当前位置:首页>文档>精品解析:2022年山东省潍坊市中考生物真题(解析版)_中考真题_8.生物中考真题2015-2024年_2022年全国中考生物114份14

精品解析:2022年山东省潍坊市中考生物真题(解析版)_中考真题_8.生物中考真题2015-2024年_2022年全国中考生物114份14

  • 2026-04-09 13:12:39 2026-02-09 02:33:09

文档预览

精品解析:2022年山东省潍坊市中考生物真题(解析版)_中考真题_8.生物中考真题2015-2024年_2022年全国中考生物114份14
精品解析:2022年山东省潍坊市中考生物真题(解析版)_中考真题_8.生物中考真题2015-2024年_2022年全国中考生物114份14
精品解析:2022年山东省潍坊市中考生物真题(解析版)_中考真题_8.生物中考真题2015-2024年_2022年全国中考生物114份14
精品解析:2022年山东省潍坊市中考生物真题(解析版)_中考真题_8.生物中考真题2015-2024年_2022年全国中考生物114份14
精品解析:2022年山东省潍坊市中考生物真题(解析版)_中考真题_8.生物中考真题2015-2024年_2022年全国中考生物114份14
精品解析:2022年山东省潍坊市中考生物真题(解析版)_中考真题_8.生物中考真题2015-2024年_2022年全国中考生物114份14
精品解析:2022年山东省潍坊市中考生物真题(解析版)_中考真题_8.生物中考真题2015-2024年_2022年全国中考生物114份14
精品解析:2022年山东省潍坊市中考生物真题(解析版)_中考真题_8.生物中考真题2015-2024年_2022年全国中考生物114份14
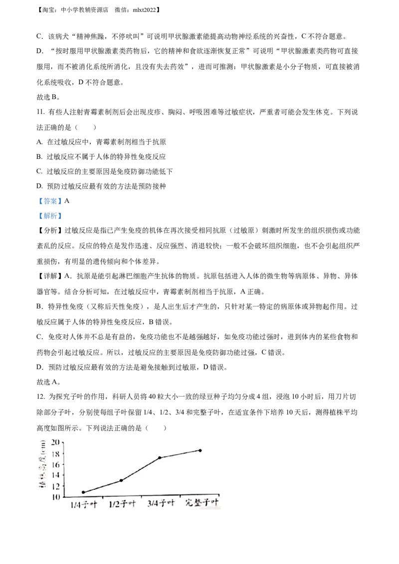
精品解析:2022年山东省潍坊市中考生物真题(解析版)_中考真题_8.生物中考真题2015-2024年_2022年全国中考生物114份14
精品解析:2022年山东省潍坊市中考生物真题(解析版)_中考真题_8.生物中考真题2015-2024年_2022年全国中考生物114份14
精品解析:2022年山东省潍坊市中考生物真题(解析版)_中考真题_8.生物中考真题2015-2024年_2022年全国中考生物114份14
精品解析:2022年山东省潍坊市中考生物真题(解析版)_中考真题_8.生物中考真题2015-2024年_2022年全国中考生物114份14
精品解析:2022年山东省潍坊市中考生物真题(解析版)_中考真题_8.生物中考真题2015-2024年_2022年全国中考生物114份14
精品解析:2022年山东省潍坊市中考生物真题(解析版)_中考真题_8.生物中考真题2015-2024年_2022年全国中考生物114份14
精品解析:2022年山东省潍坊市中考生物真题(解析版)_中考真题_8.生物中考真题2015-2024年_2022年全国中考生物114份14
精品解析:2022年山东省潍坊市中考生物真题(解析版)_中考真题_8.生物中考真题2015-2024年_2022年全国中考生物114份14
精品解析:2022年山东省潍坊市中考生物真题(解析版)_中考真题_8.生物中考真题2015-2024年_2022年全国中考生物114份14
精品解析:2022年山东省潍坊市中考生物真题(解析版)_中考真题_8.生物中考真题2015-2024年_2022年全国中考生物114份14
精品解析:2022年山东省潍坊市中考生物真题(解析版)_中考真题_8.生物中考真题2015-2024年_2022年全国中考生物114份14
精品解析:2022年山东省潍坊市中考生物真题(解析版)_中考真题_8.生物中考真题2015-2024年_2022年全国中考生物114份14
精品解析:2022年山东省潍坊市中考生物真题(解析版)_中考真题_8.生物中考真题2015-2024年_2022年全国中考生物114份14
精品解析:2022年山东省潍坊市中考生物真题(解析版)_中考真题_8.生物中考真题2015-2024年_2022年全国中考生物114份14
精品解析:2022年山东省潍坊市中考生物真题(解析版)_中考真题_8.生物中考真题2015-2024年_2022年全国中考生物114份14
精品解析:2022年山东省潍坊市中考生物真题(解析版)_中考真题_8.生物中考真题2015-2024年_2022年全国中考生物114份14
精品解析:2022年山东省潍坊市中考生物真题(解析版)_中考真题_8.生物中考真题2015-2024年_2022年全国中考生物114份14
精品解析:2022年山东省潍坊市中考生物真题(解析版)_中考真题_8.生物中考真题2015-2024年_2022年全国中考生物114份14
精品解析:2022年山东省潍坊市中考生物真题(解析版)_中考真题_8.生物中考真题2015-2024年_2022年全国中考生物114份14
精品解析:2022年山东省潍坊市中考生物真题(解析版)_中考真题_8.生物中考真题2015-2024年_2022年全国中考生物114份14
精品解析:2022年山东省潍坊市中考生物真题(解析版)_中考真题_8.生物中考真题2015-2024年_2022年全国中考生物114份14
精品解析:2022年山东省潍坊市中考生物真题(解析版)_中考真题_8.生物中考真题2015-2024年_2022年全国中考生物114份14
精品解析:2022年山东省潍坊市中考生物真题(解析版)_中考真题_8.生物中考真题2015-2024年_2022年全国中考生物114份14

文档信息

文档格式
docx
文档大小
1.247 MB
文档页数
27 页
上传时间
2026-02-09 02:33:09

文档内容

【淘宝:中小学教辅资源店 微信:mlxt2022】 2022 年潍坊市初中学业水平考试 生物试题 注意事项: 1.本试题共8页,分Ⅰ、Ⅱ两卷。第Ⅰ卷为选择题,共40分;第Ⅱ卷为非选择题,共60分; 全卷共100分。答题时间为60分钟。 2.答卷前务必将试题密封线内及答题卡上面的项目填涂清楚。所有答案都必须涂、写在答题 卡相应位置,答在本试卷上一律无效。 第Ⅰ卷(选择题 共40分) 说明:本卷共4页,共20道题,每题2分,共40分。每题只有一个最佳答案。选出正确答案 后,用2B铅笔将答题卡上相应的字母代号(A、B、C、D)涂黑,如需改动,须先用橡皮擦 干净,再改涂其他答案。 1. 绿叶海蜗牛是一种极为有趣的生物,这种软体动物一生进食一次海藻大餐,便将叶绿体吸入自己的细胞 内,使得体内充满叶绿体并能进行光合作用,从此便可终生不用进食。若将绿叶海蜗牛细胞放在光学显微 镜下观察,可以分辨的细胞结构有( ) A. 细胞核和叶绿体 B. 叶绿体和细胞壁 C. 叶绿体和大液泡 D. 细胞核和细胞壁 【答案】A 【解析】 【分析】动植物细胞结构异同如下图所示: 【详解】绿叶海蜗牛属于软体动物,动物具有细胞核、细胞膜和细胞质,但不具有细胞壁、液泡和叶绿体, 但由于绿叶蜗牛将叶绿体吸入自己的细胞内,使得体内充满叶绿体,由此可知若将绿叶海蜗牛细胞放在光 学显微镜下观察,可以分辨的细胞结构有细胞核和叶绿体,A符合题意。 