当前位置:首页>文档>数学答案_2024届重庆缙云教育联盟高三高考第一次诊断性检测(一模)_重庆缙云教育联盟2024届高三高考第一次诊断性检测(一模)数学

数学答案_2024届重庆缙云教育联盟高三高考第一次诊断性检测(一模)_重庆缙云教育联盟2024届高三高考第一次诊断性检测(一模)数学

  • 2026-04-01 14:45:07 2026-02-09 03:41:21

文档预览

数学答案_2024届重庆缙云教育联盟高三高考第一次诊断性检测(一模)_重庆缙云教育联盟2024届高三高考第一次诊断性检测(一模)数学
数学答案_2024届重庆缙云教育联盟高三高考第一次诊断性检测(一模)_重庆缙云教育联盟2024届高三高考第一次诊断性检测(一模)数学
数学答案_2024届重庆缙云教育联盟高三高考第一次诊断性检测(一模)_重庆缙云教育联盟2024届高三高考第一次诊断性检测(一模)数学
数学答案_2024届重庆缙云教育联盟高三高考第一次诊断性检测(一模)_重庆缙云教育联盟2024届高三高考第一次诊断性检测(一模)数学
数学答案_2024届重庆缙云教育联盟高三高考第一次诊断性检测(一模)_重庆缙云教育联盟2024届高三高考第一次诊断性检测(一模)数学
数学答案_2024届重庆缙云教育联盟高三高考第一次诊断性检测(一模)_重庆缙云教育联盟2024届高三高考第一次诊断性检测(一模)数学
数学答案_2024届重庆缙云教育联盟高三高考第一次诊断性检测(一模)_重庆缙云教育联盟2024届高三高考第一次诊断性检测(一模)数学
数学答案_2024届重庆缙云教育联盟高三高考第一次诊断性检测(一模)_重庆缙云教育联盟2024届高三高考第一次诊断性检测(一模)数学
数学答案_2024届重庆缙云教育联盟高三高考第一次诊断性检测(一模)_重庆缙云教育联盟2024届高三高考第一次诊断性检测(一模)数学
数学答案_2024届重庆缙云教育联盟高三高考第一次诊断性检测(一模)_重庆缙云教育联盟2024届高三高考第一次诊断性检测(一模)数学
数学答案_2024届重庆缙云教育联盟高三高考第一次诊断性检测(一模)_重庆缙云教育联盟2024届高三高考第一次诊断性检测(一模)数学
数学答案_2024届重庆缙云教育联盟高三高考第一次诊断性检测(一模)_重庆缙云教育联盟2024届高三高考第一次诊断性检测(一模)数学
数学答案_2024届重庆缙云教育联盟高三高考第一次诊断性检测(一模)_重庆缙云教育联盟2024届高三高考第一次诊断性检测(一模)数学
数学答案_2024届重庆缙云教育联盟高三高考第一次诊断性检测(一模)_重庆缙云教育联盟2024届高三高考第一次诊断性检测(一模)数学
数学答案_2024届重庆缙云教育联盟高三高考第一次诊断性检测(一模)_重庆缙云教育联盟2024届高三高考第一次诊断性检测(一模)数学
数学答案_2024届重庆缙云教育联盟高三高考第一次诊断性检测(一模)_重庆缙云教育联盟2024届高三高考第一次诊断性检测(一模)数学

