族饮食,推动文化认同,这 体现了饮食文化传播。 (2)本题是背景题,时空是宋元时期(中国)。历史背景:根据材料“北宋时期”“南宋 时”“金朝”“到了元代”再结合所学可北宋到元朝政治格局的变动分析可知,两宋之际 北方人口南迁,元代大一统促进民族迁徙与聚居;根据材料“长途贩运”,再结合所学可 从北宋到元朝的经济发展角度分析可知,宋代商品经济繁荣,城市餐饮业兴盛;元代交通 发达,长途贩运促进食材流通。根据材料“北宋时期”“南宋时”“金朝”“到了元代”, 可从政权建立形式和民族关系的角度分析可知,民族交流加强,政权并立与民族杂居加速 文化渗透。 17.优点:对比分析到位:指出英国凭工业革命优势推行自由贸易,形成良性循环;中国 因工业薄弱,单纯限制进口难以奏效,点明政策与生产力匹配的重要性。思想与时代结合: 关联 “商战自强” 思潮,指出考题反映晚清对传统经济政策的反思,受制于 “中体西 用” 框架,未能突破体制与工业瓶颈。不足:未提不平等条约对中国关税自主权的限制 (如协定关税),导致政策失败原因分析不全面。英国“贸易逆差”表述需明确:实为高 附加值出口与低附加值进口的利润差,非单纯逆差。 可补充具体案例(如上海机器织布局 答案第6页,共2页失败),增强说服力。总之,AI 核心逻辑正确,但若结合不平等条约影响、细化贸易模式 及补充案例,分析会更精准。 【详解】本题是评论解说题,时空是1903年的中国。点评:优点:根据材料可知,英国 “平税”(自由贸易)的本质是依托工业革命技术优势,以开放推动产业升级,形成 “出 口高附加值商品 — 进口原材料” 的良性循环,符合历史事实;强调中国 “阻来货、奖 外输” 缺乏现代工业支撑,仅靠行政管制追求贸易顺差,导致本土产业竞争力不足,可知, 中国因工业薄弱,单纯限制进口难以奏效,点明政策与生产力匹配的重要性。准确揭示了 中西经济政策效果差异的根源。可知,对比分析到位;联系“商战自强”思想,说明考题 反映了晚清知识分子对传统重农抑商政策的反思,试图借鉴西方经验。点明 “中体西用” 框架的局限性,这一分析符合晚清近代化转型的困境。未能突破体制与工业瓶颈。 不足:结合所学可知,中国 “阻来货” 政策受限于《南京条约》等不平等条约中的“协 定关税”条款,而英国的“平税”是主权国家自主选择的政策。AI 未分析这一关键背景, 导致对中国政策失败的原因解释不够全面;英国在工业革命后并非长期贸易逆差,而是通 过出口工业品形成贸易顺差,其“进出之差为负”可能指特定时期的原材料进口大于成品 出口,但总体利润丰厚。AI 的表述易引发误解,需明确英国贸易模式的核心是“高附加值 出口、低附加值进口”的利润差;可补充如上海机器织布局(1878年创办,试图抵制洋布 进口,但因官僚垄断失败)、福州船政局(技术依赖法国,产品成本高于进口轮船)等案 例,具象化中国保商政策的局限性,增强分析的说服力。 综上可知,兼具深度与拓展空间 AI 的作答基本抓住了中英经济政策差异的本质,以及晚 清思想转型的特征,逻辑链条清晰。若能补充不平等条约的影响、细化贸易模式分析,并 结合具体历史案例与科举改革背景,可使结论更全面、论证更扎实。这也体现了 AI 在处 理历史问题时,虽能把握宏观框架,但对细节语境和复杂因果关系的解读仍需结合更多历 史要素进行优化。 18.(1)内容:地理探索与新航路开辟;生物演化研究;人类社会形态探索。 (2)观点:生产力发展是社会变革的终极动力。 内涵:社会经济发展、生产方式变革决定阶级关系与社会结构变化。 