故选A。 2. 为了解梧桐木虱对梧桐的危害,生物兴趣小组的同学走访了不同街道的园林工作人员,了解到梧桐木虱 是一种不完全变态发育的昆虫,靠吸食梧桐叶片汁液为食。一般使用石硫合剂防治,也可通过释放啮小蜂、 七星瓢虫等天敌进行防治。下列说法错误的是( ) A. 该研究过程采用的是调查法 B. 梧桐木虱与梧桐之间是捕食关系【淘宝:中小学教辅资源店 微信:mlxt2022】 C. 梧桐木虱的幼虫与成虫形态相似,食性相同 D. 通过释放天敌进行防治更利于维持生态平衡 【答案】B 【解析】 【分析】完全变态发育与不完全变态发育 (1)发育经历时期不同。①完全变态发育:完全变态发育经过受精卵、幼虫、蛹和成虫四个时期。②不 完全变态发育:不完全变态发育经过受精卵、若虫、成虫三个时期。 (2)幼体与成体相似性不同。①完全变态发育:完全变态发育的昆虫幼虫与成虫在形态构造和生活习性 上明显不同,差异很大。②不完全变态发育:不完全变态发育的昆虫幼体与成体的形态结构和生活习性非 常相似,但各方面未发育成熟。 【详解】A.调查法是指通过一定的途径,深入实际了解特定事物以获得第一手资料并完成科技活动的方 式。结合题干信息可知,“了解梧桐木虱对梧桐的危害”的研究过程采用的是调查法,A正确。 B.梧桐木虱靠吸食梧桐叶片汁液为食,故两者应该是寄生关系,B错误。 C.结合分析可知,梧桐木虱是一种不完全变态发育的昆虫,故梧桐木虱的幼虫与成虫形态相似,食性相 同,C正确。 D.生物防治生产成本低,与喷施农药(化学防治)相比,生物防治还具有保护和改善生态环境,不污染 环境,能提生态系统稳定性。所以,通过释放天敌进行防治更利于维持生态平衡,D正确。 故选B。 3. 图为杨树叶的发育过程,据图分析正确的是( ) A. 叶原基、幼叶和叶在结构层次上分别属于细胞,组织和器官 B. 叶原基细胞分裂期间细胞内染色体的数目一直保持不变 C. 杨树叶的大小差异主要取决于构成其细胞的大小 D. 相比于叶,叶原基或幼叶更适合做植物组织培养的材料 【答案】D 【解析】 【分析】(1)植物组织培养的过程:离体的植物组织,器官或细胞(外植体)脱分化形成愈伤组织,愈【淘宝:中小学教辅资源店 微信:mlxt2022】 伤组织再分化形成胚状体,进一步发育植株(新植体)。 (2)外植体只能消毒处理,不能灭菌处理,保持外植体的活性;脱毒植株一般选取植物的根尖和茎尖细 胞进行组织培养获取。 【详解】A.叶原基由分生组织组成,在结构层次上属于组织,幼叶和叶在结构层次上都属于器官,A错 误。 B.在细胞分裂的过程中首先发生变化的是细胞核,细胞核中的染色体首先要完成复制加倍,随着分裂的 进行,染色体分成完全相同的两份,分别进入两个新细胞中。这样,两个新细胞的染色体形态和数目相同, 新细胞和原细胞的染色体相同和数目也相同。保证了新细胞和原细胞遗传物质一样。所以在叶原基细胞分 裂期间细胞内染色体的数目会复制加倍,B错误。 C.杨树叶的大小差异靠细胞体积的大小,也靠细胞分裂数目的多少,C错误。 D.植物组织培养的过程:离体的植物组织,器官或细胞(外植体)脱分化形成愈伤组织,愈伤组织再分 化形成胚状体,进一步发育植株(新植体)。相对于培养成熟叶片,培养叶原基或幼叶更容易获取愈伤组 织,所以叶原基或幼叶更适合做植物组织培养的材料,D正确。 故选D。 4. 观察发现,几乎所有的植物都是向上生长的,这可能的原因是植物具有向光性。某同学在提出问题、作 出假设的基础上,想通过如图所示实验进行验证。下列对该实验的分析正确的是( ) A. 该同学提出的假设为“植物是否具有向光性” B. 实验前4株植物必须进行遮光处理 C. 该实验的变量是光线照射的强度 D. 4株植物除变量外其他生长条件应一致 【答案】D 【解析】 【分析】植物的向性运动指植物体受单一方向的外界刺激而引起的定向运动。科学探究的过程分为:提出 问题、作出假设、制定计划、实施计划、得出结论、表达和交流。 【详解】A.该同学提出的假设应为“植物具有向光性”或者“植物没有向光性”,A错误。 B.实验前4株植物无需进行遮光处理 ,B错误。【淘宝:中小学教辅资源店 微信:mlxt2022】 C.该实验的变量是光线照射的角度,C错误。 D.为了保证单一变量,4株植物除变量外其他生长条件应一致,D正确。 故选D。 5. 从结构与功能相适应的角度分析,下列说法错误的是( ) A. 地钱分化出了输导组织,更有利于陆地生活 B. 蛔虫表面有角质层,可抵抗宿主消化液的侵袭 C. 红豆杉叶外面包裹着蜡质,可有效减少水分的散失 D. 冬天北极熊会形成厚厚的皮下脂肪,以抵御寒冷 【答案】A 【解析】 【分析】藻类植物的结构简单,无根、茎、叶的分化,更无输导组织;苔藓植物虽然有了茎和叶,但茎、 叶内无输导组织;蕨类植物也生活在阴湿的环境中,有了根、茎、叶的分化,并且体内有输导组织。所以, 地球上最早出现输导组织的植物类群是蕨类植物。 【详解】A.地钱是苔藓植物门、苔纲、地钱目、地钱科、地钱属的植物。结合分析可知,地钱虽然有了 茎和叶,但茎、叶内无输导组织,A错误。 B.蛔虫是寄生生活,身体呈圆柱形,有口有肛门。体表有角质层,起保护作用;消化管结构简单,肠仅 有一层细胞构成,无专门的运动器官。生殖器官发达,生殖力强,B正确。 C.植物表皮蜡质对于减少水分蒸腾、提高耐旱性、减弱紫外光伤害以及抵抗病虫害等具有重要作用。所 以,红豆杉叶外面包裹着蜡质,可有效减少水分的散失,C正确。 D.皮下脂肪是贮存于皮下的脂肪组织,具有隔热保温的作用。所以,冬天北极熊会形成厚厚的皮下脂肪, 以抵御寒冷,D正确。 故选A。 6. 高原鼠兔是生活在青藏高原上的群居植食性哺乳动物,当它们在洞外活动,发现高空有猛禽时,会发出 叫声示警同伴。下列说法错误的是( ) A. 鼠兔在食物网中处于第二营养级 B. 鼠兔的示警行为属于学习行为 C. 鼠兔群体具有明显社会行为 D. 鼠兔的示警行为依赖于发达的神经系统 【答案】C 【解析】 【分析】社会行为(社群行为)是群体内形成了一定的组织,成员间有明确分工的动物群集行为,有的高 等动物还形成等级,共同维持群体生活的行为。 【详解】A.在食物链中的每一个环节称为一个营养级。生产者为第一营养级,植食性动物为第二营养级, 以植食性动物为食的动物为第三营养级。鼠兔是植食性哺乳动物,故在食物网中处于第二营养级,A正确。【淘宝:中小学教辅资源店 微信:mlxt2022】 B.学习行为是在遗传因素的基础上,通过环境因素的作用,由生活经验和学习而获得的行为。鼠兔的示 警行为是由生活经验和学习而获得的,故属于学习行为,B正确。 C.结合分析和题干信息可知,鼠兔无明显的“组织、分工、具有等级”等特点,因此无法得出“鼠兔群 体具有明显社会行为”的观点,C错误。 D.哺乳动物具有高度发达的感觉器官和神经系统,能够灵敏地感知外界环境的变化,对环境的复杂多变 及时作出反应。所以,鼠兔的示警行为依赖于发达的神经系统,D正确。 故选C。 7. 土壤是无数微生物的家园,常见的微生物有枯草杆菌、大肠杆菌、硝化细菌、根瘤菌、酵母菌、霉菌等。 下列有关土壤微生物的说法,正确的是( ) A. 都属于原核生物 B. 都能促进物质转化 C. 都靠孢子繁殖后代 D. 都营寄生或腐生生活 【答案】B 【解析】 【分析】生物体与外界环境之间的物质和能量的交换,以及生物体内物质和能量的转变过程,称为新陈代 谢。