文档信息

文档格式
docx
文档大小
1.067 MB
文档页数
12 页
上传时间
2026-02-09 03:41:21

文档内容

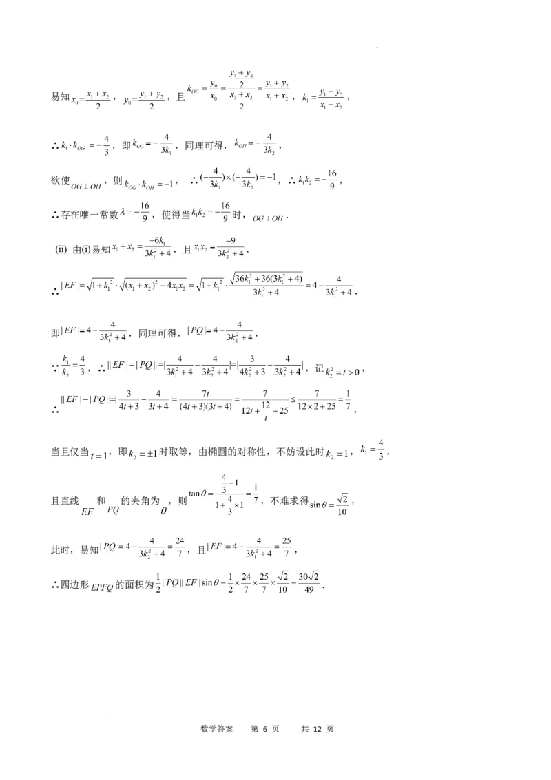
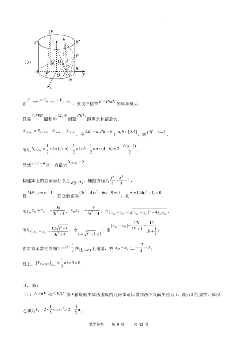
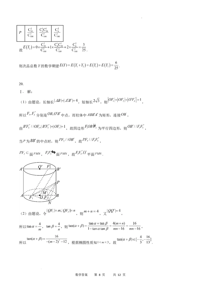
2024CEE-01 数学 重 庆 缙 云 教 育 联 盟 2024 年高考第一次诊断性检测 数学参考答案 一、选择题 1.A 2.D 3.C 4.C 5.A 6.C 7.A 二、多项选择题 8.BCD 9.ACDE 10.ACE 三、填空题 11. 12. 13. 14. 四、解答题 15.解: (1)由余弦定理形式 和 , 因此 . 又 ,即 , 由正弦定理 得: , 整理得: , . , , , . 数学答案 第 1 页 共 12 页 学科网(北京)股份有限公司(2)由 ,得 ,得 . 在△ACD中,由余弦定理得 , 为 的中点, , 即 , (其中 ), . 由正弦定理得 , , , 即 . , 由 ,可得 ; , . 16.解: (1)因为 , ,所以 即 ,① 当 时, ② ② ①得: 即 ,当 时, ,所以 , 所以 是以2为首项, 为公比的等比数列, 所以 ,又因为 , 所以当 时, ; 当 时, , 综上所 述: . (2)因为 , ,由题意知: , 数学答案 第 2 页 共 12 页 学科网(北京)股份有限公司所以 ,假设在数列 中是否存在3项 ,(其中m,k,p成等差数列)成等比数列, 则 ,即 化简得: , 又因为m,k,p成等差数列,所以 , 所以 即 ,又 ,所以 即 ,所以 ,这与题设矛盾. 所以在数列 中不存在3项 ,(其中m,k,p成等差数列)成等比数列. 17.解: (1)由 ,得函数的定义域为 , 又 , 当 时, 恒成立,所以 在 上单调递增; 当 时,令 ,得 ;令 ,得 ; 所以, 的单调递减区间为 ,单调递增区间为 ; (2)由 ,得 , 故欲证 ,只需证: ,即证 , 又 , , ,不妨设 , ,等价于 ,令 ( 数学答案 第 3 页 共 12 页 学科网(北京)股份有限公司),等价于 ( ), ,所以 在 单调递增,而 , 所以,当 时, 恒成立. 所以 ,所以 . (3)函数 有两个零点 , ,所以 , , 不妨设 , , 即 ,要证: , 需证: 只需证: ,只需证: , 只需证: ,只需证: , 令 ,只需证: , 令 , , 所以 在 上单调递减,所以 ,即 , 故 . 也可由对数均值不等式 ( ),即 , 令 ( ),则 ,即 , 数学答案 第 4 页 共 12 页 学科网(北京)股份有限公司所以 . 18.解: (1)由题意得 ,易知 , 由椭圆定义可知,动点 在以 , 为焦点,且长轴长为 的椭圆上, 又 不能在直线 上,∴ 的方程为: . (2)(2)(i) (法一)设 , , , 易知直线 的方程为 , 联立 ,得 , ∴ , ∴ , ,即 , 同理可得, ,∴ , 欲使 ,则 ,即 ,∴ , ∴存在唯一常数 ,使得当 时, . (法二)设 , , , 易知 的斜率 不为零,否则 与 重合, 欲使 ,则 将在 轴上,又 为 的中点,则 轴,这与 过 矛盾, 故 ,同理有 ,则 ,可得 , 数学答案 第 5 页 共 12 页 学科网(北京)股份有限公司易知 , ,且 , , ∴ ,即 ,同理可得, , 欲使 ,则 , ∴ ,∴ , ∴存在唯一常数 ,使得当 时, . (ii) 由(i)易知 ,且 , ∴ , 即 ,同理可得, , ∵ ,∴ ,记 , ∴ , 当且仅当 ,即 时取等,由椭圆的对称性,不妨设此时 , , 且直线 和 的夹角为 ,则 ,不难求得 , 此时,易知 ,且 , ∴四边形 的面积为 . 