当前位置:首页>文档>专题03函数的概念与性质(3种经典基础练+5种优选提升练)解析版_1多考区联考试卷_0105好题汇编备战2024-2025学年高一数学上学期期末真题分类汇编(新高考通用)

专题03函数的概念与性质(3种经典基础练+5种优选提升练)解析版_1多考区联考试卷_0105好题汇编备战2024-2025学年高一数学上学期期末真题分类汇编(新高考通用)

  • 2026-04-08 08:36:30 2026-02-09 04:37:41

文档预览

专题03函数的概念与性质(3种经典基础练+5种优选提升练)解析版_1多考区联考试卷_0105好题汇编备战2024-2025学年高一数学上学期期末真题分类汇编(新高考通用)
专题03函数的概念与性质(3种经典基础练+5种优选提升练)解析版_1多考区联考试卷_0105好题汇编备战2024-2025学年高一数学上学期期末真题分类汇编(新高考通用)
专题03函数的概念与性质(3种经典基础练+5种优选提升练)解析版_1多考区联考试卷_0105好题汇编备战2024-2025学年高一数学上学期期末真题分类汇编(新高考通用)
专题03函数的概念与性质(3种经典基础练+5种优选提升练)解析版_1多考区联考试卷_0105好题汇编备战2024-2025学年高一数学上学期期末真题分类汇编(新高考通用)
专题03函数的概念与性质(3种经典基础练+5种优选提升练)解析版_1多考区联考试卷_0105好题汇编备战2024-2025学年高一数学上学期期末真题分类汇编(新高考通用)
专题03函数的概念与性质(3种经典基础练+5种优选提升练)解析版_1多考区联考试卷_0105好题汇编备战2024-2025学年高一数学上学期期末真题分类汇编(新高考通用)
专题03函数的概念与性质(3种经典基础练+5种优选提升练)解析版_1多考区联考试卷_0105好题汇编备战2024-2025学年高一数学上学期期末真题分类汇编(新高考通用)
专题03函数的概念与性质(3种经典基础练+5种优选提升练)解析版_1多考区联考试卷_0105好题汇编备战2024-2025学年高一数学上学期期末真题分类汇编(新高考通用)
专题03函数的概念与性质(3种经典基础练+5种优选提升练)解析版_1多考区联考试卷_0105好题汇编备战2024-2025学年高一数学上学期期末真题分类汇编(新高考通用)
专题03函数的概念与性质(3种经典基础练+5种优选提升练)解析版_1多考区联考试卷_0105好题汇编备战2024-2025学年高一数学上学期期末真题分类汇编(新高考通用)
专题03函数的概念与性质(3种经典基础练+5种优选提升练)解析版_1多考区联考试卷_0105好题汇编备战2024-2025学年高一数学上学期期末真题分类汇编(新高考通用)
专题03函数的概念与性质(3种经典基础练+5种优选提升练)解析版_1多考区联考试卷_0105好题汇编备战2024-2025学年高一数学上学期期末真题分类汇编(新高考通用)
专题03函数的概念与性质(3种经典基础练+5种优选提升练)解析版_1多考区联考试卷_0105好题汇编备战2024-2025学年高一数学上学期期末真题分类汇编(新高考通用)
专题03函数的概念与性质(3种经典基础练+5种优选提升练)解析版_1多考区联考试卷_0105好题汇编备战2024-2025学年高一数学上学期期末真题分类汇编(新高考通用)
专题03函数的概念与性质(3种经典基础练+5种优选提升练)解析版_1多考区联考试卷_0105好题汇编备战2024-2025学年高一数学上学期期末真题分类汇编(新高考通用)
专题03函数的概念与性质(3种经典基础练+5种优选提升练)解析版_1多考区联考试卷_0105好题汇编备战2024-2025学年高一数学上学期期末真题分类汇编(新高考通用)
专题03函数的概念与性质(3种经典基础练+5种优选提升练)解析版_1多考区联考试卷_0105好题汇编备战2024-2025学年高一数学上学期期末真题分类汇编(新高考通用)
专题03函数的概念与性质(3种经典基础练+5种优选提升练)解析版_1多考区联考试卷_0105好题汇编备战2024-2025学年高一数学上学期期末真题分类汇编(新高考通用)
专题03函数的概念与性质(3种经典基础练+5种优选提升练)解析版_1多考区联考试卷_0105好题汇编备战2024-2025学年高一数学上学期期末真题分类汇编(新高考通用)
专题03函数的概念与性质(3种经典基础练+5种优选提升练)解析版_1多考区联考试卷_0105好题汇编备战2024-2025学年高一数学上学期期末真题分类汇编(新高考通用)
专题03函数的概念与性质(3种经典基础练+5种优选提升练)解析版_1多考区联考试卷_0105好题汇编备战2024-2025学年高一数学上学期期末真题分类汇编(新高考通用)
专题03函数的概念与性质(3种经典基础练+5种优选提升练)解析版_1多考区联考试卷_0105好题汇编备战2024-2025学年高一数学上学期期末真题分类汇编(新高考通用)
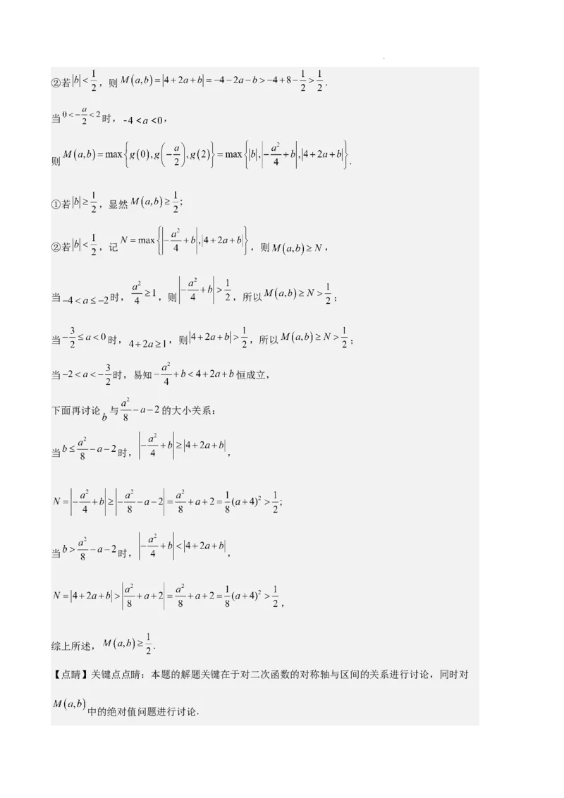
专题03函数的概念与性质(3种经典基础练+5种优选提升练)解析版_1多考区联考试卷_0105好题汇编备战2024-2025学年高一数学上学期期末真题分类汇编(新高考通用)
专题03函数的概念与性质(3种经典基础练+5种优选提升练)解析版_1多考区联考试卷_0105好题汇编备战2024-2025学年高一数学上学期期末真题分类汇编(新高考通用)
专题03函数的概念与性质(3种经典基础练+5种优选提升练)解析版_1多考区联考试卷_0105好题汇编备战2024-2025学年高一数学上学期期末真题分类汇编(新高考通用)
专题03函数的概念与性质(3种经典基础练+5种优选提升练)解析版_1多考区联考试卷_0105好题汇编备战2024-2025学年高一数学上学期期末真题分类汇编(新高考通用)
专题03函数的概念与性质(3种经典基础练+5种优选提升练)解析版_1多考区联考试卷_0105好题汇编备战2024-2025学年高一数学上学期期末真题分类汇编(新高考通用)
专题03函数的概念与性质(3种经典基础练+5种优选提升练)解析版_1多考区联考试卷_0105好题汇编备战2024-2025学年高一数学上学期期末真题分类汇编(新高考通用)
专题03函数的概念与性质(3种经典基础练+5种优选提升练)解析版_1多考区联考试卷_0105好题汇编备战2024-2025学年高一数学上学期期末真题分类汇编(新高考通用)
专题03函数的概念与性质(3种经典基础练+5种优选提升练)解析版_1多考区联考试卷_0105好题汇编备战2024-2025学年高一数学上学期期末真题分类汇编(新高考通用)
专题03函数的概念与性质(3种经典基础练+5种优选提升练)解析版_1多考区联考试卷_0105好题汇编备战2024-2025学年高一数学上学期期末真题分类汇编(新高考通用)
专题03函数的概念与性质(3种经典基础练+5种优选提升练)解析版_1多考区联考试卷_0105好题汇编备战2024-2025学年高一数学上学期期末真题分类汇编(新高考通用)
专题03函数的概念与性质(3种经典基础练+5种优选提升练)解析版_1多考区联考试卷_0105好题汇编备战2024-2025学年高一数学上学期期末真题分类汇编(新高考通用)
专题03函数的概念与性质(3种经典基础练+5种优选提升练)解析版_1多考区联考试卷_0105好题汇编备战2024-2025学年高一数学上学期期末真题分类汇编(新高考通用)
专题03函数的概念与性质(3种经典基础练+5种优选提升练)解析版_1多考区联考试卷_0105好题汇编备战2024-2025学年高一数学上学期期末真题分类汇编(新高考通用)
专题03函数的概念与性质(3种经典基础练+5种优选提升练)解析版_1多考区联考试卷_0105好题汇编备战2024-2025学年高一数学上学期期末真题分类汇编(新高考通用)
专题03函数的概念与性质(3种经典基础练+5种优选提升练)解析版_1多考区联考试卷_0105好题汇编备战2024-2025学年高一数学上学期期末真题分类汇编(新高考通用)
专题03函数的概念与性质(3种经典基础练+5种优选提升练)解析版_1多考区联考试卷_0105好题汇编备战2024-2025学年高一数学上学期期末真题分类汇编(新高考通用)
专题03函数的概念与性质(3种经典基础练+5种优选提升练)解析版_1多考区联考试卷_0105好题汇编备战2024-2025学年高一数学上学期期末真题分类汇编(新高考通用)
专题03函数的概念与性质(3种经典基础练+5种优选提升练)解析版_1多考区联考试卷_0105好题汇编备战2024-2025学年高一数学上学期期末真题分类汇编(新高考通用)
专题03函数的概念与性质(3种经典基础练+5种优选提升练)解析版_1多考区联考试卷_0105好题汇编备战2024-2025学年高一数学上学期期末真题分类汇编(新高考通用)
专题03函数的概念与性质(3种经典基础练+5种优选提升练)解析版_1多考区联考试卷_0105好题汇编备战2024-2025学年高一数学上学期期末真题分类汇编(新高考通用)
专题03函数的概念与性质(3种经典基础练+5种优选提升练)解析版_1多考区联考试卷_0105好题汇编备战2024-2025学年高一数学上学期期末真题分类汇编(新高考通用)
专题03函数的概念与性质(3种经典基础练+5种优选提升练)解析版_1多考区联考试卷_0105好题汇编备战2024-2025学年高一数学上学期期末真题分类汇编(新高考通用)
专题03函数的概念与性质(3种经典基础练+5种优选提升练)解析版_1多考区联考试卷_0105好题汇编备战2024-2025学年高一数学上学期期末真题分类汇编(新高考通用)
专题03函数的概念与性质(3种经典基础练+5种优选提升练)解析版_1多考区联考试卷_0105好题汇编备战2024-2025学年高一数学上学期期末真题分类汇编(新高考通用)
专题03函数的概念与性质(3种经典基础练+5种优选提升练)解析版_1多考区联考试卷_0105好题汇编备战2024-2025学年高一数学上学期期末真题分类汇编(新高考通用)
专题03函数的概念与性质(3种经典基础练+5种优选提升练)解析版_1多考区联考试卷_0105好题汇编备战2024-2025学年高一数学上学期期末真题分类汇编(新高考通用)
专题03函数的概念与性质(3种经典基础练+5种优选提升练)解析版_1多考区联考试卷_0105好题汇编备战2024-2025学年高一数学上学期期末真题分类汇编(新高考通用)
专题03函数的概念与性质(3种经典基础练+5种优选提升练)解析版_1多考区联考试卷_0105好题汇编备战2024-2025学年高一数学上学期期末真题分类汇编(新高考通用)
专题03函数的概念与性质(3种经典基础练+5种优选提升练)解析版_1多考区联考试卷_0105好题汇编备战2024-2025学年高一数学上学期期末真题分类汇编(新高考通用)
专题03函数的概念与性质(3种经典基础练+5种优选提升练)解析版_1多考区联考试卷_0105好题汇编备战2024-2025学年高一数学上学期期末真题分类汇编(新高考通用)
专题03函数的概念与性质(3种经典基础练+5种优选提升练)解析版_1多考区联考试卷_0105好题汇编备战2024-2025学年高一数学上学期期末真题分类汇编(新高考通用)
专题03函数的概念与性质(3种经典基础练+5种优选提升练)解析版_1多考区联考试卷_0105好题汇编备战2024-2025学年高一数学上学期期末真题分类汇编(新高考通用)
专题03函数的概念与性质(3种经典基础练+5种优选提升练)解析版_1多考区联考试卷_0105好题汇编备战2024-2025学年高一数学上学期期末真题分类汇编(新高考通用)
专题03函数的概念与性质(3种经典基础练+5种优选提升练)解析版_1多考区联考试卷_0105好题汇编备战2024-2025学年高一数学上学期期末真题分类汇编(新高考通用)
专题03函数的概念与性质(3种经典基础练+5种优选提升练)解析版_1多考区联考试卷_0105好题汇编备战2024-2025学年高一数学上学期期末真题分类汇编(新高考通用)