这是生物维持生命活动的基础。在这个基础上,生物才能表现出生长、发育、生殖、遗传和变异等其 他的生命基本特征。 【详解】A.细菌(枯草杆菌、大肠杆菌、硝化细菌、根瘤菌等)虽有DNA集中的区域,却没有成形的细 胞核,这样的生物称为原核生物。真菌(酵母菌、霉菌)、动植物具有真正的细胞核,属于真核生物,A 错误。 B.结合分析可知,题干所述的土壤微生物作为生物,都能促进物质转化,B正确。 C.细菌通过分裂的方式进行繁殖,分裂时,细胞首先将它的遗传物质进行复制,然后细胞从中部向内凹 陷,形成两个子细胞。真菌有单细胞(如酵母菌),有多细胞的(如青霉菌、曲霉菌、根霉菌、蘑菇), 这些真菌都可以进行孢子生殖,C错误。 D.有的细菌(枯草杆菌)依靠分解动物的尸体、粪便或植物的枯枝落叶吸取有机养料,营腐生生活,属 于分解者;有些细菌(大肠杆菌)从活的动植物体内吸收有机物,营寄生生活,属于消费者;还有的细菌 属于生产者,如硝化细菌。酵母菌、霉菌营腐生生活,D错误。 故选B。 8. 某生物兴趣小组通过实验发现,胃蛋白酶能将食物中的蛋白质分解成简单的营养成分,而对淀粉却不起 作用。这种现象说明酶具有( ) A. 高效性 B. 专一性 C. 多样性 D. 稳定性 【答案】B 【解析】【淘宝:中小学教辅资源店 微信:mlxt2022】 【分析】酶的特性:(1)高效性:酶的催化效率大约是无机催化剂的107~1013倍;(2)专一性:每一种 酶只能催化一种或一类化学反应;(3)作用条件较温和:高温、过酸、过碱都会使酶的空间结构遭到破 坏,使酶永久失活;在低温下,酶的活性降低,但不会失活。 【详解】由分析可知,酶具有专一性,也就是每一种酶只能催化一种或一类化学反应;胃蛋白酶能将食物 中的蛋白质分解成简单的营养成分,而对淀粉却不起作用,由此可知,这种现象说明酶具有专一性,B符 合题意。 故选B。 9. 徒步行走是一种很好的户外运动。不经常锻炼的人,较长时间的徒步行走脚掌易磨出“水泡”,即便不 做任何处理,几天后“水泡”也会自动消失。“水泡”中的液体主要渗入( ) A. 组织细胞中 B. 各级动脉中 C. 各级静脉中 D. 毛细血管中 【答案】D 【解析】 【分析】血管类型和特点: ①动脉,管壁较厚、弹性大,血流速度快,主要是将血液从心脏输送到身体各部分。 ②静脉,管壁较薄、弹性小,血流速度慢,主要是将血液从身体各部分送回到心脏。 ③毛细血管,管壁最薄,只有一层扁平上皮细胞构成,管的内径十分小,只允许红细胞单行通过。血流速 度最慢,是连通于最小的动脉和静脉,便于血液与组织细胞充分地进行物质交换。 【详解】长时间行走使脚掌磨出水泡,几天后水泡消失,水泡中液体的主要成分是组织液,组织液可单向 渗透到淋巴管形成淋巴,也可和血浆双向渗透。因此,此时水泡中的液体主要渗入毛细血管和毛细淋巴管。 故选D。 10. 某宠物犬近来食欲较平时旺盛,精神焦躁,不停吠叫,体温经常在39℃左右,心率为140次/分,均超 出正常值的范围。经兽医诊视后被诊断为甲状腺肿瘤,通过手术切除该犬的甲状腺,并按时服用甲状腺激 素类药物后,它的精神和食欲逐渐恢复正常。该实例不能得出的结论是甲状腺激素( ) A. 具有促进新陈代谢的作用 B. 能促进动物个体的生长发育 C. 能提高动物神经系统的兴奋性 D. 是小分子物质,可直接被消化系统吸收 【答案】B 【解析】 【分析】甲状腺分泌 的甲状腺激素(氨基酸衍生物),几乎作用于全身组织细胞,具有促进代谢活动;促 进生长发育(包括中枢神经系统的发育),提高神经系统的兴奋性的作用。 【详解】A.宠物犬患有甲状腺肿瘤,体内甲状腺激素过多,而表现出“食欲较平时旺盛、体温经常在 39℃左右,心率为140次/分”,可说明甲状腺激素具有促进新陈代谢的作用,A不符合题意。 B.该实例中,没有直接体现甲状腺激素和动物生长发育之间的关系,B符合题意。【淘宝:中小学教辅资源店 微信:mlxt2022】 C.该病犬“精神焦躁,不停吠叫”可说明甲状腺激素能提高动物神经系统的兴奋性,C不符合题意。 D.“按时服用甲状腺激素类药物后,它的精神和食欲逐渐恢复正常”可说明“甲状腺激素类药物可直接 服用,而不被消化系统所消化,且没有失去药效”,进而可推测:甲状腺激素是小分子物质,可直接被消 化系统吸收,D不符合题意。 故选B。 11. 有些人注射青霉素制剂后会出现皮疹、胸闷、呼吸困难等过敏症状,严重者可能会发生休克。下列说 法正确的是( ) A. 在过敏反应中,青霉素制剂相当于抗原 B. 过敏反应不属于人体的特异性免疫反应 C. 过敏反应的主要原因是免疫防御功能低下 D. 预防过敏反应最有效的方法是预防接种 【答案】A 【解析】 【分析】过敏反应是指已产生免疫的机体在再次接受相同抗原(过敏原)刺激时所发生的组织损伤或功能 紊乱的反应。反应的特点是发作迅速、反应强烈、消退较快;一般不会破坏组织细胞,也不会引起组织严 重损伤,有明显的遗传倾向和个体差异。 【详解】A.抗原是能引起淋巴细胞产生抗体的物质。抗原包括进入人体的微生物等病原体、异物、异体 器官等。结合分析可知,在过敏反应中,青霉素制剂相当于抗原,A正确。 B.特异性免疫(又称后天性免疫),是人出生后才产生的,只针对某一特定的病原体或异物起作用。过 敏反应属于人体的特异性免疫反应,B错误。 C.免疫对人体并不总是有益的,免疫功能也不是越强越好,如免疫功能过强时,进到体内的某些食物和 药物会引起过敏反应。所以,过敏反应的主要原因是免疫防御功能过强,C错误。 D.预防过敏反应最有效的方法是避免接触到过敏原,D错误。 故选A。 12. 为探究子叶的作用,科研人员将40粒大小一致的绿豆种子均匀分成4组,浸泡10小时后,用刀片切 除部分子叶,分别使每组子叶保留1/4、1/2、3/4和完整子叶,在适宜条件下培养10天后,测得植株平均 高度如图所示。下列说法正确的是( )【淘宝:中小学教辅资源店 微信:mlxt2022】 A. 浸泡10小时的主要目的是便于切除子叶 B. 完整子叶的一组为对照组,其余为实验组 C. 实验中可观察到绿豆种子的胚芽先突破种皮 D. 若用同样的操作处理玉米种子的子叶,结果大致相同 【答案】B 【解析】 【分析】干燥的种子含水率通常在15%以下,生理活动非常微弱,处于休眠状态。种子吸收水分后,种皮 膨胀软化,溶解在水中的氧气随着水分进入细胞,种子中的酶也开始活化。由于酶的作用,胚的呼吸作用 增强,胚乳或子叶中贮藏的不溶性物质也逐渐转变为可溶性物质,并随着水分输送到胚部。胚获得了水分、 能量和营养物质,在适宜的温度和氧气条件下,细胞才开始分裂、伸长。 【详解】A.结合分析可知,浸种的目的是使种子较快地吸水,达到能正常发芽的含水量,促进绿豆种子 萌发,A错误。 B.对照实验有实验组和对照组,实验组是接受实验变量处理的对象组,对照组是不接受实验变量处理的 对象组,对照组在实验中起对照作用(排除其它因素对实验结果的干扰)。所以,完整子叶的一组为对照 组,其余为实验组,B正确。 C.绿豆种子的胚根生长最快,首先突破种皮向地生长,并发育成根,C错误。 D.绿豆种子在萌发过程中,营养物质主要来自子叶;玉米种子在萌发过程中,营养物质主要来自胚乳。 所以,若用同样的操作处理玉米种子的子叶,结果与绿豆不同,D错误。 故选B。 