史实阐释:新航路开辟后,欧洲商品经济发展与资本主义萌芽推动殖民扩张,封建庄园经 济瓦解,新兴资产阶级崛起,引发文艺复兴、宗教改革等社会变革,最终促使封建制度向 资本主义制度转型,体现生产力对生产关系和社会形态的决定作用。 【详解】(1)本题是特点题,时空是近代世界。内容:根据材料“卡蒂埃出版《两次新法 答案第7页,共2页兰西航行与发现记略》”“加尔维奥的《世界的发现》出版,介绍了迪亚士、哥伦布、达· 伽马、麦哲伦等航海家的发现”可知,地理探索与新航路开辟;根据材料“华莱士发表 《论控制新物种发生的规律》”“达尔文出版《物种起源》,以其在南美海岸航行考察的 自然地理、动植物及人种等发现为基础,系统论证了物种的起源与进化理论”可知,生物 演化研究;根据材料“梅因出版《古代法》,提出人类社会形态最初是父系社会,由专制 族长统治,家庭是社会基本单位”“巴霍芬出版《母权论》,提出人类社会形态最初不是 父系社会,而是母系社会”“恩格斯出版《家庭、私有制和国家的起源》,以马克思对摩 尔根的研究笔记为基础,系统阐述了原始社会的历史;提出家庭、私有制和国家等不是从 来就有的,是生产力发展的结果。随着生产力的发展,私有制和国家必将消亡”可知,人 类社会形态探索。 (2)本题是评论解说题,时空是近代世界。根据材料“一切重要历史事件的终极原因和伟 大动力是社会的经济发展”可知,观点为生产力发展是社会变革的终极动力。根据材料 “一切重要历史事件的终极原因和伟大动力是社会的经济发展,是生产方式和交换方式的 改变,是由此产生的社会之划分为不同的阶级”可知,内涵是社会经济发展、生产方式变 革决定阶级关系与社会结构变化。关于史实阐释:结合所学可从近代资本主义经济萌芽、 资本主义经济发展推动新航路开辟,带来的殖民扩张、封建制度崩溃,引发文艺复兴、宗 教改革、资本主义制度确立等角度具体阐述生产力决定生产关系和社会形态。如,新航路 开辟后,欧洲商品经济发展与资本主义萌芽推动殖民扩张,封建庄园经济瓦解,新兴资产 阶级崛起,引发文艺复兴、宗教改革等社会变革,最终促使封建制度向资本主义制度转型, 体现生产力对生产关系和社会形态的决定作用。 19.理解:古代:以汉字、儒学为核心的东亚文化圈形成,遣唐使、佛教传播等构建起文 明互鉴纽带,如日本借鉴唐律、朝鲜推行汉制,形成“和而不同”的文化共同体。 近代:日本“脱亚入欧”及殖民扩张导致文化认同断裂,《脱亚论》否定东亚传统,殖民 政策压制汉字文化,区域纽带濒临瓦解。 当代:三国通过共同编写历史教科书、举办文化交流年等重建联系,2024年联合宣言以文 化为媒介,推动从历史反思到民间互动的和解,虽存挑战,但文化正成为跨越政治隔阂的 精神纽带。 【详解】本题是评论解说题,时空是古今现代的中日韩。根据材料“在其教科书中,将古 代东亚确定为文化圈,这是与日本学者提出的‘东亚世界论’相似的观点”“东亚的文化 要素包括了汉字、儒学、佛教、律令等。”可知,在古代,以汉字、儒学为核心的东亚文 答案第8页,共2页化圈形成;再结合古代中日韩三国交流的媒介、日韩对中国文化的借鉴和发展等史实具体 说明为遣唐使、佛教传播等构建起文明互鉴纽带,如日本借鉴唐律、朝鲜推行汉制,形成 “和而不同”的文化共同体。根据材料“日本在明治维新之后,走上了‘脱亚入欧’的道 路”“宁脱其伍,与西洋之文明国共进退”可知,在近代,日本“脱亚入欧”及殖民扩张 导致文化认同断裂,《脱亚论》否定东亚传统,殖民政策压制汉字文化,区域纽带濒临瓦 解。