专题03函数的概念与性质(3种经典基础练+5种优选提升练)解析版_1多考区联考试卷_0105好题汇编备战2024-2025学年高一数学上学期期末真题分类汇编(新高考通用)
专题03函数的概念与性质(3种经典基础练+5种优选提升练)解析版_1多考区联考试卷_0105好题汇编备战2024-2025学年高一数学上学期期末真题分类汇编(新高考通用)
专题03函数的概念与性质(3种经典基础练+5种优选提升练)解析版_1多考区联考试卷_0105好题汇编备战2024-2025学年高一数学上学期期末真题分类汇编(新高考通用)
专题03函数的概念与性质(3种经典基础练+5种优选提升练)解析版_1多考区联考试卷_0105好题汇编备战2024-2025学年高一数学上学期期末真题分类汇编(新高考通用)
专题03函数的概念与性质(3种经典基础练+5种优选提升练)解析版_1多考区联考试卷_0105好题汇编备战2024-2025学年高一数学上学期期末真题分类汇编(新高考通用)
专题03函数的概念与性质(3种经典基础练+5种优选提升练)解析版_1多考区联考试卷_0105好题汇编备战2024-2025学年高一数学上学期期末真题分类汇编(新高考通用)
专题03函数的概念与性质(3种经典基础练+5种优选提升练)解析版_1多考区联考试卷_0105好题汇编备战2024-2025学年高一数学上学期期末真题分类汇编(新高考通用)
专题03函数的概念与性质(3种经典基础练+5种优选提升练)解析版_1多考区联考试卷_0105好题汇编备战2024-2025学年高一数学上学期期末真题分类汇编(新高考通用)
专题03函数的概念与性质(3种经典基础练+5种优选提升练)解析版_1多考区联考试卷_0105好题汇编备战2024-2025学年高一数学上学期期末真题分类汇编(新高考通用)
专题03函数的概念与性质(3种经典基础练+5种优选提升练)解析版_1多考区联考试卷_0105好题汇编备战2024-2025学年高一数学上学期期末真题分类汇编(新高考通用)
专题03函数的概念与性质(3种经典基础练+5种优选提升练)解析版_1多考区联考试卷_0105好题汇编备战2024-2025学年高一数学上学期期末真题分类汇编(新高考通用)
专题03函数的概念与性质(3种经典基础练+5种优选提升练)解析版_1多考区联考试卷_0105好题汇编备战2024-2025学年高一数学上学期期末真题分类汇编(新高考通用)
专题03函数的概念与性质(3种经典基础练+5种优选提升练)解析版_1多考区联考试卷_0105好题汇编备战2024-2025学年高一数学上学期期末真题分类汇编(新高考通用)
专题03函数的概念与性质(3种经典基础练+5种优选提升练)解析版_1多考区联考试卷_0105好题汇编备战2024-2025学年高一数学上学期期末真题分类汇编(新高考通用)
专题03函数的概念与性质(3种经典基础练+5种优选提升练)解析版_1多考区联考试卷_0105好题汇编备战2024-2025学年高一数学上学期期末真题分类汇编(新高考通用)
专题03函数的概念与性质(3种经典基础练+5种优选提升练)解析版_1多考区联考试卷_0105好题汇编备战2024-2025学年高一数学上学期期末真题分类汇编(新高考通用)
专题03函数的概念与性质(3种经典基础练+5种优选提升练)解析版_1多考区联考试卷_0105好题汇编备战2024-2025学年高一数学上学期期末真题分类汇编(新高考通用)
专题03函数的概念与性质(3种经典基础练+5种优选提升练)解析版_1多考区联考试卷_0105好题汇编备战2024-2025学年高一数学上学期期末真题分类汇编(新高考通用)
专题03函数的概念与性质(3种经典基础练+5种优选提升练)解析版_1多考区联考试卷_0105好题汇编备战2024-2025学年高一数学上学期期末真题分类汇编(新高考通用)
专题03函数的概念与性质(3种经典基础练+5种优选提升练)解析版_1多考区联考试卷_0105好题汇编备战2024-2025学年高一数学上学期期末真题分类汇编(新高考通用)
专题03函数的概念与性质(3种经典基础练+5种优选提升练)解析版_1多考区联考试卷_0105好题汇编备战2024-2025学年高一数学上学期期末真题分类汇编(新高考通用)
专题03函数的概念与性质(3种经典基础练+5种优选提升练)解析版_1多考区联考试卷_0105好题汇编备战2024-2025学年高一数学上学期期末真题分类汇编(新高考通用)
专题03函数的概念与性质(3种经典基础练+5种优选提升练)解析版_1多考区联考试卷_0105好题汇编备战2024-2025学年高一数学上学期期末真题分类汇编(新高考通用)
专题03函数的概念与性质(3种经典基础练+5种优选提升练)解析版_1多考区联考试卷_0105好题汇编备战2024-2025学年高一数学上学期期末真题分类汇编(新高考通用)
专题03函数的概念与性质(3种经典基础练+5种优选提升练)解析版_1多考区联考试卷_0105好题汇编备战2024-2025学年高一数学上学期期末真题分类汇编(新高考通用)
专题03函数的概念与性质(3种经典基础练+5种优选提升练)解析版_1多考区联考试卷_0105好题汇编备战2024-2025学年高一数学上学期期末真题分类汇编(新高考通用)
专题03函数的概念与性质(3种经典基础练+5种优选提升练)解析版_1多考区联考试卷_0105好题汇编备战2024-2025学年高一数学上学期期末真题分类汇编(新高考通用)
专题03函数的概念与性质(3种经典基础练+5种优选提升练)解析版_1多考区联考试卷_0105好题汇编备战2024-2025学年高一数学上学期期末真题分类汇编(新高考通用)
专题03函数的概念与性质(3种经典基础练+5种优选提升练)解析版_1多考区联考试卷_0105好题汇编备战2024-2025学年高一数学上学期期末真题分类汇编(新高考通用)
专题03函数的概念与性质(3种经典基础练+5种优选提升练)解析版_1多考区联考试卷_0105好题汇编备战2024-2025学年高一数学上学期期末真题分类汇编(新高考通用)
专题03函数的概念与性质(3种经典基础练+5种优选提升练)解析版_1多考区联考试卷_0105好题汇编备战2024-2025学年高一数学上学期期末真题分类汇编(新高考通用)
专题03函数的概念与性质(3种经典基础练+5种优选提升练)解析版_1多考区联考试卷_0105好题汇编备战2024-2025学年高一数学上学期期末真题分类汇编(新高考通用)
专题03函数的概念与性质(3种经典基础练+5种优选提升练)解析版_1多考区联考试卷_0105好题汇编备战2024-2025学年高一数学上学期期末真题分类汇编(新高考通用)
专题03函数的概念与性质(3种经典基础练+5种优选提升练)解析版_1多考区联考试卷_0105好题汇编备战2024-2025学年高一数学上学期期末真题分类汇编(新高考通用)
专题03函数的概念与性质(3种经典基础练+5种优选提升练)解析版_1多考区联考试卷_0105好题汇编备战2024-2025学年高一数学上学期期末真题分类汇编(新高考通用)
专题03函数的概念与性质(3种经典基础练+5种优选提升练)解析版_1多考区联考试卷_0105好题汇编备战2024-2025学年高一数学上学期期末真题分类汇编(新高考通用)
专题03函数的概念与性质(3种经典基础练+5种优选提升练)解析版_1多考区联考试卷_0105好题汇编备战2024-2025学年高一数学上学期期末真题分类汇编(新高考通用)
专题03函数的概念与性质(3种经典基础练+5种优选提升练)解析版_1多考区联考试卷_0105好题汇编备战2024-2025学年高一数学上学期期末真题分类汇编(新高考通用)
专题03函数的概念与性质(3种经典基础练+5种优选提升练)解析版_1多考区联考试卷_0105好题汇编备战2024-2025学年高一数学上学期期末真题分类汇编(新高考通用)
专题03函数的概念与性质(3种经典基础练+5种优选提升练)解析版_1多考区联考试卷_0105好题汇编备战2024-2025学年高一数学上学期期末真题分类汇编(新高考通用)
专题03函数的概念与性质(3种经典基础练+5种优选提升练)解析版_1多考区联考试卷_0105好题汇编备战2024-2025学年高一数学上学期期末真题分类汇编(新高考通用)
专题03函数的概念与性质(3种经典基础练+5种优选提升练)解析版_1多考区联考试卷_0105好题汇编备战2024-2025学年高一数学上学期期末真题分类汇编(新高考通用)
专题03函数的概念与性质(3种经典基础练+5种优选提升练)解析版_1多考区联考试卷_0105好题汇编备战2024-2025学年高一数学上学期期末真题分类汇编(新高考通用)
专题03函数的概念与性质(3种经典基础练+5种优选提升练)解析版_1多考区联考试卷_0105好题汇编备战2024-2025学年高一数学上学期期末真题分类汇编(新高考通用)
专题03函数的概念与性质(3种经典基础练+5种优选提升练)解析版_1多考区联考试卷_0105好题汇编备战2024-2025学年高一数学上学期期末真题分类汇编(新高考通用)
专题03函数的概念与性质(3种经典基础练+5种优选提升练)解析版_1多考区联考试卷_0105好题汇编备战2024-2025学年高一数学上学期期末真题分类汇编(新高考通用)
专题03函数的概念与性质(3种经典基础练+5种优选提升练)解析版_1多考区联考试卷_0105好题汇编备战2024-2025学年高一数学上学期期末真题分类汇编(新高考通用)
专题03函数的概念与性质(3种经典基础练+5种优选提升练)解析版_1多考区联考试卷_0105好题汇编备战2024-2025学年高一数学上学期期末真题分类汇编(新高考通用)
专题03函数的概念与性质(3种经典基础练+5种优选提升练)解析版_1多考区联考试卷_0105好题汇编备战2024-2025学年高一数学上学期期末真题分类汇编(新高考通用)
专题03函数的概念与性质(3种经典基础练+5种优选提升练)解析版_1多考区联考试卷_0105好题汇编备战2024-2025学年高一数学上学期期末真题分类汇编(新高考通用)
专题03函数的概念与性质(3种经典基础练+5种优选提升练)解析版_1多考区联考试卷_0105好题汇编备战2024-2025学年高一数学上学期期末真题分类汇编(新高考通用)
专题03函数的概念与性质(3种经典基础练+5种优选提升练)解析版_1多考区联考试卷_0105好题汇编备战2024-2025学年高一数学上学期期末真题分类汇编(新高考通用)
专题03函数的概念与性质(3种经典基础练+5种优选提升练)解析版_1多考区联考试卷_0105好题汇编备战2024-2025学年高一数学上学期期末真题分类汇编(新高考通用)
专题03函数的概念与性质(3种经典基础练+5种优选提升练)解析版_1多考区联考试卷_0105好题汇编备战2024-2025学年高一数学上学期期末真题分类汇编(新高考通用)
专题03函数的概念与性质(3种经典基础练+5种优选提升练)解析版_1多考区联考试卷_0105好题汇编备战2024-2025学年高一数学上学期期末真题分类汇编(新高考通用)
专题03函数的概念与性质(3种经典基础练+5种优选提升练)解析版_1多考区联考试卷_0105好题汇编备战2024-2025学年高一数学上学期期末真题分类汇编(新高考通用)
专题03函数的概念与性质(3种经典基础练+5种优选提升练)解析版_1多考区联考试卷_0105好题汇编备战2024-2025学年高一数学上学期期末真题分类汇编(新高考通用)
专题03函数的概念与性质(3种经典基础练+5种优选提升练)解析版_1多考区联考试卷_0105好题汇编备战2024-2025学年高一数学上学期期末真题分类汇编(新高考通用)
专题03函数的概念与性质(3种经典基础练+5种优选提升练)解析版_1多考区联考试卷_0105好题汇编备战2024-2025学年高一数学上学期期末真题分类汇编(新高考通用)
专题03函数的概念与性质(3种经典基础练+5种优选提升练)解析版_1多考区联考试卷_0105好题汇编备战2024-2025学年高一数学上学期期末真题分类汇编(新高考通用)