13. 苹果果实发育到一定程度时,果实内的淀粉会加速分解成糖类,致使呼吸作用突然增强,然后又突然 减弱,这种现象称为呼吸跃变。呼吸跃变的出现标志着果实成熟达到了可食的程度,果皮的颜色也由绿色 逐渐转变为黄色或红色。下列说法错误的是( ) A. 苹果果实发育期间时刻都在进行呼吸作用 B. 果实内淀粉的来源是叶和果皮的光合作用 C. 适当提高氧气的浓度,可延迟呼吸跃变的出现 D. 适当提高苹果的贮藏温度,可加速果实的成熟 【答案】C 【解析】 【分析】呼吸作用是指有机物在氧气的参与下分解成二氧化碳和水,并释放能量的过程,植物生活着的细 胞无时无刻都在进行呼吸作用。光合作用是指在有光的条件下,在叶绿体中把二氧化碳和水合成有机物并 释放氧气的过程。 【详解】A.植物的活细胞一直都在进行呼吸作用,A正确。【淘宝:中小学教辅资源店 微信:mlxt2022】 B.光合作用的场所是叶绿体,叶片和苹果的绿色果皮都含有叶绿体,可进行光合作用,合成淀粉等有机 物,B正确。 C.氧气浓度增加,会促进呼吸作用,使呼吸跃变提前,C错误。 D.适当的提高温度可以加速果实内的淀粉会加速分解成糖类,促进果实的成熟,D正确。 故选C。 14. 通过生物学学习,我们已经对人类的生殖和发育有了清晰的认识。下列说法错误的是( ) A. 人体产生生殖细胞的器官也属于内分泌系统 B. 人的性别在受精卵形成时就已经确定 C. 胚胎发育所需的营养来源于卵黄和胎盘 D. 可利用羊水中胎儿脱落的细胞进行遗传检查 【答案】C 【解析】 【分析】男女生殖系统中最主要的性器官分别是睾丸和卵巢,分别产生精子和卵细胞,结合形成受精卵, 吸收营养物质进行胚胎发育。 【详解】A.男性和女性的生殖器官分别睾丸和卵巢,睾丸分泌雄性激素和产生精子,卵巢分泌雌性激素 和产生卵细胞,都属于内分泌系统,A正确。 B.精子和卵细胞在输卵管结合形成受精卵,人类的性别在受精卵形成时就已经确定,B正确。 C.胚胎发育的初期,营养物质的来源是卵黄;母体怀孕后,胎儿生活在母亲子宫内半透明的羊水中,通 过胎盘、脐带从母体获得所需要的营养物质和氧气,胎儿产生的二氧化碳等废物,也是通过胎盘经母体排 出体外的。因此人在胚胎发育初期和胚胎发育后期的营养物质来源依次是卵黄和母体,C错误。 D.通过检测羊水中胚胎脱落的细胞,每个个体的遗传物质都不一样,所以可以对遗传物质进行检查,D 正确。 故选C。 15. 在研究小鼠体内某种癌细胞的生长速度时,科研人员给癌细胞提供充足的营养物质,并在60天内每两 天统计一次1mm2内的细胞数量。下列曲线与测得的数据相符的是( ) A. B. C. D. 【答案】A 【解析】【淘宝:中小学教辅资源店 微信:mlxt2022】 【分析】癌细胞的特征有三点:无限增殖,形态结构发生变化,细胞表面发生变化(如糖蛋白减少)。 【详解】与正常细胞相比,癌细胞失去接触抑制,具有无限增殖的能力,因此在体外培养条件下,癌细胞 的数目逐渐增多,对应于曲线A,A符合题意。 故选A。 16. 多指是由常染色体上的显性基因M控制的。已知一位手指正常年轻女性的父母和弟弟均为多指,理论 上,下列推测错误的是( ) A. 该年轻女性的弟弟基因组成为MM或Mm 的 B. 该年轻女性 父母基因组成一定都为Mm C. 若该年轻女性与正常男性婚配,所生子女一定正常 D. 禁止近亲结婚可有效预防多指遗传病的发生 【答案】D 【解析】 【分析】(1)生物体的性状是由一对基因控制的,当控制某种性状的一对基因都是显性或一个是显性、 一个是隐性时,生物体表现出显性基因控制的性状;当控制某种性状的基因都是隐性时,隐性基因控制的 性状才会表现出来。 由题可知,多指是由常染色体上的显性基因M控制的。已知一位手指正常年轻女性的父母和弟弟均为多指, 该年轻女性的父母基因组成为:Mm×Mm,其遗传图谱如下图所示: 该年轻女性的手指正常,其基因组成为mm,与一个手指正常的男性(mm)婚配,其遗传图谱如下图所示:【淘宝:中小学教辅资源店 微信:mlxt2022】 【详解】A.由分析可知,该年轻女性的父母所产生的子代中表现为多指的基因组成有MM和Mm,该女 性的弟弟表现为多指,所以该年轻女性的弟弟基因组成为MM或Mm,A正确。 B.由分析可知,该年轻女性的父母基因组成一定都为Mm,B正确。 C.由分析可知,若该年轻女性与正常男性婚配,只产生一种基因型mm,表现为正常,所以该年轻女性 与正常男性婚配所生子女一定正常,C正确。 D.禁止直系血亲和三代以内的旁系血亲结婚,是因为近亲带有相同隐性遗传致病基因的可能性较大,近 亲结婚所生的孩子患有隐性遗传病的几率大,由此可知,禁止近亲结婚可有效预防由隐性遗传致病基因引 起的遗传病的发生,不能有效预防多指遗传病的发生,因为多指遗传病是由显性基因引起的,D错误。 故选D。 17. 某地区发现一种蜗牛,其外壳有的有条纹,有的无条纹、这种蜗牛常被鸟吃掉柔软的身体后留下破裂 的外壳。一段时间内,科研人员记录该蜗牛的相关数据如下表所示。下列说法错误的是( ) 有条纹的 无条纹的 活着的蜗 264 296 牛 破裂的外 486 377 壳 的 A. 蜗牛属于软体动物,依靠腹面扁平宽大 腹足运动 B. 鸟的捕食在蜗牛有无条纹的进化中起了选择的作用 C. 该地区蜗牛群体中有条纹蜗牛所占比例将逐渐增大 D. 经过一代代的自然选择,无条纹的变异被定向积累 【答案】C 【解析】 【分析】生物变异的特点是不定向,生物进化的方向由自然选择决定。 【详解】A.蜗牛属于软体动物,依靠腹足(躯体的腹面、扁平宽大)爬行,A正确。 B.由表格中的信息可知,有条纹的蜗牛空壳的相对数量更多,因此有条纹的蜗牛更易被鸟捕食,而无条 纹的蜗牛则更容易存活下来繁衍后代,所以鸟的捕食在蜗牛有无条纹的进化中起了选择的作用,B正确。 C.由表格可知有条纹的蜗牛更易被鸟捕食,而无条纹的蜗牛则更容易存活下来繁衍后代,所以该地区蜗 牛群体中无条纹蜗牛所占比例将逐渐增大,C错误。 D.无条纹的变异属于此环境的有利变异,在该地区蜗牛群体中无条纹蜗牛的基因出现频率增大,经过一 代代的自然选择,无条纹的变异被定向积累,D正确。 故选C。【淘宝:中小学教辅资源店 微信:mlxt2022】 18. 东亚飞蝗,又称蚂蚱,为迁飞性、杂食性的农业害虫,喜在坚实的土地中产卵。为了给预防“蝗灾” 提供科学依据、研究者通过2年时间对某地区气温、降水量变化与东亚飞蝗数量变化的关系进行了研究, 结果如下图所示。下列说法错误的是( ) A. 降水后的连续高温干旱环境更容易形成“蝗灾” B. 在东亚飞蝗繁殖期人为疏松土壤,可控制其数量增长 C. 在东亚飞蝗的成虫期进行防治,其防治效果会更好 D. 气温和降水量是影响东亚飞蝗数量变化的非生物因素 【答案】C 【解析】 【分析】1.蝗虫是一种喜欢温暖干燥的昆虫,干旱的环境对它们繁殖、生长发育和存活有许多益处。相 反,多雨和阴湿环境对蝗虫的繁衍有许多不利影响。 2.环境中影响生物的生活和分布的因素叫做生态因素,包括非生物因素和生物因素。非生物因素有光、 温度、水、空气等。生物因素是指环境中影响某种生物个体生活的其他所有生物,包括同种和不同种的生 物个体。 【详解】A.蝗虫是一种喜欢温暖干燥的昆虫。结合题图分析可知,降水后的连续高温干旱环境,蝗虫数 量快速增加,更容易形成“蝗灾”,A正确。 B.