数学答案 第 6 页 共 12 页 学科网(北京)股份有限公司19.解: (1) , , , , , , 所以 与 的线性回归方程为 ; (2) , , , , , , , , , 设备M的性能等级为丙级. (3)样本中直径小于等于 的共有2件,直径大于 的零件共有4件, 所以样本中次品共6件,可估计设备M生产零件的次品率为0.06.由题意可知从设备M的生产流水线上随 意抽取2件零件, 其中次品数设为Y1,则 ,于是 ; 从样本中随意抽取2件零件其次品数设为Y2,由题意可知Y2的分布列为: Y2 0 1 2 数学答案 第 7 页 共 12 页 学科网(北京)股份有限公司P 故 . 则次品总数Y的数学期望 . 20. Ⅰ. 解: (1)由题设,长轴长 ,短轴长 ,则 , 所以 分别是 中点,而柱体中 为矩形,连接 , 由 ,故四边形 为平行四边形,则 , 当 为 的中点时,则 ,故 , 面 , 面 ,故 平面 . (2)由题设,令 ,则 ,又 , 所以 , ,则 , 所以 ,根据椭圆性质知 ,故 . 数学答案 第 8 页 共 12 页 学科网(北京)股份有限公司(3) 由 ,要使三棱锥 的体积最大, 只需 面积和 到面 距离之和都最大, ,令 且 ,则 , 所以 , 显然 时,有最大 ; 构建如上图直角坐标系且 ,椭圆方程为 , 设 ,联立椭圆得 ,且 , 所以 , ,而 , 所以 ,令 ,则 , 由对勾函数性质知 在 上递增,故 ; 综上, . Ⅱ. 解: (1) 和 绕 轴旋转半周所围成的几何体可以得到两个底面半径为1,高为2的圆锥,体积 之和为 ; 数学答案 第 9 页 共 12 页 学科网(北京)股份有限公司正方形 绕 轴旋转半周所围成的几何体为一个底面半径为1,高为2的圆柱,体积为 . 所以,总的体积 . (2)如图3,取 中点为 ,连接 ,则 . 因为 , 中点为 ,所以 . 又平面 平面 ,平面 平面 , 所以, 平面 ,即 平面 . 以点 为坐标原点,如图3建立空间直角坐标系, 由已知可得 , , , , 所以, , , , , , 所以, , , 所以, , 所以,异面直线 与 所成的角 的余弦值为 , 所以, . 数学答案 第 10 页 共 12 页 学科网(北京)股份有限公司(3) 由已知可得,圆心为 点,则半径 . 六边形 绕 轴旋转半周所围成的几何体的体积,等于直角梯形 绕直角边 所在的直线旋 转一周得到的几何体体积的2倍. 直角梯形 绕直角边 所在的直线旋转一周得到的几何体,为一个上、下底面半径分别为1、3,高 为1的圆台,体积 ; 剩下的两部分为全等的弓形, 先研究弓形 绕 轴旋转半周,得到的几何体为球缺. 现在用祖暅原理来求解该球缺的体积, 如图5,半球的半径和圆柱的底面半径均为 ,且圆柱的高 ,且 , 在半球中,高度为 ,且平行于底面的截面圆的半径 ,面积为 . 在圆柱中,连接 ,设 交高度为 ,且平行于底面的截面于点 , 显然△UVN∽△UW N ,所以有 ,即 , 1 所以 . 所以,当高度为 时,圆环的面积等于大圆的面积减去小圆的面积, 数学答案 第 11 页 共 12 页 学科网(北京)股份有限公司即圆环的面积 , 所以,当高度为 时,半球的截面与圆柱中的截面圆环的面积相等. 根据祖暅原理可知,半球某高度截面以上的体积(即球缺的体积),即等于圆柱该截面以上(挖去一个圆 台)的体积. 所以,球缺的体积 (其 中 为半球被截面截去球缺后剩余部分的高). 由已知可得,弓形 绕 轴旋转半周,得到的几何体为球缺中, , , 所以,该球缺的体积 . 所以,总的体积 . 数学答案 第 12 页 共 12 页 学科网(北京)股份有限公司