专题03函数的概念与性质(3种经典基础练+5种优选提升练)解析版_1多考区联考试卷_0105好题汇编备战2024-2025学年高一数学上学期期末真题分类汇编(新高考通用)
专题03函数的概念与性质(3种经典基础练+5种优选提升练)解析版_1多考区联考试卷_0105好题汇编备战2024-2025学年高一数学上学期期末真题分类汇编(新高考通用)
专题03函数的概念与性质(3种经典基础练+5种优选提升练)解析版_1多考区联考试卷_0105好题汇编备战2024-2025学年高一数学上学期期末真题分类汇编(新高考通用)
专题03函数的概念与性质(3种经典基础练+5种优选提升练)解析版_1多考区联考试卷_0105好题汇编备战2024-2025学年高一数学上学期期末真题分类汇编(新高考通用)
专题03函数的概念与性质(3种经典基础练+5种优选提升练)解析版_1多考区联考试卷_0105好题汇编备战2024-2025学年高一数学上学期期末真题分类汇编(新高考通用)
专题03函数的概念与性质(3种经典基础练+5种优选提升练)解析版_1多考区联考试卷_0105好题汇编备战2024-2025学年高一数学上学期期末真题分类汇编(新高考通用)
专题03函数的概念与性质(3种经典基础练+5种优选提升练)解析版_1多考区联考试卷_0105好题汇编备战2024-2025学年高一数学上学期期末真题分类汇编(新高考通用)
专题03函数的概念与性质(3种经典基础练+5种优选提升练)解析版_1多考区联考试卷_0105好题汇编备战2024-2025学年高一数学上学期期末真题分类汇编(新高考通用)
专题03函数的概念与性质(3种经典基础练+5种优选提升练)解析版_1多考区联考试卷_0105好题汇编备战2024-2025学年高一数学上学期期末真题分类汇编(新高考通用)
专题03函数的概念与性质(3种经典基础练+5种优选提升练)解析版_1多考区联考试卷_0105好题汇编备战2024-2025学年高一数学上学期期末真题分类汇编(新高考通用)
专题03函数的概念与性质(3种经典基础练+5种优选提升练)解析版_1多考区联考试卷_0105好题汇编备战2024-2025学年高一数学上学期期末真题分类汇编(新高考通用)
专题03函数的概念与性质(3种经典基础练+5种优选提升练)解析版_1多考区联考试卷_0105好题汇编备战2024-2025学年高一数学上学期期末真题分类汇编(新高考通用)
专题03函数的概念与性质(3种经典基础练+5种优选提升练)解析版_1多考区联考试卷_0105好题汇编备战2024-2025学年高一数学上学期期末真题分类汇编(新高考通用)
专题03函数的概念与性质(3种经典基础练+5种优选提升练)解析版_1多考区联考试卷_0105好题汇编备战2024-2025学年高一数学上学期期末真题分类汇编(新高考通用)
专题03函数的概念与性质(3种经典基础练+5种优选提升练)解析版_1多考区联考试卷_0105好题汇编备战2024-2025学年高一数学上学期期末真题分类汇编(新高考通用)
专题03函数的概念与性质(3种经典基础练+5种优选提升练)解析版_1多考区联考试卷_0105好题汇编备战2024-2025学年高一数学上学期期末真题分类汇编(新高考通用)
专题03函数的概念与性质(3种经典基础练+5种优选提升练)解析版_1多考区联考试卷_0105好题汇编备战2024-2025学年高一数学上学期期末真题分类汇编(新高考通用)
专题03函数的概念与性质(3种经典基础练+5种优选提升练)解析版_1多考区联考试卷_0105好题汇编备战2024-2025学年高一数学上学期期末真题分类汇编(新高考通用)
专题03函数的概念与性质(3种经典基础练+5种优选提升练)解析版_1多考区联考试卷_0105好题汇编备战2024-2025学年高一数学上学期期末真题分类汇编(新高考通用)
专题03函数的概念与性质(3种经典基础练+5种优选提升练)解析版_1多考区联考试卷_0105好题汇编备战2024-2025学年高一数学上学期期末真题分类汇编(新高考通用)
专题03函数的概念与性质(3种经典基础练+5种优选提升练)解析版_1多考区联考试卷_0105好题汇编备战2024-2025学年高一数学上学期期末真题分类汇编(新高考通用)
专题03函数的概念与性质(3种经典基础练+5种优选提升练)解析版_1多考区联考试卷_0105好题汇编备战2024-2025学年高一数学上学期期末真题分类汇编(新高考通用)
专题03函数的概念与性质(3种经典基础练+5种优选提升练)解析版_1多考区联考试卷_0105好题汇编备战2024-2025学年高一数学上学期期末真题分类汇编(新高考通用)
专题03函数的概念与性质(3种经典基础练+5种优选提升练)解析版_1多考区联考试卷_0105好题汇编备战2024-2025学年高一数学上学期期末真题分类汇编(新高考通用)
专题03函数的概念与性质(3种经典基础练+5种优选提升练)解析版_1多考区联考试卷_0105好题汇编备战2024-2025学年高一数学上学期期末真题分类汇编(新高考通用)
专题03函数的概念与性质(3种经典基础练+5种优选提升练)解析版_1多考区联考试卷_0105好题汇编备战2024-2025学年高一数学上学期期末真题分类汇编(新高考通用)
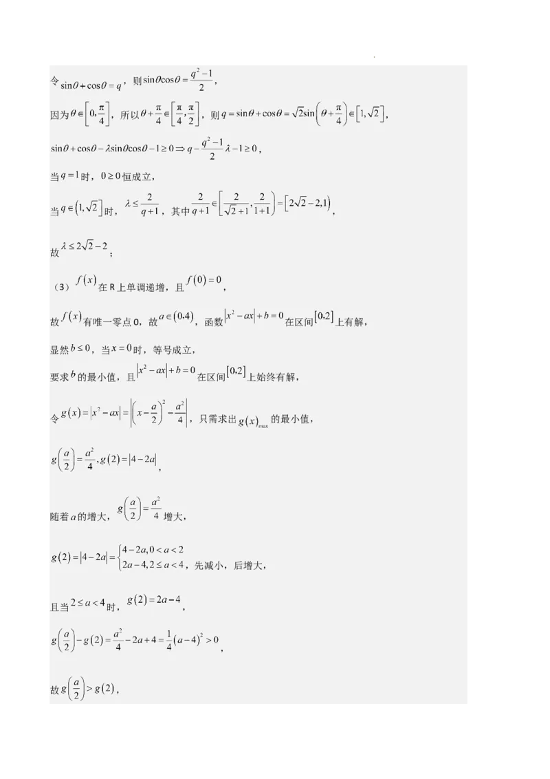
专题03函数的概念与性质(3种经典基础练+5种优选提升练)解析版_1多考区联考试卷_0105好题汇编备战2024-2025学年高一数学上学期期末真题分类汇编(新高考通用)

文档信息

文档格式
docx
文档大小
7.775 MB
文档页数
140 页
上传时间
2026-02-09 04:37:41

文档内容

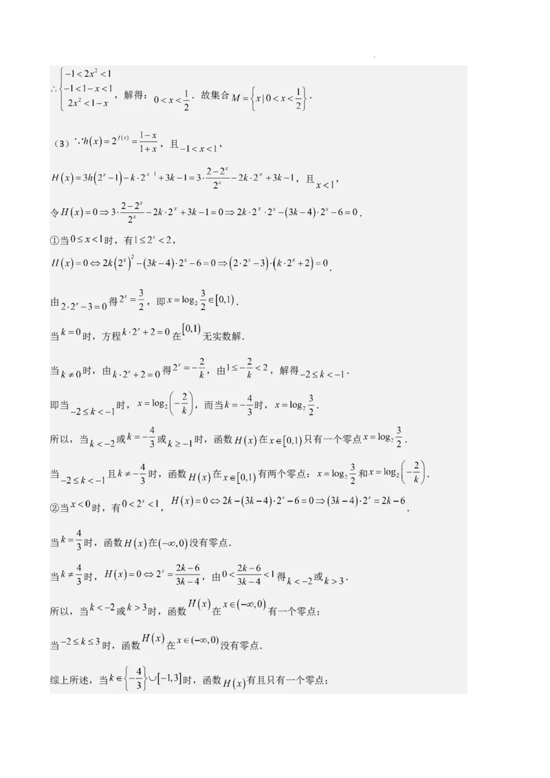
专题 03 函数的概念与性质(3 种经典基础练+5 种优选提升练) 函数的概念及其表示(共21题) 一、单选题 1.(23-24高一上·湖北·期末)已知函数 的定义域为 ,则函数 的定义域为 ( ) A. B. C. D. 【答案】C 【分析】根据抽象函数定义域的求法求得正确答案. 【详解】函数 的定义域为 ,所以 , , 所以 的定义域为 , 对于函数 ,由 , 得 ,所以函数 的定义域为 . 故选:C 2.(23-24高一上·贵州六盘水·期末)已知函数 ,则 学科网(北京)股份有限公司( ) A.0 B.1 C.2024 D.2025 【答案】B 【分析】由 ,得 ,利用结论可得. 【详解】由 ,得 , 所以 , 故选:B 3.(23-24高一上·安徽安庆·期末)已知定义在R上的函数 满足 ,则 ( ) A. B.0 C.1 D.2 【答案】A 【分析】利用赋值法进行求解即可. 【详解】在 中, 令 ,得 , 令 ,得 , 令 , ,解得: , 学科网(北京)股份有限公司故选:A 4.(23-24高一上·河南南阳·期末)函数 的值域为( ) A. B. C. D. 【答案】D 【分析】法一,根据题意,分别求出当 时与当 时的最值,即可得到分段函数的 值域;法二,画出 的草图,数形结合可求出值域; 【详解】法一:因为 且 , 所以当 时, ,当 时, ; 当 时, , 所以函数 的最小值为 ,最大值为3,故函数 的值域为 . 法二:画出 的草图,如图所示,由图象可知函数 的最小值为 ,最大值为3,故函数 的值域为 . 故选:D 5.(23-24高一上·广东佛山·期末)给定数集 满足方程 ,下列对应 关系 为函数的是( ) A. B. 学科网(北京)股份有限公司C. D. 【答案】B 【分析】ACD选项,可举出反例;B选项,利用函数的定义作出判断. 【详解】A选项, ,当 时, ,由于 ,故A选项不合要求; B选项, ,存在唯一确定的 ,使得 ,故B正确; CD选项,对于 ,不妨设 ,此时 ,解得 , 故不满足唯一确定的 与其对应,不满足要求,CD错误. 故选:B 6.(22-23高一上·福建福州·期末)函数 的图象大致为( ) A. B. C. D. 【答案】B 【分析】由 可排除C,D,当 时, 可排除A,即可得正确答案. 【详解】由 可排除C,D; 当 时, ,排除A. 故选:B. 学科网(北京)股份有限公司7.(23-24高一上·广东惠州·期末)已知定义在 上的函数 表示为: x 0 y 1 0 2 设 , 的值域为M,则( ) A. B. C. D. 【答案】B 【分析】根据自变量所在区间判断出 的值,然后根据表中数据可知值域 . 【详解】因为 满足 ,所以 , 由表中数据可知: 的取值仅有 三个值,所以 , 故选:B. 8.(22-23高一上·河南洛阳·期末)若函数 的定义域为集合 ,值域为集合 , 则 ( ) A. B. C. D. 【答案】A 【分析】利用根式的定义域求得集合 ,利用单调性的定义求 的单调性进而求得集合 ,再 根据集合交集的定义即可求解. 【详解】由 解得 ,所以 , 任取 ,则 , ,则 , 所以 ,即 , 学科网(北京)股份有限公司所以 在 上是增函数,且 , , 所以 , 所以 , 故选:A 二、多选题 9.(22-23高一上·河北保定·期末)若函数 在 上为单调减函数,则 实数 的值可以为( ) A. B. C. D. 【答案】CD 【分析】根据二次函数和一次函数的单调性,以及分段处函数值大小关系可构造不等式组求得结果. 【详解】 在 上为单调减函数, ,解得: , 的值可以为 或 . 故选:CD. 10.(23-24高一上·福建龙岩·期末)已知函数 的图象由如图所示的两段线段组成,则 ( ) 学科网(北京)股份有限公司A. B.不等式 的解集为 C.函数 在区间 上的最大值为2 D. 的解析式可表示为: 【答案】BD 【分析】由函数的图象求出函数的解析式,由此分析选项可得答案. 【详解】根据题意,由图象可得,在区间 上,函数图象为线段,经过点 和 , 则其方程为 , 在区间 上,函数图象为线段,经过点 和 , 设 , ,则 ,解得 , 所以其方程为 , 综合可得 , 对于A, ,则 ,故A错误; 对于B,若 ,则有 或 ,解得 或 , 即不等式的解集为 ,故B正确; 对于C,在区间 上, 为减函数,其最大值为 ,故C错误; 对于D,由 ,故D正确. 学科网(北京)股份有限公司故选:BD. 11.(23-24高一上·山东滨州·期末)下列各组函数中,表示同一函数的为( ) A. , B. , C. , D. , 【答案】ACD 【分析】根据函数的定义域以及对应关系是否相同即可逐一判断. 【详解】对A,两个函数的定义域都为 ,且 , 对应关系相同,是同一函数,A正确; 对B, 定义域为 , 的定义域为 , 故两个函数的定义域不相同,不是同一函数,B错误, 对于C, 两个函数的定义域均为 , , 故两个函数的对应关系相同,是同一函数,C正确; 对于D,两个函数的定义域都为 ,且 , 对应关系相同,是同一函数,D正确; 故选:ACD. 12.(23-24高一上·安徽六安·期末)南北朝时期杰出的数学家、天文学家祖冲之对圆周率数值的 精确推算值,对于中国乃至世界是一个重大贡献,后人将“这个精确推算值”用他的名字命名为 “祖冲之圆周率”,简称“祖率”.已知圆周率 , 如果记圆周率 小数点后第 位数字为 ,则下列说法正确的是( ) A. , 是一个函数 B.当 时, C. D. 学科网(北京)股份有限公司【答案】ACD 【分析】根据题中定义逐项分析判断. 【详解】对于选项A:对于任意 ,均存在唯一的 与之对应, 符合函数的定义,可知 , 是一个函数,故A正确; 对于选项BC:因为 ,故B错误,C正确; 对于选项D:由定义可知 ,故D正确; 故选:ACD. 三、填空题 13.(23-24高一上·广东·期末)已知函数 ,则 . 【答案】 【分析】首先求 ,再求 的值. 【详解】 . 故答案为:-1 14.(22-23高一上·浙江宁波·期末)设函数 ,若函数的最小值为 ,则实数 的取值范围为 . 【答案】 【分析】对 分大于0,小于0,等于0, 同时利用函数图像及函数单调性进行分析求解即可. 