东亚飞蝗喜在坚实的土地中产卵。所以,在东亚飞蝗繁殖期人为疏松土壤,可控制其数量增长,B正 确。 C.蝗虫的成虫跳的远,飞行能力强,很难被消灭。而蝗虫的幼虫,没有翅,只能爬行和跳跃,活动范围 较小,便于集中消灭,因此消灭蝗虫的最佳时期是幼虫期(跳蝻三龄以前),C错误。 D.结合分析和题图可知,气温和降水量是影响东亚飞蝗数量变化的非生物因素,D正确。 故选C。 19. “绿水青山就是金山银山。”习近平总书记指出,要实施重要生态系统保护和修复重大工程,提升生 态系统质量和稳定性。下列说法错误的是( ) A. 生物多样性的间接使用价值远大于直接使用价值 B. 遗传的多样性是生物进化的基础,它决定了物种的多样性【淘宝:中小学教辅资源店 微信:mlxt2022】 C. 生态系统类型的丰富多样有利于提升生态系统的稳定性 D. 人类活动对生物多样性有重要影响,保护生物多样性就是保护物种的多样性 【答案】D 【解析】 【分析】生物多样性包括遗传多样性、物种多样性和生态系统多样性。生物多样性的价值包括直接使用价 值、间接使用价值和潜在使用价值。 【详解】A.提升生态系统质量和稳定性体现了生物多样性间接使用价值,生物多样性的间接使用价值主 要指的是其生态功能,要比直接使用价值重要,A正确。 B.基因的多样性是指物种的种内个体或种群间的基因变化,不同物种之间基因组成差别很大,生物的性 状是由基因决定的,生物的性状千差万别,表明组成生物的基因也成千上万,同种生物如兔之间(有白的、 黑的、灰的等)基因也有差别,每个物种都是个独特的基因库。基因的多样性决定了生物种类的多样性, B正确。 C.生态系统多样性是生物多样性的一部分,生物多样性有利于提升生态系统的稳定性,C正确。 D.人类活动对生物多样性有重要影响,保护生物多样性是保护遗传多样性、物种多样性和生态系统多样 性,D错误。 故选D。 20. 乳酸菌是乳酸的传统生产菌,但耐酸能力较差。酿酒酵母耐酸能力较强、但不产生乳酸。科研人员将 乳酸菌的乳酸脱氢酶基因导入酿酒酵母,获得了能产生乳酸的工程菌株S。下列说法错误的是( ) A. 乳酸菌和酵母菌的DNA在组成方式上相同 B. 工程菌株S能产生乳酸的特性是不可以遗传的 C. 乳酸脱氢酶基因是乳酸菌能够生成乳酸的关键基因 D. 工程菌株S的成功获得说明基因是控制生物性状的基本单位 【答案】B 【解析】 【分析】转基因技术就是把一个生物体 的基因转移到另一种生物体内的生物技术。它是在分子水平上进行 的遗传操作,按照预先设计的蓝图把一种生物的基因分离出来,在体外进行拼接组合,然后转入另一种生 物的体内,从而改造某些遗传性状,最终获得人们所需要的新品种。 的 【详解】A.由“科研人员将乳酸菌 乳酸脱氢酶基因导入酿酒酵母,获得了能产生乳酸的工程菌株S” 可推测,乳酸菌和酵母菌的DNA在组成方式上相同,A正确。 B.工程菌株S能产生乳酸的特性是遗传物质改变引起的,故属于可以遗传的变异,B错误。 C.酵母菌获得了乳酸脱氢酶基因,就可以产生乳酸,说明:乳酸脱氢酶基因是乳酸菌能够生成乳酸的关【淘宝:中小学教辅资源店 微信:mlxt2022】 键基因,C正确。 D.基因是有遗传效应的DNA或RNA片段,是控制生物性状的遗传物质的功能单位和结构单位。工程菌 株S的成功获得说明基因是控制生物性状的基本单位,D正确。 故选B。 第Ⅱ卷(非选择题 共60分) 说明:本卷共4页,共5道题。需用黑色签字笔在答题卡上相应区域内作答,超出答题区域 或书写在本试卷上无效。 21. 近年来,潍坊市依托资源优势培育的富硒番茄,以酸甜可口、营养丰富深受消费者青睐。在番茄种植 和培育过程中,菜农常采取一些栽培措施影响番茄的生理活动,促进番茄的生长发育,以达到增产增收的 目的。 (1)番茄所含的微量元素硒等主要通过根尖的___________吸收。俗语说“有水即有肥,无水肥无力”, 因此,在给番茄施肥的同时,往往需要适当浇水,此时浇水的原因是______________________。 (2)某研究小组以大田种植的番茄为材料所做相关实验的结果如图1所示,N点与M点相比,限制单株 番茄光合作用强度最主要的环境因素是___________,基于该实验的结论在栽培番茄时应___________。 (3)春季移栽时,为降低蒸腾作用减少水分的散失,菜农常对番茄苗采取______________________的措 施。夏季晴朗的白天,番茄的光合作用强度曲线如图2所示,在10~12时光合作用强度明显减弱的原因是 ______________________。 (4)间作套种是指在同一块农田上于同一生长期内间隔种植不同作物,以提高农作物的产量。现有某品 种番茄及3种作物,在正常条件下能达到的株高和光饱和点(光合作用达到最大时所需的光照强度)如下 表所示。请从提高光照利用率的角度分析,最适合与该品种番茄间作套种的作物是___________,理由是 ___________。 作物 番茄 A B C 株高/cm 68 62 182 175 光饱和点μmol·m-2·s-1 700 1280 1260 650【淘宝:中小学教辅资源店 微信:mlxt2022】 【答案】(1) ①. 成熟区 ②. 肥料中的矿质元素只有溶解在水中才能被作物根系吸收 (2) ①. 光照 ②. 合理密植 (3) ①. 去掉一部分枝叶 ②. 此时间段光照过强,温度过高,使得叶片气孔关闭,二氧化碳供应 减少,导致光合作用减弱 (4) ①. B ②. 作物B光饱和点高且长得高,可利用上层光照进行光合作用;番茄光饱和点低且长 得矮,与作物B间作后,能利用下层弱光进行光合作用 【解析】 【分析】本题主要考查种间关系、根尖的结构和作用、蒸腾作用和光合作用原理的应用,意在考查学生对 所学知识的理解,把握所学知识之间联系的能力。 【小问1详解】 根吸收水分和无机盐的主要部位是根尖的成熟区,根尖成熟区的表皮细胞一部分向外突出,形成根毛,是 根吸收水和无机盐的主要部位,所以番茄所含的微量元素硒等主要通过根尖的成熟区来吸收;在给番茄施 肥的同时,往往需要适当浇水,此时浇水的原因是:肥料中的矿质元素只有溶解在水中才能被作物根系吸 收。 【小问2详解】 由图1可知随种植密度增大,田间的通风、透光条件都变差,故与M点比,限制限制单株番茄光合作用强 度最主要的环境因素是光照,所以实验给我们的启示是,在栽培番茄时要注意合理密植,合理密植可以最 高效的利用光能,增强光合作用。 【小问3详解】 植物在移栽过程中总会损伤一些幼根和根毛,导致吸水能力下降。因此移栽植物时要去掉部分枝叶、选 择阴天或傍晚移栽、移栽以后要遮阴等,都是为了降低植物的蒸腾作用,减少水分的散失,提高移栽植物 的成活率;夏季晴朗的白天,番茄的光合作用强度曲线如图2所示,在10~12时光合作用强度明显减弱的 原因是此时间段光照过强,温度过高,使得叶片气孔关闭,二氧化碳供应减少,导致光合作用减弱 【小问4详解】 分析表格中的数据,从提高光能利用率的角度考虑,最适合与该品种番茄间作套种的作物是B,选择这两 种作物的理由是作物B光饱和点高且长得高,可利用上层光照进行光合作用;番茄光饱和点低且长得矮, 与作物B间作后,能利用下层弱光进行光合作用。 22. 人体的一切生命活动都离不开神经系统的调节和控制。当阅读时,肌细胞的收缩运动使我们的眼球得 以转动,当决定翻过这一页时,我们大脑作出的决定将通过神经细胞传递给手臂的肌细胞。