根据材料“中日韩三国共同编写的《东亚三国的近现代史》”“我们应当继承过去时 代的积极面,而彻底反省以前的错误。应当在我们美丽的地球上建设更加和平与光明的未 来”再结合所学可知,在当代,三国通过共同编写历史教科书、举办文化交流年等重建联 系,2024年联合宣言以文化为媒介,推动从历史反思到民间互动的和解,虽存挑战,但文 化正成为跨越政治隔阂的精神纽带。 20.(1)区别:性质与服务主体不同:急递:古代政府专属的官方信息传递机构,服务于军 事、政务等国家事务;快递:现代市场化的物流服务行业,由国营、民营企业运营,面向 社会公众和商业需求;传递内容与目的不同:急递:以传递紧急文书为主,侧重政治与军 事信息的时效性。快递:涵盖货物、文件等各类物品,以满足商业交易、个人需求为核心, 注重物流效率与服务体验;动力与技术支撑不同:急递:依赖人力、畜力,运输速度受限 于传统交通方式。快递:依托现代交通网络和信息技术,实现全球化、智能化配送。管理 模式不同:急递:政府直接管控,有严格的行政惩戒制度,禁止夹带私货。快递:由邮政 管理部门监管,企业自主经营,以“服务大众” 为理念,市场化运作。 (2)趋势:持续高速增长。原因:中国经济快速发展,居民消费水平提升,网购需求激增; 信息技术和交通网络的完善,提升快递效率与覆盖范围;政府出台政策优化行业环境,国 营与民营企业竞争推动服务创新;电商直播、生鲜冷链、跨境物流等新业态兴起,拓展快 递业务场景。 【详解】(1)区别:根据材料“急递铺是中国古代政府信息传递机构”可知,急递:古代 政府专属的官方信息传递机构,服务于军事、政务等国家事务;根据材料“我国经营快递 业务的国营、民营企业由邮政管理部门监督管理。”“人民邮政为人民”“情系万家,信 达天下”可知,快递:现代市场化的物流服务行业,由国营、民营企业运营,面向社会公 众和商业需求,因此,两者的性质与服务主体不同;根据材料“递军书与他文书之最急 者”可知,急递:以传递紧急文书为主,侧重政治与军事信息的时效性。根据材料“以达 四方文书之往来,其所系至重”“情系万家,信达天下”“人民邮政为人民”可知,快递: 涵盖货物、文件等各类物品,以满足商业交易、个人需求为核心,注重物流效率与服务体 答案第9页,共2页验,因此,两者传递内容与目的不同;根据材料“铺兵”“昼夜须行三百里,稽留三刻笞 二十”可知,急递:依赖人力、畜力,运输速度受限于传统交通方式。结合所学可分析快 递的动力和技术可知,快递:依托现代交通网络和信息技术,实现全球化、智能化配送, 因此,两者动力与技术支撑不同。根据材料“急递铺是中国古代政府信息传递机构”“不 得夹带私货”可知,急递:政府直接管控,有严格的行政惩戒制度,禁止夹带私货。根据 材料“我国经营快递业务的国营、民营企业由邮政管理部门监督管理”可知,快递:由邮 政管理部门监管,企业自主经营,以“服务大众”为理念,市场化运作。因此,两者的管 理模式不同。 (2) 本题是对比题,背景题,时空是现代中国。趋势:根据材料“2006年中国快递企业 业务量为10.6亿件,2012年增至56.9亿件,到2021年达1083亿件”可知,持续高速增长。 原因:结合所学可从中国经济快速发展、消费水平上升、信息技术和交通网络的完善、政 府政策的扶持、新业态兴起等角度分析,如,中国经济快速发展,居民消费水平提升,网 购需求激增;信息技术和交通网络的完善,提升快递效率与覆盖范围;政府出台政策优化 行业环境,国营与民营企业竞争推动服务创新;电商直播、生鲜冷链、跨境物流等新业态 兴起,拓展快递业务场景。 答案第10页,共2页