【详解】①当 时, , 学科网(北京)股份有限公司即 ,如图所示: 由图知此时函数 无最值,所以 , ②当 时, , 即 , 当 时, ,对称轴为 , 所以 在 单调递减,在 单调递增, 故 , 当 时, 在 上单调递增, 所以 , 由函数 的最小值为 , 此时 , 所以函数最小值为 , 所以 ,即 , 学科网(北京)股份有限公司解得: 或 (舍去), ③当 时,由 时, ,此时 在 上单调递减, 所以最小值为 , 由 时, , 此时函数在 单调递减,在 单调递增, 所以 , 所以当 时,函数最小值为 满足题意, 综上所述,当函数 最小值为 时, 实数 的取值范围为: , 故答案为: . 15.(23-24高一上·河南开封·期末)已知函数 的图象如图所示,则 【答案】 【分析】根据函数的图象,直接求函数值即可. 【详解】由函数图象知, . 学科网(北京)股份有限公司故答案为: 16.(23-24高一上·山东日照·期末)已知函数 ,若 ,则实数 的值为 . 【答案】3 【分析】根据分段函数的定义,分别在 和 范围内求出使 时实数 的值即可. 【详解】当 时, ,解得 (舍); 当 时, ,解得 或 (舍), 所以实数 的值为3, 故答案为:3. 17.(22-23高一上·江苏淮安·期末)已知函数 ,令 ,则不等式 的解集是 【答案】 或 【分析】根据题意求出 的解析式,利用分段函数的性质,分类讨论,即可求解. 【详解】由题知,当 时, 即 ,解得: , 此时, ; 当 ,即 , 解得: 或 ,此时, ; . 学科网(北京)股份有限公司由 ,得: 或 或 , 解得: 或 . 故答案为: 或 . 18.(21-22高一上·北京大兴·期末)能说明命题“如果函数 与 的对应关系和值域都相同, 那么函数 和 是同一函数”为假命题的一组函数可以是 , . 【答案】 (答案不唯一); 【分析】根据所学函数,取特例即可. 【详解】根据所学过过的函数,可取 , , 函数的对应法则相同,值域都为 , 但函数定义域不同,是不同的函数,故命题为假. 故答案为: ; 四、解答题 19.(22-23高一上·海南儋州·期末)已知函数 ,且 . (1)求a的值; (2)当x>1时,求函数f(x)的最小值. 【答案】(1)4 (2)5 【分析】(1)根据题意代入运算求解; (2)结合基本不等式求最小值. 学科网(北京)股份有限公司【详解】(1)由题意可得: ,解得 . (2)由(1)可得: , ∵ ,则 , ∴ ,当且仅当 ,即 时等号成立, 所以,函数f(x)的最小值为5. 20.(23-24高一上·甘肃庆阳·期末)已知函数 ,其中 . (1)若 ,求实数 的值; (2)求不等式 的解集. 【答案】(1) (2)答案见解析 【分析】(1)根据题意,由 ,列出方程,即可求解; (2)根据题意,得到 ,结合一元二次不等式不等式的解法,即可求解. 【详解】(1)由函数 ,因为 ,可得 ,解得 . (2)因为 ,可得 ,即 , 当 时,解得 ,所以不等式 的解集为 ; 当 时,解得 或 ,所以不等式 的解集为 , 综上可得,当 时,解集为 ;当 时,解集为 . 21.(22-23高一上·云南昆明·期末)已知函数 . 学科网(北京)股份有限公司(1)在所给坐标系中作出 的简图; (2)解不等式 . 【答案】(1)图像见解析 (2) 【分析】(1)直接画出对应二次函数和反比例函数的图像即可; (2)分段函数分段解不等式即可. 【详解】(1) 的简图如下: ; (2)由已知得 或 , 解得 或 , 即不等式 的解集为 . 学科网(北京)股份有限公司函数的基本性质(共27题) 一、单选题 1.(23-24高一上·福建宁德·期末)函数 和 的定义域均为 ,且 为偶函数, 为奇函数, ,均有 ,则 ( ) A.335 B.345 C.356 D.357 【答案】B 【分析】根据题意,求得 的图象关于 对称, 的图象关于 对称,结合 ,分别求得 和 的值,即可求解. 【详解】由函数 为偶函数,可得 ,所以 , 所以函数 的图象关于 对称, 又由 为奇函数,可得 , 即 ,所以函数 的图象关于 对称, 由 ,均有, ,所以 , 因为 的图象关于 对称,可得 , 又因为 的图象关于 对称, , 可得 ,所以 , 因为 ,联立方程组,可得 , 所以 . 故选:B. 学科网(北京)股份有限公司2.(23-24高一上·安徽·期末)已知函数 是奇函数,则 ( ) A. B.1 C. D.2 【答案】B 【分析】因为定义域为 的奇函数,有 ,进而求解 . 【详解】因为 的定义域为 , 所以 , 解得 , 经验证 满足题意, 故选:B. 3.(23-24高一上·广东深圳·期末)已知函数 ,设 ,则 的最小值为( ) A.1 B. C.9 D. 【答案】D 【分析】根据题意,在同一个直角坐标系中画出三个函数的图象,结合最大值的含义可直接得出最 小值. 【详解】在同一直角坐标系中作出函数 , , , 根据题意可得函数 为图中黑线表示部分, 学科网(北京)股份有限公司根据图像可得,点A为函数 与 的交点, 所以 解得 ,故点A的横坐标为 , 点B为函数 与 的交点, 所以 ,解得 ,故点B的横坐标为 , 点C为函数 与 的交点, 所以 ,得 ,故点C的横坐标为 , 所以函数 , 由图像可知,当 时,函数 有最小值为 . 故选:D. 4.(23-24高一上·河南南阳·期末)如图,一高为 的球形鱼缸,匀速注满水所用时间为 .若鱼缸 水深为 时,匀速注水所用的时间为 ,则函数 的图像大致是( ) A. B. 学科网(北京)股份有限公司C. D. 【答案】D 【分析】将容器看做一个球体,根据 的实际意义求解. 【详解】将容器看做一个球体,在刚开始注水时,由于球体的截面积较小,对于相同的 时间, 高度 的变化较大,即 较大, 到水注入球体的一半时,由于球体的截面积较大, 的变化率较小,接近于球体的顶端时, 的变化率又较大. 故选:D. 5.(23-24高一上·河北邯郸·期末)已知函数 在区间 上单调递增,则实数a的 取值范围为( ) A. B. C. D. 【答案】B 【分析】利用换元法求出定义域后求解参数即可. 【详解】根据题意,设 ,则 ,因为 在 上单调递增, 所以 在区间 上单调递增,则有 ,解得 , 故选:B. 6.(23-24高一上·安徽宣城·期末)已知定义在R上的函数 ,在 上单调递 减,且对任意的 ,总有 ,则实数t的取值范围是( ) 学科网(北京)股份有限公司A. B. C. D. 【答案】A 【分析】先根据题意利用二次函数的单调性求 的取值范围.要使对任意的 ,都有 ,只要 成立即可,进而列出不等式即可求出结果. 【详解】二次函数 的对称轴为 , 所以在 上单调递减,在 上单调递增, 又已知 在 上单调递减, 所以 ,可得 . 因为函数 在 上单调递减,在 上单调递增, 又 ,由对称性可知 , 所以当 时,取得最大值,即最大值为 , 在当 时取得最小值,即最小值为 , 要使对任意的 ,都有 ,只要 成立即可, 所以 ,解得 , 又 ,所以 的取值范围 ,即 . 故选:A. 7.(23-24高一上·上海·期末)已知函数 的定义域为 ,给定下列四个语句: ① 在区间 上是严格增函数,在区间 上也是严格增函数; ② 在区间 上是严格增函数,在区间 上也是严格增函数; 学科网(北京)股份有限公司③ 在区间 上是严格增函数,在区间 上也是严格增函数; ④ 在区间 上是严格增函数,且 是奇函数. 其中是“函数 在 上是严格增函数”的充分条件的有( )个. A.1 B.2 C.3 D.4 【答案】B 【分析】利用反例说明①④,根据单调性的定义判断②③. 【详解】对于①,令 , 满足 在区间 上是严格增函数,在区间 上也是严格增函数, 但是函数 在 上不单调,故①错误; 对于②: 在区间 上是严格增函数,在区间 上也是严格增函数, 即任意的 都有 , 都有 , 所以 , 设任意的 且 ,若 ,则 , 若 ,则 , 若 , ,则 , 所以函数 在 上是严格增函数,故②正确; 对于③: 在区间 上是严格增函数,在区间 上也是严格增函数, 则 在区间 上是严格增函数,在区间 上也是严格增函数, 结合②可知,函数 在 上是严格增函数,故③正确; 学科网(北京)股份有限公司对于④:令 ,满足 在区间 上是严格增函数,且 是奇函 数, 但是函数 在 上不单调,故④错误. 故选:B 8.(23-24高一上·山西长治·期末)高斯是德国著名的数学家,近代数学奠基者之一,享有“数学 王子”的称号,用其名字命名的“高斯函数”为:设 ,用 表示不超过 的最大整数,则称 为高斯函数.例如, ,已知函数 ,则函数 的值域为( ) A. B. C. D. 【答案】A 【分析】根据定义,结合分类讨论,即可求解. 【详解】当 时, ; 当 时, , ;此时 当 时, , . 故 ,则 的值域为 . 故选:A. 9.(23-24高一上·天津·期末)已知函数 是R上的偶函数,对于 都有 学科网(北京)股份有限公司成立,且 ,当 ,且 时,都有 . 则给出下列命题: ① ;②函数 图象的一条对称轴为 ; ③函数 在 上为严格减函数;④方程 在 上有4个根; 其中正确的命题个数为( ) A.1 B.2 C.3 D.4 【答案】D 【分析】对于①,令 代入已知等式可求出 ,再结合其为偶函数可得 ,从 而可求出函数的周期为6,利用周期可求得结果;对于②,由 为偶函数,结合周期为6分析 判断;对于③,由当 ,且 时,都有 ,可得 在 上为 严格增函数,再结合其为偶函数及周期为6分析判断;对于④,由 , 的周期为6,及 函数的单调性分析判断. 【详解】①:对于任意 ,都有 成立, 令 ,则 ,解得 , 又因为 是R上的偶函数,所以 , 所以 ,所以函数 的周期为6, 所以 , 又由 ,故 ;故①正确; ②:由(1)知 的周期为6, 又因为 是R上的偶函数,所以 , 学科网(北京)股份有限公司而 的周期为6,所以 , , 所以: , 所以直线 是函数 的图象的一条对称轴.故②正确; ③:当 ,且 时,都有 . 所以函数 在 上为严格增函数, 因为 是R上的偶函数,所以函数 在 上为严格减函数, 而 的周期为6,所以函数 在 上为严格减函数.故③正确; ④: , 的周期为6,所以 , 又 在 先严格递减后严格递增,所以 在 上除端点外不存在其他零点, 所以 在 和 上各有一个零点, 所以函数 在 上有四个零点.故④正确; 故选:D. 【点睛】关键点点睛:此题考查抽象函数的奇偶性,对称性,单调性和周期性,解题的关键是利用 赋值法求出 ,从而可得 ,得到周期为6,然后结合周期性和奇偶性分析判 断,考查分析问题的能力,属于较难题. 二、多选题 10.(23-24高一上·湖南益阳·期末)已知函数 是定义在R上的奇函数,且满足 ,则下列说法正确的是( ) A. B. 是奇函数 学科网(北京)股份有限公司C. D. 是周期为4的周期函数 【答案】AC 【分析】先由题意可得 且函数 的最小正周期为 ,然后结合条件逐项判断即可. 【详解】由函数 是定义在R上的奇函数,得 且 . 由 ,得 ,即 , 于是函数 的最小正周期为 . 对于A: ,故A正确; 对于B:因为 , 的定义域是全体实数, 所以 是偶函数,故B错误; 对于C: ,故C正确; 对于D: 是周期为8的周期函数,故D错误. 故选:AC. 11.(23-24高一上·河南·期末)已知函数 是偶函数,且 在 上单调递增,则下列 结论中一定正确的有( ) A. 的图象关于直线 对称 B. C. D. 在 上单调递减 【答案】ACD 学科网(北京)股份有限公司【分析】由图象变换判断A,由单调性判断BCD. 【详解】把 的图象向右平移2个单位得 的图象,因此直线 是 图象的对称轴, A正确; 在 上单调递增,则 的符号不确定,所以无法确定 , 的大小,B错误; 在 上单调递减,所以 ,C正确; 在 上单调递减,由 ,得 ,所以 在 上单调递减,D正确. 故选:ACD. 12.(23-24高一上·江苏连云港·期末)下列说法不正确的是 ( ) A.已知 , ,若 ,则 组成集合为 B.不等式 对一切实数 恒成立的充要条件是 C.命题 为真命题的充要条件是 D.