因此,生物体 的每一种运动基本上都可以在细胞水平上发生或最终体现出来。【淘宝:中小学教辅资源店 微信:mlxt2022】 (1)“眼睛是心灵的窗户”,无论是看近处还是远处的目标,眼睛都能将其成像在视网膜上,这是因为 ______。视网膜上的物像形成视觉的路径可表示为______(用“文字和→”表示)。 (2)如果你的手指不小心被尖锐的东西扎了一下,你会迅速把手缩回来,然后感觉到疼痛,紧接着意识 到手被扎了。这一过程中,先后涉及到的中枢神经系统是______,缩手动作在前、感觉到疼痛在后,该适 应性反应的意义是______。 (3)人体的运动是在神经系统支配下,由______产生的。坚持体育锻炼和心理磨炼,不仅能够增强人运 动系统的韧性,还能锻炼我们的神经系统,提高学习和工作的效率。请依据大脑的生理特性,推荐两例科 学用脑的方法______。 (4)为研究脊神经的传导,研究人员将青蛙的脑破坏,保留脊髓,在脊柱下部打开脊椎骨,剥离出脊神 经根(如图2所示,一对脊神经包含一个背根和一个腹根)。已知“分别电刺激每对脊神经根的背根和腹 根均可引起蛙同侧后肢发生运动反应”,请以一对脊神经根为实验材料,设计实验证明背根具有传入功能 或腹根具有传出功能。简要写出实验方案并预期实验结果______。 【答案】(1) ①. 通过睫状体调节晶状体的曲度变化,人才能看远近不同的物体 ②. 角膜→房水 →瞳孔→晶状体→玻璃体→视网膜→视神经→大脑皮层(的视觉中枢) (2) ①. 脊髓、大脑 ②. 防止身体受到外界更严重的伤害 (3) ①. 运动系统 ②. 学习时做到动静结合、课程交替、反复强化、勤于思考、适当休息 (4)①在第一对脊神经根的背根中央处(B点)剪断,电刺激背根向中段(C点),蛙后肢发生运动反应; 电刺激背根外周段(A点),蛙后肢不发生反应。结合后肢反射弧“感受器→后肢传入神经→神经中枢→ 传出神经→后肢效应器”分析,我们所破坏的是缩腿反射弧在后肢的传入神经。可得出的结论是:背根的 功能是传入功能。 ②在第二对脊神经根的腹根中央处剪断(E点),电刺激腹根向中段(D点),蛙后肢不发生反应;电刺 激腹根外周段(F点),蛙后肢发生运动反应。再结合后肢的反射弧“后肢感受器→后肢传入神经→神经【淘宝:中小学教辅资源店 微信:mlxt2022】 中枢→传出神经→后肢效应器”分析,我们所破坏的是缩腿反射弧在后肢的传出神经。可得出的结论是: 腹根具有传出功能。 【解析】 【分析】1.科学用脑的方法是:①善于用脑。注意劳逸结合,不要“开夜车”,以免累伤大脑;动静交 替,还要变换脑力活动的内容(如复习功课时,可以把文理科交替复习)。②勤于用脑。注意遇事多想多 问,先想后问,这样能使神经系统充分发挥作用,使人的思维更敏捷,记忆更深刻。③合理营养,适量食 用核桃等补脑食品,保证大脑的能量供应。 2.外周段是远离神经中枢(脊髓)的位置,向中段是靠近神经中枢(脊髓)的位置。 【小问1详解】 眼睛通过睫状体(内含平滑肌)调节晶状体的曲度来看清远近不同的物体。看远处物体时,睫状体舒张, 晶状体凸度变小;看近处物体时,睫状体收缩,晶状体凸度变大。所以,无论是看近处还是远处的目标, 眼睛都能将其成像在视网膜上,这是因为通过睫状体调节晶状体的曲度变化。视觉形成的过程是:外界物 体反射来的光线,经过角膜、房水,由瞳孔进入眼球内部,再经过晶状体和玻璃体的折射作用,在视网膜 上能形成清晰的物像,物像刺激了视网膜上的感光细胞,这些感光细胞产生的神经冲动,沿着视神经传到 大脑皮层的视觉中枢,就形成视觉。所以,视觉形成的路径可表示为:角膜→房水→瞳孔→晶状体→玻璃 体→视网膜→视神经→大脑皮层(的视觉中枢)。 【小问2详解】 缩手反射的神经中枢在脊髓,而感觉是在大脑皮层的躯体感觉中枢形成的,故神经冲动必须经过脊髓上行 传导到大脑,人才能产生感觉。神经冲动传递到大脑的路径过程中,突触更多,需要的时间更长,因此当 手被刺激后,人会先缩手,后感觉到疼痛。手被刺后,“先缩手、后感觉到疼”是人生来就有的非条件反 射,这是人体的自我保护机制,可以更快的脱离刺激源,防止身体受到外界更严重的伤害。所以,“先缩 手、后感觉到疼”这一过程中,先后涉及到的中枢神经系统是脊髓和大脑,缩手动作在前、感觉到疼痛在 后,该适应性反应的意义是防止身体受到外界更严重的伤害。 【小问3详解】 骨骼肌有受刺激而收缩的特性,当骨骼肌受神经传来的刺激收缩时,就会牵动着它所附着的骨,绕着关节 活动,于是躯体就产生了运动。所以,人体的运动是在神经系统支配下,由运动系统产生的。结合分析可 知,科学用脑的方法有:学习时做到动静结合、课程交替、反复强化、勤于思考、适当休息。(合理即 可) 【小问4详解】 脊神经的传导实验图示:【淘宝:中小学教辅资源店 微信:mlxt2022】 实验方案、预期实验结果和实验结论(任意回答一个,即可得分): ①在第一对脊神经根的背根中央处(B点)剪断,电刺激背根向中段(C点),蛙后肢发生运动反应;电 刺激背根外周段(A点),蛙后肢不发生反应。结合后肢反射弧“感受器→后肢传入神经→神经中枢→传 出神经→后肢效应器”分析,我们所破坏的是缩腿反射弧在后肢的传入神经。可得出的结论是:背根的功 能是传入功能。 ②在第二对脊神经根的腹根中央处剪断(E点),电刺激腹根向中段(D点),蛙后肢不发生反应;电刺 激腹根外周段(F点),蛙后肢发生运动反应。再结合后肢的反射弧“后肢感受器→后肢传入神经→神经 中枢→传出神经→后肢效应器”分析,我们所破坏的是缩腿反射弧在后肢的传出神经。可得出的结论是: 腹根具有传出功能。 23. 在2022年北京冬季奥运会上,中国运动员取得了令人振奋的战绩,这既需要运动员团结协作、顽强拼 搏,也需要机体的各个器官和系统共同运作、相互协调。 (1)运动员在比赛间隙经常饮用运动饮料,主要用于补充体内缺失的______,人体消化道能够吸收运动 饮料的结构有______。 (2)备战比赛前,有些项目的运动员要到高原地区训练一段时间,高原训练能够使运动员血液中红细胞 的数量明显增加,其意义是______。剧烈运动容易造成肌细胞缺氧产生乳酸而导致肌肉酸痛,图是参加越 野滑雪时专业选手和业余选手产生乳酸的曲线,其中曲线______代表专业选手。【淘宝:中小学教辅资源店 微信:mlxt2022】 (3)运动过程中,吸入肺泡中的氧气能源源不断进入周围的血液,是因为______。组织细胞产生的二氧 化碳随血液循环最先到达心脏的某个腔室,以此为起点,二氧化碳排出体外的路径是______→呼吸道→体 外(用“文字和→”表示)。 (4)速滑运动员在场上比赛时,会出现心跳加快、尿液减少的现象。其中心跳加快的意义是______,尿 液较平时明显减少的原因是______。 【答案】(1) ①. 水、电解质和能量 ②. 胃、小肠、大肠 (2) ①. 红细胞增多,运输氧的能力增加,可提高运动员的供能水平,使运动员取得更好的成绩 ②. B (3) ①. 血液中氧气的含量比肺泡中的低,根据气体扩散作用的原理,肺泡中的氧气透过肺泡壁和毛 细血管壁扩散到血液 ②. 右心房→右心室→肺动脉→肺泡周围的毛细血管→肺泡 (4) ①. 心率增加,目的是加快葡萄糖等有机物和尿素等代谢废物的运输 ②. 