不等式 解集为 ,则 【答案】ABD 【分析】A选项,考虑 时, ,满足要求,A错误;B选项,考虑 时, 满足 要求,B错误;C选项,转化为 在 上有解,求出 的最小值,得到答 案;D选项,根据不等式的解集得到 且 为方程 的两个根,由韦达定理得到 的关系,得到答案. 【详解】A选项, ,又 , 学科网(北京)股份有限公司当 时, ,满足 , 当 时, , 当 时, ,满足 ,当 时, ,满足 , 综上, 组成集合为 ,A说法不正确; B选项, 中,当 时, 满足要求,B说法不正确; C选项, 在 上有解, 其中 在 上单调递减,在 上单调递增, 故 在 处取得最小值,最小值为 , 故 ,C说法正确; D选项,不等式 解集为 , 则 且 为方程 的两个根,故 , , 则 , ,故 ,D说法不正确. 故选:ABD 三、填空题 13.(23-24高一上·江西上饶·期末)函数 的单调递减区间是 . 【答案】 【分析】根据二次函数的性质判断即可. 【详解】二次函数 开口向上,对称轴为 , 所以函数的单调递减区间为 . 学科网(北京)股份有限公司故答案为: 14.(22-23高一上·吉林长春·期末) 的最大值为 . 【答案】 【分析】由根式性质求定义域,应用二次函数性质求出 最大值,即可得函数最大值. 【详解】由 ,故 ,而 , 所以,当 时 ,即函数 的最大值为 . 故答案为: 15.(22-23高一上·河北保定·期末)若函数 在区间 上单调递增,则实数 的取值范围是 . 【答案】 【分析】根据二次函数的对称性得出对称轴与 的关系即可求解. 【详解】因为函数 的对称轴为 ,图象开口向上, 所以函数在 上单调递增, 因为函数 在区间 上单调递增, 所以 , 解得 . 故答案为: . 16.(23-24高一上·内蒙古巴彦淖尔·期末)已知函数 的定义域为 ,且 是奇函数, 为偶函数,则 . 【答案】0 学科网(北京)股份有限公司【分析】根据奇偶函数的性质求函数值即可. 【详解】因为 是奇函数,所以 . 因为 为偶函数,所以 . 取 ,得 , 所以 . 故答案为:0 17.(23-24高一上·上海·期末)田同学向肖老师请教一个问题:已知三个互不相同的实数 , , 满足 和 ,求 的取值范围.肖老师告诉他:函数 在区间 上是严格增函数,在区间 上是严格减函数,在区间 上是严格增函数.根据肖 老师的提示,可求得该问题中 值范围是 . 【答案】 【分析】根据题意可得: , ,结合韦达定理和根的判别式可得 , 由 ,得 ,令 ,结合条件得到 的单调性, 从而得到 值范围 【详解】由题 和 , ,得 , 所以 ,则 ,即 , 又 ,所以由韦达定理得 和 为关于 的方程 的两个不等根, 学科网(北京)股份有限公司所以 ,即 ,得 , 再由 ,得 ,令 , 根据题意可知: 在 上单调递增,在 上单调递减,在 上单调递增, , , , , 当 时, , 或 , ,不满足实数 , , 互不相同; 当 时, , 或 , ,不满足实数 , , 互不相同; 所以 值范围是 , 故答案为: 18.(23-24高一上·辽宁沈阳·期末)已知偶函数 的定义域为 ,且有 , ,若对 , ,都有 ,则不等 式 的解集为 . 【答案】 【分析】通过构造函数法结合已知条件得出函数的单调性,再根据函数的奇偶性,求得不等式 的解集. 【详解】构造函数 , 依题意, 的定义域是 , 是偶函数, 学科网(北京)股份有限公司所以 ,所以 是偶函数, 由于对 , , ,则 , 所以 在 上单调递增,则 在 上单调递减. 对于 ,且 , 若 ,可得 ,即 ,可得 ; 若 ,可得 ,即 ,可得 ; 所以不等式 的解集为 . 故答案为: 【点睛】关键点点睛:关键点是熟练掌握函数单调性的定义及其变型,任取 定义域内的两个 数 ,且 ,通过计算 的符合来判断 的单调性,也可以利用 的符号来判断 的单调性. 四、解答题 19.(22-23高一上·天津·期末)已知函数 (1)求 , 的值; (2)若 ,求实数a的值; 学科网(北京)股份有限公司(3)直接写出 的单调区间. 【答案】(1) ; (2) (3)单调递增区间 ,单调递减区间 , 【分析】(1)根据分段函数定义直接代入计算即可;(2)分类讨论实数a的取值范围,解方程即 可得出符合题意的a的值;(3)画出函数图象即可直接写出单调区间. 【详解】(1)根据分段函数解析式可得 , 易知 ;所以 即 . (2)①当 时, , 解得 ,或 (舍). ②当 时, ,解得 (舍). 综上可得 . 即实数a的值为 (3)画出函数图象如下所示: 所以,单调递增区间 ,单调递减区间 , 学科网(北京)股份有限公司20.(23-24高一上·内蒙古巴彦淖尔·期末)已知函数 . (1)求 的解析式; (2)判断 在 上的单调性,并根据定义证明. 【答案】(1) (2) 在 上单调递减,证明见解析 【分析】(1)由配凑法可得函数解析式; (2)根据函数单调性的定义证明即可. 【详解】(1)因为 , 所以 . (2) 在 上单调递减. 证明如下: 令 ,则 , , 即 , 所以 在 上单调递减. 21.(23-24高一上·天津·期末)已知 , 分别为定义在 上的偶函数和奇函数,且 . (1)求 和 的解析式; 学科网(北京)股份有限公司(2)利用函数单调性的定义证明 在区间 上是增函数; (3)已知 ,其中 是大于1的实数,当 时, ,求实 数 的取值范围. 【答案】(1) , (2)证明见解析 (3) 【分析】(1)由函数奇偶性,构造方程组即可求解; (2)利用增函数的定义,结合指数函数单调性推理即得; (3)换元并求出新元的范围,转化为二次函数在闭区间上的最小值求解即可. 【详解】(1) , 分别为定义在 上的偶函数和奇函数 所以 , ①, ②, 由①②可知, , (2)取 , 因为 ,所以 , , , 所以 ,即 , 得证; (3)由已知 学科网(北京)股份有限公司由(2)得 在 上单调递增, , 设 , 令 , , 而函数 ,在 上递减,在 递增 ①当 时, , ,显然成立 即 ②当 时, , , 即 综上所述,实数 的取值范围是 . 22.(23-24高一上·江苏镇江·期末)定义:若对定义域内任意 ,都有 ,( 为正 常数),则称函数 为“ 距”增函数. (1)若 ,判断 是否为“1距”增函数,并说明理由; 学科网(北京)股份有限公司(2)若 是“ 距”增函数,求 的取值范围; (3)若 , ,其中 ,且为“2距”增函数,求 的最小值. 【答案】(1) 是“1距”增函数,理由见解析 (2) (3) 【分析】(1)根据定义,作差比较大小即可; (2)根据定义可知 恒成立,代入转化为一元二次方程大于零恒成立,利用判别 式求解即可; (3)先根据“2距”增函数的定义,利用复合函数单调性分类讨论去绝对值求出 的取值范围, 再由 结合 的范围求出 的最小值即可. 【详解】(1)对任意 , , 因为 , , 所以 ,即 , 所以 是 “1距”增函数. (2)因为 , 又 是“ 距”增函数, 所以 恒成立, 因为 ,所以 恒成立, 所以 ,即 , 学科网(北京)股份有限公司解得 . (3)因为 , ,其中 ,且为“2距”增函数, 所以当 时, 恒成立, 因为 是增函数, 所以根据复合函数单调性可知 对 恒成立, 当 时, ,即 恒成立, 只需 ,即 ,解得 , 当 时, ,即 恒成立, 所以 解得 , 综上所述 , 又 , 因为 , , 所以当 时, 在 时取得最小值,最小值为 , 此时函数 的最小值为 , 当 时, 在 时取得最小值,最小值为 , 此时函数 的最小值为 , 综上 . 23.(23-24高一上·福建泉州·期末)已知二次函数 的图象过原点,且满足 学科网(北京)股份有限公司. (1)求 的解析式; (2)在平面直角坐标系中画出函数 的图象,并写出其单调递增区间; (3)对于任意 ,函数 在 上都存在一个最大值 ,写出 关于 的函数解析 式. 【答案】(1) (2)图象见解析, (3) 【分析】(1)设 ,利用待定系数法,求出 ,即得答案; (2)化简 为分段函数形式,即可作出其图象,根据图象可得单调递增区间; (3)结合图象求出 时, 时, ,分段讨论t的取值范围,即可得M的表达式. 【详解】(1)设 ,由于二次函数 的图象过原点,故 , 由 ,得 , 学科网(北京)股份有限公司即 ,故 , 故 ; (2) , 作出其图象如图: 单调递增区间为 ; (3)由 的图象可知,当 时,由 ,得 , 当 时, ; 当 时, ; 当 时, , 故 . 24.(23-24高一上·上海虹口·期末)若函数 在区间 上的函数值的集合恰为 , 则称区间 为 的一个“ 区间”.设 . 学科网(北京)股份有限公司(1)若函数 在区间 上是严格增函数,请直接写出区间 (一个即可); (2)试判断区间 是否为函数 的一个“ 区间”,并说明理由; (3)求函数 在 内的“ 区间”. 【答案】(1) (答案不唯一) (2)不是,理由见解析 (3) 【分析】(1)写成分段形式,然后根据二次函数的单调性写出答案; (2)直接根据“ 区间”的定义计算判断; (3)设函数 在 内的“ 区间”为 ,列方程组 , 解方程组即可. 【详解】(1)由已知 , 故函数 的单调递增区间为 和 ,可合并为 , 若函数 在区间 上是严格增函数,则 , 所以区间 可以为 ; (2)对于区间 , , 此时 , 即函数 在区间 上的值域为 ,不符合“ 区间”的定义, 学科网(北京)股份有限公司所以区间 不是函数 的一个“ 区间”; (3)设函数 在 内的“ 区间”为 , 即函数 在区间 上的值域为 因为函数 在 上单调递减, 所以 ,即 ,, 即 为方程 的两根, 又 所以 , 因为 , 所以 , 即“ 区间”为 . 25.(23-24高一上·湖北·期末)已知函数 (1)当 时,解不等式 ; (2)已知 ,当 时,若对任意的 ,总存在 ,使 成立,求正实数m的取值范围. 【答案】(1) (2) 学科网(北京)股份有限公司【分析】(1)根据一元二次不等式的解法求得正确答案. (2)先求 和 在区间 上的值域,然后列不等式组来求得 的取值范围. 【详解】(1)当 时, , 由 , 解得 或 , 所以不等式的解集为 . (2)当 时, , 对称轴为 ,且 , , 所以对任意的 , . 时, 是增函数, , 由 得 , 若对任意的 ,总存在 ,使 成立, 所以 ,解得 , 所以正实数 的取值范围是 . 26.(23-24高一上·山东济南·期末)已知函数 . (1)若 为单调函数,求 的取值范围; (2)设函数 ,记 的最大值为 . (i)当 时,求 的最小值; 学科网(北京)股份有限公司(ii)证明:对 . 【答案】(1) 或 (2)(i)2;(ii)证明见解析 【分析】(1)利用对称轴与区间的关系,即可求得 的取值范围; (2)对于(i)表示出 再根据 的大小讨论即可;对于(ii)先讨论 对称轴与区间的关系并表示出 ,再对表达式 中的绝对值大小进行讨论. 【详解】(1)由 ,可得 的对称轴 , 要使 为单调函数,则 或 , 解得 或 . (2)(i)当 时, , 则 当 时, , 当且仅当 时,等号成立; 当 时, ; 所以 的最小值为2. (ii)下面根据对称轴对 进行讨论: 当 时, , ①若 ,显然 , ②若 ,则 . 当 时, ,则 , ①若 ,显然 , 学科网(北京)股份有限公司②若 ,则 . 当 时, , 则 . ①若 ,显然 ②若 ,记 ,则 , 当 时, ,则 ,所以 ; 当 时, ,则 ,所以 ; 当 时,易知 恒成立, 下面再讨论 与 的大小关系: 当 时, , 当 时, , , 综上所述, . 【点睛】关键点点睛:本题的解题关键在于对二次函数的对称轴与区间的关系进行讨论,同时对 中的绝对值问题进行讨论. 学科网(北京)股份有限公司27.(23-24高一上·四川成都·期末)已知函数 ,其中 . (1)当 时,若 ,求 的值; (2)证明: ; (3)若函数 的最大值为 ,求 的值. 【答案】(1) (2)证明见解析 (3) 或 【分析】(1)化简函数解析式,分类讨论去掉绝对值符号,解方程,可得答案; (2)利用分析法,要证明 ,只需证 ,一步步逆推,直 到找到不等式成立的条件,即可证明原不等式成立; (3)令 ,确定a的范围,从而 , 结合 的取值范围,可得 的范围,结合函数最值分类讨论求解,即可得答案. 【详解】(1)当 时, , 当 时, ,不合题意; 当 时, , 由 得, ,符合题意, 故 ; (2) 的定义域为 , 要证明 ,只需证 , 学科网(北京)股份有限公司只需证: , 只需证: , 只需证: ,该式显然成立, 当且仅当 时等号成立, 故 ; (3) , 令 , 由题意可知 的最大值为 , 则 , 而 ,故 ,即 , 从而 , , 因为 ,当且仅当 时等号成立, 由(2)知 ,当且仅当 时等号成立, 故 的值域为 ,故 的值域为 , 令 ,则 , 令 ,则 , 当 时, 的值域为 , 此时 的最大值为 ,符合题意; 学科网(北京)股份有限公司当 时, 的值域为 , 此时 的最大值为 ,符合题意; 故a的值为 或 . 【点睛】难点点睛:解答本题的难点在于第3问,根据函数的最大值求解参数,解答时要结合绝对 值性质化简函数解析式,构造函数 ,确定其值域,结合最值,分类 求解,即可求得答案. 幂函数(共20题) 一、单选题 1.(23-24高一上·内蒙古巴彦淖尔·期末)已知 是幂函数,则 ( ) A.1 B.2 C.4 D.8 【答案】D 【分析】根据函数是幂函数求出参数,再求函数值即可. 【详解】因为 是幂函数,所以 ,解得 ,则 , 所以 . 故选:D. 2.(23-24高一上·河南开封·期末)已知幂函数 的图象过点 ,则 的定义域 为( ) A. B. C. D. 【答案】B 【分析】先利用幂函数的定义求得 的解析式,再利用其定义即可得解. 学科网(北京)股份有限公司【详解】依题意,设幂函数为 ,则 ,故 ,则 , 所以 的定义域为 ,故 满足 ,解得 . 故选:B. 3.(23-24高一上·广东茂名·期末)若幂函数 的图象经过第三象限,则 的值可以是 ( ) A.-2 B.2 C. D.3 【答案】D 【分析】由幂函数的函数图像逐一确定即可. 【详解】A:当 时, ,图像为: 故A错误; B:当 时, ,图像为: 故B错误; C:当 时, ,图像为: 学科网(北京)股份有限公司故C错误; D:当 时, ,图像为: 故D正确; 故选:D 4.(23-24高一上·福建龙岩·期末)若幂函数 的图象过点 ,则 的定义域是 ( ) A. B. C. D. 【答案】B 【分析】设 ,根据幂函数 的图象过点 求出 的值,即可求出 的定义域, 再根据抽象函数的定义域计算规则得到 ,解得即可. 【详解】设 ,依题意可得 ,解得 ,所以 , 所以 的定义域为 ,值域为 ,且 , 学科网(北京)股份有限公司对于函数 ,则 ,解得 , 即函数 的定义域是 . 故选:B 5.(23-24高一上·安徽合肥·期末)已知幂函数 的图象过点 ,则下列说法中正 确的是( ) A.定义域为 B.值域为 C.偶函数 D.减函数 【答案】A 【分析】结合幂函数性质逐项判断即可得. 【详解】因为幂函数 的图象过点 ,所以 , 所以 ,所以 , 对A、B:因为 ,定义域为 ,值域为 , 故A正确、B错误; 对C: ,且定义域为 ,故 为奇函数,故C错误; 对D: 在区间 , 上单调递减, 由 可知 在定义域上不是减函数,故D错误. 故选:A. 6.(22-23高一上·云南德宏·期末)下列函数既是幂函数又是奇函数的是( ) A. B. C. D. 【答案】A 学科网(北京)股份有限公司【分析】利用幂函数及函数的奇偶性的定义,结合各选项进行判断即可. 【详解】对于A,由幂函数的定义知 是幂函数,由题意可知 的定义域为 , ,所以 是奇函数,符合题意;故A正确; 对于B,由幂函数的定义知 是幂函数,由题意可知 的定义域为 , ,所以 是偶函数,不符合题意;故B错误; 对于C,由幂函数的定义知 不是幂函数,不符合题意;故C错误; 对于D,由幂函数的定义知 不是幂函数,不符合题意;故D错误; 故选:A. 二、多选题 7.(23-24高一上·广东·期末)若 ,则( ) A. B. C. D. 【答案】ABD 【分析】利用作差法可判断A和C;利用不等式的性质可判断B;根据幂函数的单调性可判断D. 【详解】对于A, , ,故A正确; 对于B, ,根据不等式的性质得, ,故B正确; 对于C, , ,故C错误; 对于D, 幂函数 在 单调递增, , ,故D正确. 故选:ABD. 8.(23-24高一上·浙江金华·期末)已知 ( )( ) 学科网(北京)股份有限公司A.当 时, 的值域为 B.当 时, C.当 时, 是偶函数 D.当 时, 是奇函数 【答案】BC 【分析】根据幂函数的性质即可求解AB,结合函数奇偶性的定义即可判断CD. 【详解】当 时, ,此时 的值域为 ,故A错误, 当 时, 在 上单调递增,所以 ,B正确, 当 时, , ,所以 是偶函数,C正确, 当 时, , ,则 , ,定义域不关于原点对称,故为非奇非偶 函数,D错误, 故选:BC 9.(23-24高一上·云南昆明·期末)若函数 同时满足:①对于定义域上的任意 ,恒有 ;②对于定义域上的任意 ,当 时,恒有 ,则称函数 为“理想函数”.下列四个函数中能被称为“理想函数”的是( ) A. B. C. D. 【答案】AC 【分析】根据①②得到 为奇函数且在定义域上单调递减,从而对四个选项一一作出判断. 【详解】由①得 为奇函数,由②得 在定义域上单调递减, 对于A, 满足要求,A正确; 对于B, ,故 为偶函数,B错误; 学科网(北京)股份有限公司对于C, 满足要求,C正确; 对于D, ,故 不是奇函数,D错误. 故选:AC 10.(23-24高一上·四川德阳·期末)若四个幂函数 在同一坐标系中的部 分图象如图,则 的大小关系正确的是( ) A. B. C. D. 【答案】BC 【分析】利用幂函数在第一象限内, 的右侧部分的图象的特点,确定出 的大小关系. 【详解】由幂函数的图象与性质,在第一象限内,在 的右侧部分的图象,图象由下至上,幂 指数依次增大, 可得 . 故选:BC 11.(23-24高一上·贵州六盘水·期末)已知函数 ( 为常数),则下列说法正确的是 ( ) A.函数 的图象恒过定点 B.当 时,函数 是减函数 C.当 时,函数 是奇函数 D.当 时,函数 的值域为 【答案】AC 【分析】根据幂函数的性质逐一判断即可. 【详解】 ,A正确; 学科网(北京)股份有限公司当 时, 分别在 上单调递减,在定义域上不单调,B错误; 当 时, 的定义域为R,且 , 所以函数 是奇函数,C正确; 当 时, 的值域为 ,D错误. 故选:AC 三、填空题 12.(23-24高一上·上海·期末)已知幂函数 在区间 上是严格增函数,则 . 【答案】 【分析】根据幂函数的定义及性质得到方程(不等式)组,解得即可. 【详解】因为幂函数 在区间 上是严格增函数, 所以 ,解得 . 故答案为: 13.(23-24高一上·安徽·期末)已知幂函数 的图像关于 轴对称,则 . 【答案】1 【分析】由幂函数和偶函数的性质求解即可. 【详解】由于函数是幂函数,所以 ,解得 或 . 当 时, ,是奇函数,图象不关于 轴对称; 当 时, ,是偶函数,图象关于 轴对称,符合题意,所以 的值为1. 故答案为: . 学科网(北京)股份有限公司14.(23-24高一上·上海长宁·期末)若幂函数 的图象经过点 ,则函数 的 定义域为 . 【答案】 【分析】将点 代入,求得 的值,求得幂函数解析式,再求其定义域. 【详解】幂函数 的图象经过点 , 则 ,所以 ,故 , 故 的定义域为 . 故答案为: 15.(23-24高一上·江苏南京·期末)已知幂函数 的图象经过点 ,则 的值是 . 【答案】 / 【分析】根据幂函数的图象过的点求出 ,可得函数解析式,代入求值,即得答案. 【详解】由题意知幂函数 的图象经过点 , 故 ,即 , 故 , 故答案为: 16.(23-24高一上·河北保定·期末)已知幂函数 的图象过点 ,则 . 【答案】4 【分析】利用待定系数法求得函数解析式,进一步计算即可. 【详解】设 ,因为 ,所以 , 学科网(北京)股份有限公司则 , 故答案为:4. 17.(23-24高一上·天津·期末)已知函数 是幂函数,且该函数是偶函数, 则 的值是 . 【答案】4 【分析】根据函数为幂函数及函数为偶函数,求出 ,从而代入求值即可. 【详解】由题意得 ,解得 或1, 当 时, 为奇函数,不合要求, 当 时, 为偶函数,满足要求, 故 . 故答案为:4 18.(23-24高一上·安徽·期末)已知幂函数的图象经过点 ,那么 的解析式为 ; 不等式 的解集为 . 【答案】 【分析】利用幂函数过的点求出 的解析式,再利用单调性解不等式即可. 【详解】设幂函数 ,依题意, ,即 ,因此 ,解得 , 所以函数 的解析式为 ; 显然函数 在 上单调递减,且 , 于是不等式 为: ,解得 ,即 或 , 学科网(北京)股份有限公司所以不等式 的解集为 . 故答案为: ; 19.(23-24高一上·福建南平·期末)已知幂函数 .若 是奇函数,则 的值为 . 【答案】3 【分析】由幂函数的定义结合奇函数的定义即可求解. 【详解】由题意 ,解得 或 ,又 是奇函数, 当 时, 不满足题意;当 时, 满足题意. 故答案为:3. 20.(22-23高一上·上海松江·期末)若关于 的不等式 的解集为R,则 实数 能取到的最小值为 . 【答案】3 【分析】设出 , ,求出 ,作出图象,数形结合求出 ,求出实数 的最小值. 【详解】设 , ,则不等式变为 , 若 ,则 , 若 ,则 , 即 , , 作出 的图象,实线部分即为 , 要想保证 ,只需最小值大于等于1, 由图可知: ,故只需 即可,即 ,解得: . 学科网(北京)股份有限公司故答案为:3 函数的单调性(共9题) 1.(23-24高一上·云南昆明·期末)已知函数 且 . (1)当 时, 在 上恒成立,求实数 的取值范围; (2)若 ,设 ,对任意的 ,总存在 ,使得 ,求 实数 的取值范围. 【答案】(1) (2) 【分析】(1)首先判断函数的奇偶性与单调性,依题意可得 ,参变分离可得 在 上恒成立,再由基本不等式求出 即可得解; (2)首先求出 解析式,依题意 在 上的值域是 在 上值域的子集,设 在 上的值域为集合 ,结合(1)求出 的值域,再分 、 、 三种情况讨 学科网(北京)股份有限公司论,结合二次函数的性质求出 的最值,即可得到不等式组,解得即可. 【详解】(1)由题知: , ,所以 为奇函数. 设 , , 因为 ,所以 ,所以 ,因为 ,所以 . 所以 在 上单调递增. 所以 , 因为 在 上单调递增,所以 ,因为 ,所以 在 上 恒成立, 因为 ,当且仅当 时,即 时, . 所以 ,解得 ,所以 . (2)因为 ,即 ,解得 或 (舍去), 所以 , 因为对任意的 ,总存在 ,使得 , 所以 在 上的值域是 在 上值域的子集. 设 在 上的值域为集合 , 由(1)知 在 上单调递增, , 值域为 , 所以 . 函数 的对称轴为 , 当 时, , ,即 学科网(北京)股份有限公司所以 ,解得 . 当 时, , , ,因为 , 所以 ,解得 . 当 时, , , , 所以 ,解得 . 综上所述: . 2.(23-24高一上·山东青岛·期末)已知函数 , . (1)写出 的单调区间,并用单调性的定义证明; (2)若 ,解关于 的不等式 ; (3)证明: 恰有两个零点m, ,且 . 【答案】(1)单调递增区间为 , ,无减区间;证明见解析 (2) (3)证明见解析 【分析】(1)先求出函数的定义域,再对函数解析式进行化简,判断单调性,根据两个不同区间, 分别运用函数的单调性定义进行推导即得; (2)结合(1)的结论,考虑 ,尝试得到函数在 上的另一个零点,经计算得到 ,从 学科网(北京)股份有限公司而作出函数的简图即得不等式 的解集; (3)根据(1)的结论,在 上寻得 ,使 ,再构造满足 的 值,推理得到 ,利用零点存在定理确定在 存在零点 ;同法,在 上存在另一个零点 ;最 后受(2)的启发推算出 ,利用函数在 上递增,判断 ,借助于基本不 等式即得. 