运动员比赛后,出 汗很多,人体为了平衡水分,故排尿少 【解析】 【分析】1.运动饮料是指含有碳水化合物(糖)以及矿物质(钠和钾)的风味饮料。这类饮料能为机体 补充水分、电解质和能量,能让运动员在剧烈运动后,及时补充运动时随汗液流失的钾、钠等电解质,维 持人体酸碱平衡,同时补充部分糖以维持体能,补充水分以帮助维持体温平衡。 2.高原缺氧,长期在高原生活心肺功能会比在平原地区生活的人更强。在高原训练,可以最大程度的激 发潜能,让心肺功能得到极限锻炼,于是,在平原参加比赛的时候就能够有较大水平的提高。 3.人体的血液循环途径简图:【淘宝:中小学教辅资源店 微信:mlxt2022】 【小问1详解】 消化系统包括消化道和消化腺,消化道有口腔、咽、食道、胃、小肠、大肠和肛门。口腔有消化功能,无 吸收功能;咽和食道既无消化功能也无吸收功能;胃能吸收水、无机盐、酒精;小肠能吸收葡萄糖、氨基 酸、甘油和脂肪酸、水、无机盐、维生素;大肠能吸收水、无机盐和维生素。所以,结合分析可知,运动 员在比赛间隙经常饮用运动饮料,主要用于补充体内缺失的水、电解质和能量,人体消化道能够吸收运动 饮料的结构有胃、小肠、大肠。 【小问2详解】 红细胞是数量最多的血细胞,成熟的红细胞没有细胞核,呈两面凹圆饼状,富含血红蛋白,具有运输氧气 的功能。所以,高原训练能够使运动员血液中红细胞的数量明显增加,其意义是红细胞增多,运输氧的能 力增加,可提高运动员的供能水平,使运动员取得更好的成绩。参加越野滑雪时专业选手,由于长期的训 练,使得机体适应了持久的运动,故在比赛阶段其体内血液中乳酸含量比业余选手要低。所以,曲线B代 表专业选手。 【小问3详解】 因为血液中氧气的含量比肺泡中的低,根据气体扩散作用的原理,肺泡中的氧气透过肺泡壁和毛细血管壁 扩散到血液,所以运动过程中,吸入肺泡中的氧气能源源不断进入周围的血液。结合“人体的血液循环途 径简图”可知,组织细胞产生的二氧化碳随血液循环排出体外的过程是:组织细胞→组织周围的毛细血管 →上下腔静脉→右心房→右心室→肺动脉→肺泡周围的毛细血管→肺泡→呼吸道→体外。 【小问4详解】 人在运动时,由于运动需要消耗更多的能量,需要的氧气、有机物更多,因此呼吸的频率会增加,呼吸深 度也增加,以便获取足够的氧气并排出二氧化碳;人体的血液循环也会加快,心率也会增加,目的是加快【淘宝:中小学教辅资源店 微信:mlxt2022】 葡萄糖等有机物和尿素等代谢废物的运输。水是生命之源,一切生命活动都离不开水。人体每天必须通过 各种途径摄入适量的水分,以保障各项生命活动的正常进行。所以,速滑运动员在场上比赛时,会出现心 跳加快、尿液减少的现象。其中心跳加快的意义是心率增加,目的是加快葡萄糖等有机物和尿素等代谢废 物的运输,尿液较平时明显减少的原因是运动员比赛后,出汗很多,人体为了平衡水分,故排尿少。 24. “梁上有双燕,翩翩雄与雌……青虫不易捕,黄口无饱期……须臾十来往,犹恐巢中饥。”唐代诗人 白居易这脍炙人口的诗句,反映了生物繁衍后代的景象。无论动物、植物还是微生物都具有产生后代的能 力,在生生不息的繁衍过程中,物种的遗传信息代代相传,从而实现了物种的延续。 (1)生物的生殖方式包括有性生殖和无性生殖,其根本区别是有无___________的结合;病毒、细菌等微 生物是以___________的方式进行增殖的;科学家赫尔希和蔡斯的实验说明噬菌体在细菌内的增殖是在噬 菌体DNA的作用下完成的,该实验证明了___________。 (2)“种瓜得瓜,种豆得豆。”西瓜的个体发育是从___________开始的,西瓜栽培过程中,常使用嫁接 的方法来提高品质。某生物兴趣小组做了如下嫁接实验:接穗为瓜瓤红色,基因组成为Aa;砧木为瓜瓤黄 色,基因组成为aa。嫁接成活后,用接穗自花传粉,西瓜成熟后,其瓜瓤颜色是___________,种子内胚 芽的基因组成是___________。 (3)若用秋水仙素(一种化学试剂)处理西瓜的幼苗,使细胞内的染色体数目加倍,长成后的西瓜茎秆 粗壮,叶片和果实都比较大,你认为这种变异能遗传吗,并闸释你的理由______________________。 (4)不同的动物具有不同的生殖和发育方式,其中鸟类生殖和发育的突出特点是___________。虎皮鹦鹉 羽毛的颜色黄绿色和天蓝色是一对相对性状(基因用B、b表示),现用虎皮鹦鹉分组进行杂交,结果如 下表所示。 亲代 组别 亲代Ⅰ 子代 Ⅱ 黄绿 甲 黄绿色 全部黄绿色 色 黄绿 乙 黄绿色 黄绿色、天蓝色 色 天蓝 丙 黄绿色 黄绿色、天蓝色 色 ①根据表中___________组的遗传结果可判断出天蓝色是隐性性状。甲组子代的基因组成是___________。 ②若乙组的子代为3只天蓝色虎皮鹦鹉和1只黄绿色虎皮鹦鹉,即天蓝色与黄绿色的比例为3∶1,请解释 该比例产生的原因是______________________。 【答案】(1) ①. 两性生殖细胞 ②. 自我复制、分裂 ③. DNA是遗传物质 (2) ①. 受精卵 ②. 红色 ③. AA或Aa或aa (3)能遗传,染色体数目加倍,说明西瓜的遗传物质发生了改变【淘宝:中小学教辅资源店 微信:mlxt2022】 (4) ①. 体内受精、卵生 ②. 乙 ③. BB或Bb ④. 子代数量太少,不具有统计学意义 【解析】 【分析】1.有性生殖是通过两性生殖细胞(精子和卵细胞)的结合形成的受精卵发育成新个体的生殖方 式,如利用种子繁殖后代。无性生殖是不经过两性生殖细胞的结合,由母体直接产生新个体的生殖方式, 如植物的扦插、嫁接、组织培养等。 2.赫尔希和蔡斯设计了这样一个实验:即让噬菌体去感染细菌,接着把噬菌体与细菌的悬浮液剧烈地震 荡以除去附在细菌表面的噬菌体,再分别测定噬菌体蛋白质的量以及与细菌连在一起的DNA的量。结果 发现大多数DNA留在细菌中,而大多数蛋白质已清除掉了。于是赫尔希和蔡斯得出结论:DNA是从噬菌 体进入细菌的物质,噬菌体的蛋白质外壳都遗留在细菌细胞之外,是噬菌体的DNA主导着噬菌体的生命 的繁衍,DNA确实是遗传物质。 【小问1详解】 结合分析可知,有性生殖和无性生殖的根本区别是有无两性生殖细胞的结合。病毒不能独立生存,只能寄 生在活细胞里,靠自己的遗传物质中的遗传信息,利用细胞内的物质,制造出新的病毒,这就是它的繁殖 (自我复制)。细菌通过分裂的方式进行繁殖,分裂时,细胞首先将它的遗传物质进行复制,然后细胞从 中部向内凹陷,形成两个子细胞。所以,病毒、细菌等微生物是以自我复制、分裂的方式进行增殖的。结 合分析可知,科学家赫尔希和蔡斯的实验说明噬菌体在细菌内的增殖是在噬菌体DNA的作用下完成的, 该实验证明了DNA是遗传物质。 【小问2详解】 除病毒以外的生物基本组成单位是细胞。精子与卵细胞结合形成受精卵,才标志着新生命的起点。所以, 西瓜的个体发育是从受精卵开始的。嫁接属于无性繁殖,没有精子和卵细胞结合成受精卵的过程,后代一 般不会出现变异,能保持嫁接上去的接穗优良性状的稳定,而砧木一般不会对接穗的遗传性产生影响。所 以,接穗西瓜的瓜瓤红色(基因组成为Aa),嫁接后的西瓜植株上结出果实的果肉和接穗的基因是一样的, 即Aa,瓜瓤是红色。西瓜雌蕊子房中的卵细胞受精后形成受精卵,受精卵可发育成胚。所以,用接穗 (Aa)自花传粉,遗传图解如下:【淘宝:中小学教辅资源店 微信:mlxt2022】 所以,西瓜成熟后,种子内胚芽的基因组成:AA或Aa或aa。 【小问3详解】 生物的变异是由于遗传物质发生改变(遗传物质的改变有基因重组、基因突变、染色体变异等)引起的, 这种变异能遗传给下一代,称为可遗传的变异。所以,若用秋水仙素(一种化学试剂)处理西瓜的幼苗, 使细胞内的染色体数目加倍,长成后的西瓜茎秆粗壮,叶片和果实都比较大,这种变异是能遗传的,理由 是:染色体数目加倍,说明西瓜的遗传物质发生了改变。 【小问4详解】 鸟类有雌鸟和雄鸟之分,生殖季节,雌雄鸟交配,精卵结合在雌鸟体内结合成受精卵。雌鸟产具有坚硬外 壳的大型卵。可见鸟类是雌雄异体,体内受精,卵生的动物。故鸟类生殖和发育的突出特点是:体内受精、 卵生。 ①在一对相对性状的遗传过程中,子代个体中出现了亲代没有的性状,新出现的性状一定是隐性性状,亲 代的性状是显性性状,亲代的基因组成是杂合的。所以,根据甲组的遗传规律(亲代:黄绿色×黄绿色→ 子代出现:天蓝色),可推知黄绿色是显性性状(基因组成为BB或Bb),天蓝色是隐性性状(基因组成 为bb)。天蓝色子代的基因组成是bb,一个b基因来自父方,一个b基因来自母方,因此黄绿色亲代的基 因组成为Bb和Bb,遗传图解如下:【淘宝:中小学教辅资源店 微信:mlxt2022】 所以,根据表中乙组的遗传结果可判断出天蓝色是隐性性状。甲组的子代全部黄绿色,说明亲代至少有 一个是显性纯合子(BB),另一个亲本的基因组成是BB或Bb,所以,甲组子代的基因组成是BB或 Bb。 ②结合上述分析可知:乙组的子代理论上是,黄绿色:天蓝色=3:1。若乙组的子代为3只天蓝色虎皮鹦鹉 和1只黄绿色虎皮鹦鹉,即天蓝色与黄绿色的比例为3∶1。产生这种现象的原因是:理论比值是统计了大量 子代后,得出的结论。而本例中由于子代数量太少,不具有统计学意义,故后代表现性比例与理论比值不 相符合。 25. 为积极应对全球气候变化,我国政府在2020年的联合国大会上宣布,中国将于2030年前确保碳达峰, 力争在2060年前实现碳中和(二氧化碳排放量与减少量相等),这是中国向全世界的郑重承诺,彰显了大 国责任。下图是某自然生态系统中碳循环示意图,图中字母表示该生态系统的不同成分。 (1)在自然生态系统中,d通过___________从e中摄取碳的速率与___________(用图中字母表示)呼吸 作用(或分解作用)释放碳的速率大致相等,可以自我维持动态平衡。在通常情况下,适度地引种外来绿 化苗木,并不会造成该生态系统的动态失衡,原因是___________。 (2)碳循环具有全球性和周而复始的特点,碳在生态系统中的传递形式是___________。随着现代工业的 迅速发展,人类活动打破了碳循环的平衡,使大气中碳的含量迅速增加,现在倡导的“碳中和”就是要通【淘宝:中小学教辅资源店 微信:mlxt2022】 过一些具体的措施实现碳的排放和吸收正负抵消,请列举两项可行性措施___________。 (3)流经该自然生态系统的总能量是_________________,经a流入b体内的能量最终去向是___________。 (4)为做好垃圾分类和处理工作,现在社会上使用的部分专用餐具加入微生物后可直接被降解,参与此 过程的微生物在生态系统成分中属于图中[ ]___________。废旧电池中的重金属离子进入土壤后会被植物 吸收,沿食物链逐级积累而可能会影响人体健康,因此,废旧电池应投入___________(填颜色)垃圾回 收箱内,然后进行集中处理。 【答案】(1) ①. 光合作用 ②. a、b、c、d ③. 该生态系统具有一定的调节能力 (2) ①. 二氧化碳、有机物 ②. 提倡使用节能技术和节能产品;减少生活作息中所耗用的能量(如 节约水电、出行时不坐私家车改乘公交车、步行、骑自行车等);植树造林等 (3) ①. 绿色植物通过光合作用固定的太阳能 ②. 呼吸作用散失,流入c分解者 (4) ①. [c]分解者 ②. 红色 【解析】 【分析】1.生产者、消费者和分解者都能释放二氧化碳,生产者(主要是绿色植物),能进行光合作用 吸收二氧化碳,也能进行呼吸作用释放二氧化碳,因此双箭头两边的e是二氧化碳,d是生产者;生产者 和消费者都能被分解者分解,因此c是分解者;生产者被消费者捕食,因此a和b是消费者。所以,e代表 二氧化碳,d是生产者,a和b是消费者,c是分解者。 2.分类垃圾桶: 【小问1详解】 生产者、消费者和分解者都能通过呼吸作用释放二氧化碳,生产者(主要是绿色植物),能进行光合作用 吸收二氧化碳,也能进行呼吸作用释放二氧化碳。所以,在自然生态系统中,d生产者通过光合作用从e 大气中的二氧化碳库中摄取碳的速率与a、b、c、d通过呼吸作用(或分解作用)释放碳的速率大致相等, 可以自我维持动态平衡。在生态系统中,虽然各种生物的数量是在不断变化的,但在一般情况下,各种生 物的数量和所占的比例是相对稳定的,这说明生态系统具有一定的自动调节能力。所以,该生态系统具有 一定的调节能力,在通常情况下,适度地引种外来绿化苗木,并不会造成该生态系统的动态失衡。 【小问2详解】【淘宝:中小学教辅资源店 微信:mlxt2022】 物质循环的主要形式是碳循环,碳循环具有全球性和周而复始的特点,在生物与无机环境之间碳主要是以 二氧化碳形式进行循环,在生物与生物之间碳主要是以有机物形式进行循环。所以,碳在生态系统中的传 递形式是二氧化碳、有机物。实现“碳中和”,是指企业、团体或个人测算在一定时间内,直接或间接产 生的温室气体排放总量,通过植树造林、节能减排等形式,抵消自身产生的二氧化碳排放,实现二氧化碳 的“零排放”。可行性措施有:提倡使用节能技术和节能产品;减少生活作息中所耗用的能量(如节约水 电、出行时不坐私家车改乘公交车、步行、骑自行车等);植树造林等。 【小问3详解】 能量流动是指生态系统中能量的输入(通过植物的光合作用把光能固定,转化成化学能)、传递(流入下 一营养级,流入分解者)和散失(各生物的呼吸作用散失)的过程。生态系统中绝大多数生物生命活动所 需能量的最终来源是植物进行光合作用固定的太阳能。能量在流动过程中一部分通过生物的呼吸作用散失, 还有一部分流向分解者,因此能量流动一般是沿着食物链和食物网单方向流动、且是逐级递减的。所以, 流经该自然生态系统的总能量是绿色植物通过光合作用固定的太阳能。在本生态系统中,经a初级消费者 流入b次级消费者体内的能量最终去向是:呼吸作用散失,流入c分解者。 【小问4详解】 [c]分解者是指生态系统中细菌、真菌和放线菌等具有分解能力的生物,也包括某些原生动物和腐食性动 物(蚯蚓、屎克螂和白蚁)。它们能把动植物残体中复杂的有机物,分解成简单的无机物(无机盐、二氧 化碳、水),释放到环境中,供生产者再一次利用。按目前主流的分法,将生活垃圾分成了4类:可回收 垃圾,厨余(湿)垃圾,有害垃圾和其它(干)垃圾,并用不同颜色的垃圾桶区别。可回收垃圾,颜色为 蓝色,垃圾桶上一般都还有由三个箭头组成的呈三角形的循环符号。厨余(湿)垃圾,垃圾桶颜色为棕色。 有害垃圾,主要是指废旧电池、荧光灯管等,垃圾桶颜色为红色。其它(干)垃圾,即废弃的纸张、料、 玻璃等,垃圾桶颜色为黑色。因此,废旧电池是有害垃圾,应投入红色垃圾回收箱内,然后进行集中处理。【淘宝:中小学教辅资源店 微信:mlxt2022】