【详解】(1)由题知, , 因为 , 所以 在 上和 上单调递增,理由如下: ① , ,且 , 由 . 因 ,则 , ,又 , 故 ,即 在 上单调递增, ② , , ,同理可得: ,即 在 上单调递增, 所以 在 上和 上单调递增,即函数 的单调增区间为 , ,无减区间. (2) 学科网(北京)股份有限公司由(1)知: 在 上和 上单调递增,又因为 . 如图,要使 ,只需使 或 ,故不等式的解集为: . (3)由(1)知: 在 上和 上单调递增, 又因为 ,且 , 取 满足 ,则 , 所以 在 上有唯一零点 , 又因为 ,且 ,取 满足 , 则 , 所以 在 上有唯一零点 ,则 , 又因为 , 学科网(北京)股份有限公司因 在 上单调递增,且 , ,则必有 ,即 , 故 . 【点睛】关键点点睛:本题重点考查与函数的零点有关的问题. 在解决(2)时,条件 容易误导用来求 值,实则是抛砖引玉,用来推理 ,从而得 到两个零点,结合单调性数形结合易得 的解集; 在解决(3)时,要说明分别在 和 上函数各有一个零点,难度非同小可,需尝试代入适 合的值 ,得到 ,再构造满足 的 值,使 ,从而得到确定的唯 一零点 ,同法得到另一个零点 ,运用(2)的结论推得 才可证明. 3.(23-24高一上·江苏宿迁·期末)已知函数 能表示为奇函数 和偶函数 的和. (1)求 和 的解析式; (2)利用函数单调性的定义,证明:函数 在区间 上是增函数; (3)令 ( ),对于任意 ,都有 , 求实数 的取值范围. 【答案】(1) (2)证明见解析 (3) 【分析】(1)根据函数的奇偶性,列式,解方程组,即可得答案; (2)根据函数单调性的定义,即可证明结论; (3)结合函数单调性,将不等式恒成立转为函数最值问题,即 对于任意 学科网(北京)股份有限公司成立,即得 对于任意 成立,结合对数函数 性质,继而转化为对于任意 成立,结合解不等式以及函数单调性, 即可求得答案. 【详解】(1)因为 分别是定义在R上的奇函数和偶函数,且 ①, 所以 ,即 ②, 联立①②解得, ; (2)设 ,则 , , 因为 ,所以 , , , , 故 , 所以 ,所以 , 故 在 上单调递增. (3)由(2)知,函数 在 上为增函数, 当 时, , 由于对于任意 ,使得 , 所以 对于任意 成立, 即 对于任意 成立, 学科网(北京)股份有限公司又 需满足 , 对于任意 成立,则 , 由 ,可得 ,所以 . 式可化为 , 即对于任意 成立,即 成立, 即对于任意 成立, 因为 ,所以 对于任意 成立, 即 任意 成立,而 ,所以 , 又 ,可得 ,所以 的取值范围为 . 【点睛】关键点点睛:函数的奇偶性以及单调性的应用,解答的难点在于第3问,根据函数不等式 恒成立求解参数范围,解答时要结合函数的单调性将不等式恒成立转化为函数最值问题解决. 4.(23-24高一上·湖南邵阳·期末)定义在 上的幂函数 . (1)求 的解析式; (2)已知函数 ,若关于 的方程 恰有两个实根 ,且 ,求 的取值范围. 【答案】(1) (2) . 【分析】(1)由幂函数的定义求出 的值,并由定义域对 的值进行取舍,进而得到 解析 式; 学科网(北京)股份有限公司(2)通过换元得到 的解析式,确定给定方程有两个不等实根时 的取值范围,再将 用 表示出即可求解作答. 【详解】(1) 是幂函数, ,解得 或3. 当 时, ,与函数 的定义域是 矛盾,舍去; 当 时, ,符合题意. . (2)由(1)可得, ,代入函数 中,有 令 ,作函数 图像如下: 若 ,即 时, ; 当 时, , ; 当 时, , , 若 ,即 时, ; 由于 , ,则 , 学科网(北京)股份有限公司综上所述, , 作图如下: 其与直线 有且只有两个交点, ,且 , , , , 即 , ∵ 和 在ln2,1上单调递增, 在 上单调递增, . , 化简得: . 即 的取值范围为 . 【点睛】思路点睛:涉及给定函数零点个数求参数范围问题,可以通过分离参数,等价转化为直线 与函数图象交点个数,数形结合推理作答. 学科网(北京)股份有限公司5.(23-24高一上·陕西汉中·期末)已知函数 , ,其中常数 . (1)当 时,写出函数 的单调区间(无需证明); (2)当 时,方程 有四个不相等的实根 . ①求 的乘积; ②是否存在实数 ,使得函数 在区间 单调,且 的取值范围为 ,若 存在,求出 的取值范围;若不存在,请说明理由. 【答案】(1)单调减区间 ;单调增区间 (2)①16;②存在, . 【分析】(1)化简 的解析式,根据对钩函数的性质求得正确答案. (2)①画出 的图象,利用根与系数关系求得 的乘积; ②对 的取值范围进行分类讨论,根据函数的单调性、值域等知识来求得 的取值范围. 【详解】(1)当 时, , 由 ,当且仅当 时等号成立, 所以 , 根据对钩函数的性质可知, 的单调减区间 ;单调增区间 . (2)①当 时 , 的图象如下图所示, 学科网(北京)股份有限公司要使 有4个根,则 ,不妨设 , 令 ,则 , , 令 ,则 , , ; ②令 ,解得 或 , (ⅰ)当 时, ,由 , 即 ,两式相除,得 , 则 , ,可得 , ,矛盾,即实数 不存在; (ⅱ)当 时, , , 由 得, ,即 , ,由 ,即 , 解得 ,又 , ,则 , 由 ,可得 ; 综上,存在实数 ,使得函数 在区间 单调, 学科网(北京)股份有限公司且 的取值范围为 ,此时 的取值范围为 . 【点睛】方法点睛:求解对钩函数 有关问题,可以考虑基本不等式求最值、函 数的单调区间,还可以考虑对钩函数的图象和性质等知识. 6.(23-24高一上·山东潍坊·期末)已知函数 ( 且 )为奇函数, 且 . (1)求实数m的值; (2)若对于函数 ,用 将区间 任意划分 成n个小区间,若存在常数 ,使得和式 对任意的划分恒成立,则称函 数 为 上的有界变差函数.判断函数 是否为 上的有界变差函数?若 是,求M的最小值;若不是,请说明理由. 【答案】(1) (2) 是 上的有界变差函数,当 时,M的最小值为 ;当 时, M的最小值为22. 【分析】(1)根据奇函数定义运算求解; (2)先证明 为偶函数,分 和 两种情况讨论,根据有界变差函数的定义,结 合绝对值不等式性质运算求解. 【详解】(1)因为 为奇函数, 所以当 时, , 化简得 ,所以 ,代回检验符合题意. 学科网(北京)股份有限公司(2) 是 上的有界变差函数.证明如下: 因为 , , 所以 为偶函数, (i)当 时, 当 时, 单调递减, 所以 ,即 在 上单调递减, 又 为偶函数,所以 在 上单调递增. 对区间 任意划分 , 若存在 ,满足 , 则 故若存在常数M,使得 ,则 , 否则必定存在 ,使得 , 下证当 时,此时 也恒成立, 证明: , 学科网(北京)股份有限公司, 综上,当 ,M的最小值为 . (ii)当 时, 当 时, 单调递增, 所以 ,即 在 上单调递增, 又 为偶函数,所以 在 上单调递减, 对区间 任意划分 , 若存在 ,满足 , 则 , 故若存在常数M,使得 ,则 , 否则必定存在 ,使得 , 下证当 时,此时 也恒成立, 证明: , 学科网(北京)股份有限公司, 综上,当 ,M的最小值为 . 综上所述,当 时,M的最小值为 ;当 时,M的最小值为22. 【点睛】思路点睛:本题第二问属于函数新定义问题,首先证明 为偶函数,分 和 两种情况讨论,根据单调性将区间 划分,根据有界变差函数的定义,结合绝 对值不等式性质运算证明. 7.(23-24高一上·河南驻马店·期末)设 的定义域为R,若 ,都有 ,则称函数 为“ 函数”. (1)若 在R上单调递减,证明 是“ 函数”; (2)已知函数 . ①证明 是 上的奇函数,并判断 是否为“ 函数”(无需证明); ②若对任意的 恒成立,求实数 的取值范围. 【答案】(1)证明见解析 (2)①证明见解析,是;② 【分析】(1)根据函数的单调性列不等式,整理为 函数的定义的形式,由此证得 是“ 函数”. (2)①根据函数奇偶性的定义证得 是 上的奇函数,根据 函数的定义判断出 是“ 函数”. ②根据函数的单调性、奇偶性化简不等式 ,利用分离常数法,结合 学科网(北京)股份有限公司换元法、函数的单调性等知识求得实数 的取值范围. 【详解】(1)若 在R上单调递减,则 , 即 , 即 , 整理得: , 所以 是“ 函数”. (2)① 定义域为R,关于原点对称, , 所以 是 上的奇函数. 在R上单调递减, 是“ 函数”. ② 是R上的奇函数,并为“ 函数”,在 上单调递减, 在 上恒成立, 可得 在 上恒成立, 故 在 上恒成立, 即 在 上恒成立, 学科网(北京)股份有限公司又注意到 , 结合 ,知 , 得: . 令 ,其中 易知 在 上单调递减,在 上单调递增 . 令 ,即 恒成立,其中 函数 与函数 均在 上单调递增, 故函数 在 上单调递增. 故 ,得 , 则 的范围为 . 【点睛】解新定义题型的步骤:(1)理解“新定义”——明确“新定义”的条件、原理、方法、步 骤和结论.(2)重视“举例”,利用“举例”检验是否理解和正确运用“新定义”;归纳“举例”提供的 解题方法.归纳“举例”提供的分类情况.(3)类比新定义中的概念、原理、方法,解决题中需要解决 的问题. 8.(23-24高一上·湖南益阳·期末)已知函数 ,其中 ,且 为奇函数. (1)求a的值; (2)若 , , ,求集合M; 学科网(北京)股份有限公司(3)若函数 ,讨论函数 (k为常数)的零点个数. 【答案】(1)1 (2) (3)答案见解析 【分析】(1)根据函数奇偶性定义列出方程求解并检验即得; (2)先由函数 的单调性和奇偶性推导函数 的单调性和奇偶性,利用函数奇偶 性化简 为 ,利用单调性求得 的范围即得. (3)依题求出 ,由 化简得 ,就 分成 和 两种情况,讨论方程的解的情况即得. 【详解】(1)因为函数 为奇函数, , ,解得 .又 , . 经检验, 符合题意. (2)由(1)得 ,则 , 由 ,因函数 为奇函数, ,即 为奇函数. 又 , 因 在 上单调递减且为正数,又 在定义域内为增函数, 则 在 上单调递减,故 在 上单调递减; 由 . 学科网(北京)股份有限公司,解得: .故集合 . (3) ,且 , ,且 , 令 . ①当 时,有 , . 由 得 ,即 . 当 时,方程 在 无实数解. 当 时,由 得 ,由 ,解得 . 即当 时, ,而当 时, . 所以,当 或 或 时,函数 在 只有一个零点 . 当 且 时,函数 在 有两个零点: 和 . ②当 时,有 , . 当 时,函数 在 没有零点. 当 时, ,由 得 或 . 所以,当 或 时,函数 在 有一个零点; 当 时,函数 在 没有零点. 综上所述,当 时,函数 有且只有一个零点; 学科网(北京)股份有限公司当 时,函数 有两个零点. 【点睛】方法点睛:本题主要考查利用函数的性质求解不等式和判断函数的零点情况,属于难题. 对于抽象不等式的解法,一般从判断函数的奇偶性和单调性入手,将不等式等价变换,将其化成具 体不等式组求解;对于含参函数的零点个数问题,一般是将其转化成方程的解的个数或者两函数的 图象交点个数解决. 9.(23-24高一上·安徽六安·期末)已知函数 在 上为奇函数, , . (1)求实数 的值; (2)若对任意 , ,不等式 都成 立,求正数 的取值范围. 【答案】(1)2 (2) 【分析】(1)根据题意有 ,可得 ,由此求得 的值; (2)结合(1)可得 ,进而可知函数 的单调性,将原不等式问题转为 对任意 , ,有 的恒成立问题,再 根据 , ,代入即可得到 ,进而可 求出正数 的取值范围. 【详解】(1)由函数 在R上为奇函数,则有 , 学科网(北京)股份有限公司即 , 所以 ,又 ,得 . (2)由(1)知 , 又 ,令 , 在 单调递增, 所以 ,在 单调递减,又因为 在R上为奇函数, , 且 ,所以函数 在R上是减函数. 由对任意 , ,不等式 都成立, 即对任意 , ,不等式 都成立, 又函数 在R上是减函数, 所以 , 即 又 ,则 ,所以 , 又 ,则 ,所以 , 学科网(北京)股份有限公司所以 ,即 ,解得 . 综上,正数 的取值范围 . 【点睛】关键点睛:第二小问解决问题的关键是利用函数性质进行恒等变形,转化为不等式恒成立 问题,求最值解不等式得到t的范围. 函数的奇偶性(共6题) 1.(22-23高一上·山东淄博·期末)已知函数 为奇函数. (1)求数k的值; (2)设 ,证明:函数 在 上是减函数; (3)设函数 ,判断 在 上的单调性,无需证明;若 在 上只有 一个零点,求实数m的取值范围. 【答案】(1) ; (2)证明见解析; (3)单调递增, . 【分析】(1)由于 为奇函数,可得 ,即可得出 ; (2)利用单调性的定义,通过作差即可证明; (3)利用(2)求函数 在 上的单调性,再结合零点存在性定理即可得出m取值范围. 【详解】(1) 为奇函数, , ,即 , ,整理得 , ( 时, 不合题意而舍去). 学科网(北京)股份有限公司(2)由(1) ,故 , 设 , 时, , , , ,即 , 函数 在 上是减函数; (3)由(2)知, 在 上单调递减,根据复合函数的单调性可知 在 单调递增, 又 在R上单调递增, 在 单调递增, 在区间 上只有一个零点, , 即 , 解得 . 【点睛】方法点睛:根据函数零点求参数取值或范围的方法 (1)利用零点存在的判定定理构建不等式求解; (2)分离参数后转化为函数的值域(最值)问题求解,如果涉及有几个零点时,还需考虑函数的 图象在参数范围不同时的交点个数; (3)利用方程根的分布求解,转化为不等式问题; (4)转化为两熟悉的函数图象交点问题,从而构建不等式求解. 2.(23-24高一上·四川凉山·期末)已知 学科网(北京)股份有限公司(1)当 是奇函数时,解决以下两个问题: ①求k的值; ②若关于x的不等式 对任意 恒成立,求实数m的取值范围; (2)当 是偶函数时,设 ,那么当n为何值时,函数 有零点. 【答案】(1)① ;② ; (2)当 或 时,函数 有零点. 【分析】(1)①根据函数的奇偶性列方程,由此求得 ;②化简已知不等式,利用换元法、分离 常数法,结合对勾函数的知识求得 的取值范围. (2)根据函数的奇偶性求得 ,转化 ,利用构造函数法,结合二次函数的知识进行分类 讨论,从而求得 的范围. 【详解】(1)①当 是奇函数时, , ,解得 . ②由 得 ,则不等式 , 可化为 , 令 ,因为 为增函数,所以 也为增函数, , , , 学科网(北京)股份有限公司由对勾函数的性质知,当 的最小值为 , ,即实数m的取值范围为 . (2)当 是偶函数时, , ,解得 , , 所以 ,即 , 令 ,则 , 则函数 有零点, 转化为关于t的方程 在 时有实数根, 即是 在 时有实数根, 令 为开口向下的二次函数, 当方程 在 有两相等实数根时,函数 在 上有一个零点, ,即 ,解得 或 , 若 时, 的零点为 ,符合题意, 若 , 此时 的零点为 ,符合题意, 所以 或 . 当方程 有—负—非负实数根时,函数 在 上有一个零点, 则 ,解得 或 , 学科网(北京)股份有限公司若 时, ,此时 的零点为 或 , 与 有—负—非负实数根矛盾,所以 或 . 当方程 有两不等非负实数根时,函数 在 上有两个零点, 所以 ,解得 , 综上所述:n的取值范围为 或 , 所以当 或 时,函数 有零点. 【点睛】方法点睛:1.根据函数的奇偶性求参数,关键是利用函数奇偶性的定义,由 或 列方程来求参数; 2.一元二次方程根的分布问题,可以考虑判别式、根与系数关系等知识来进行求解. 3.(23-24高一上·广东广州·期末)对于函数 及实数m,若存在 ,使得 ,则称函数 与 具有“m关联”性质. (1)若 与 具有“m关联”性质,求m的取值范围; (2)已知 , 为定义在 上的奇函数,且满足; ①在 上,当且仅当 时, 取得最大值1; ②对任意 ,有 . 求证: 与 不具有“4关联”性. 【答案】(1) (2)证明见解析 学科网(北京)股份有限公司【分析】(1)根据函数 与 具有“m关联”性质的定义,结合正余弦函数的性质,即可得 答案. (2)根据 满足的性质,推出其对称性以及周期,可得 ,再结合正弦函数的性质 推出 ,即说明不存在 ,使得 ,即可得结论. 【详解】(1)由题意可知 , 故 , 则m的取值范围为 ; (2)证明:因为在 上,当且仅当 时, 取得最大值1, 且 为定义在 上的奇函数, 故在 上当且仅当 时, 取得最小值-1, 由对任意 ,有 ,可知 图象关于点 对称, 又 ,即 , 故2a为函数 的周期, 故 , , 当 时, , 时, , 若 , , ,此时有 为最大值; 学科网(北京)股份有限公司当 时, , 时, , 若 , ,此时有 为最大值, 由于 ,故 , 即不存在 ,使得 , 所以 与 不具有“4关联”性. 【点睛】关键点睛:解答本题的关键在于要理解函数 与 具有“m关联”性质的定义,明 确其含义,继而结合定义去解决问题,特别是第2问的证明,要结合定义说明不存在 , 使得 成立. 4.(23-24高一上·安徽·期末)已知函数 ( , , )是定义在 上的奇函数. (1)求 和实数b的值; (2)若 满足 ,求实数t的取值范围; (3)若 ,问是否存在实数m,使得对定义域内的一切t,都有 恒成立? 【答案】(1) , ; (2)当 时, ,当 时, ; (3)存在, . 【分析】(1)根据给定条件,结合奇函数的定义求解即得. (2)按 分类,利用单调性解不等式即得. 学科网(北京)股份有限公司(3)利用奇函数及意识性脱去法则,转化为恒成立的不等式组,再借助二次函数分类求解. 【详解】(1)依题意, , 又 是 上的奇函数,则 ,即 , 亦即 ,整理得 ,于是 ,而 , 所以 . (2)由(1)知, , 显然函数 在 上单调递减, 由奇函数性质及 ,得 , 当 时,函数 在 上单调递减,则 在 上单调递增, 不等式化为 ,解得 , 当 时,函数 在 上单调递增,则 在 上单调递减, 不等式化为 ,解得 , 所以当 时, ;当 时, . (3)假定存在实数m,对定义域内的一切 ,都有 恒成立, 即 恒成立, 当 时,由(2)知函数 在 上单调递增, 不等式化为 ,整理得 , 于是有 对任意 恒成立,则 , 当 时, ,因此 ; 学科网(北京)股份有限公司有 对任意 恒成立,设 , ①当 时,函数 的图象开口向上,对称轴 , (i)当 ,即 时,必有 ,则 ; (ii)当 ,即 时, 在 上恒成立,则 ; (iii)当 ,即 时, 在 上恒成立,则 ; ②当 时, ,不满足 在 上恒成立, 综上得 且 , 所以存在 使得对定义域内的一切 ,都有 恒成立. 【点睛】结论点睛:函数 的定义区间为 ,①若 ,总有 成立,则 ;②若 ,总有 成立,则 ;③若 ,使得 成立, 则 ;④若 ,使得 成立,则 . 5.(23-24高一上·湖北武汉·期末)已知函数 , . (1)设 .若 恰有两个零点 、 ,且 .判断 函数 的奇偶性(只需给出结论,不需写证明过程),并求实数 的值; 学科网(北京)股份有限公司(2)若 , , 成立,求实数 的取值范围. 【答案】(1)函数 为偶函数,理由见解析, (2) 【分析】(1)利用函数奇偶性的定义可得出 为偶函数,分析可知 的一个零点为 ,由 可得出 的值; (2) , 恒成立,由 ,可得出 ,即 , ,设 ,只需 ,讨论 时, ,可求出 的取值范围,然后就 、 时, 不合乎题意,即可得出实数 的取值范围. 【详解】(1)解: 为偶函数,理由如下: 因为函数 ,该函数的定义域为 ,则函数 的定义域为 , ,即函数 为偶函数, 因为函数 恰有两个零点 、 ,且 ,则 为函数 的一个零点, 即 ,即 , 解得 或 (舍去), 经检验,当 时,函数 的两零点之积为 ,所以, . (2)解: , 恒成立,即 , 即 ,即 , , 学科网(北京)股份有限公司即 , , 设 ,只需 , 当 时, , 因为 ,则 ,所以,函数 在 上单调递减, 此时, ,解得 , 下面只需研究 是否符合即可, 当 时, , 因为 ,则 ,由对勾函数的单调性可知,函数 在 上单调递增, 所以, , 当 时, ,所以, 不成立; 当 时, , 因为 ,则 , 所以,函数 在 上单调递增,则 , 当 时, ,所以, 不成立, 综合可得 . 【点睛】结论点睛:求解函数不等式恒(能)成立,可根据以下原则进行求解: (1) , ; 学科网(北京)股份有限公司(2) , ; (3) , ; (4) , . 6.(23-24高一上·江苏盐城·期末)已知函数 是R上的奇函数. (1)求实数 的值,并判断函数 的单调性(单调性不需要证明); (2)若对 ,都有 成立,求实数 的取值范围. (3)设 为常数,且 ,若函数 在区间 上存在零点,求实数 的取值 范围. 【答案】(1) , 在R上单调递增,理由见解析 (2) (3) 【分析】(1)根据函数为奇函数得到 ,从而得到方程,求出 ,并利用复合 函数单调性和函数奇偶性得到函数单调递增; (2)不等式变形为 ,根据 的单 调性得到 ,故得到 ,换元得到 ,分 和 时,求出 ; (3)求出 有唯一零点0,得到 在区间 上有解,显然 ,令 学科网(北京)股份有限公司,只需求出 的最小值, ,根据单调 性得到当 时, 取得最小值,求出 的最小值为 ,从而得到答案. 【详解】(1)由题意得 , 即 , 故 ,即 , 所以 ,解得 ,负值舍去; 函数 在R上单调递增,理由如下: 显然 在 上单调递增, 又 在 上单调递增, 由复合函数单调性值, 在 上单调递增, 又 是R上的奇函数,且为连续函数,故 在R上单调递增; (2)对 ,都有 , 即 , 由(1)可知 在 单调递增, 故 , 所以只需 , 即 , 学科网(北京)股份有限公司令 ,则 , 因为 ,所以 ,则 , , 当 时, 恒成立, 当 时, ,其中 , 故 ; (3) 在R上单调递增,且 , 故 有唯一零点0,故 ,函数 在区间 上有解, 显然 ,当 时,等号成立, 要求 的最小值,且 在区间 上始终有解, 令 ,只需求出 的最小值, , 随着 的增大, 增大, ,先减小,后增大, 且当 时, , , 故 , 学科网(北京)股份有限公司故当 时, 取得最小值, 解得 , 故 的最小值为 , 故 , 实数 的取值范围是 . 【点睛】方法点睛:对于求不等式成立时的参数范围问题,一般有三个方法,一是分离参数法, 使 不等式一端是含有参数的式子,另一端是一个区间上具体的函数,通过对具体函数的研究确定含参 式子满足的条件.二是讨论分析法,根据参数取值情况分类讨论,三是数形结合法,将不等式转化 为两个函数,通过两个函数图像确定条件. 函数的周期性(共7题) 一、单选题 1.(23-24高一上·北京东城·期末)函数 中, , 为实数集 的两个非 空子集,又规定 , ,给出下列四个判断: ①函数 有奇偶性; ②函数 为周期函数; ③存在无数条直线,与函数 的图象无公共点; ④若 ,则 ; ⑤若 ,则 . 其中正确判断的个数为( ) A.1个 B.2个 C.3个 D.4个 【答案】A 学科网(北京)股份有限公司【分析】根据题意,得到 的解析式,作出函数的部分图象,结合图象,可判定①不正确;设 是一个大于 的周期,结合 至多有一个解,可判定②不正确;结合图象和特例,可判定 ③正确、④不正确;取 ,得到 也是函数的值域,进而可判定⑤不正确. 【详解】由 ,可得 , 又由 ,可得 , 可得函数 , 对于①中,画出函数 在 的图象,如图所示, 结合图象,可得函数 的图象既不关于原点对称,也不关于 轴对称, 所以函数 没有奇偶性,所以①不正确; 对于②中,假设函数 是周期函数,设 是一个大于 的周期, 则 ,其中 ,这表明 有无数多个解, 但当 时, ,所以 ,从而 至多有一个解, 所以函数 不周期函数,所以②不正确; 对于③中,结合 的图象,可得的图象不是连续的, 例如:当 时直线 与函数 没有公共点, 所以存在无数条直线,与函数 的图象无公共点,所以③正确; 对于④中,若 ,则满足 ,此时 , 学科网(北京)股份有限公司可得 ,所以④不正确; 对于⑤中,设 ,则 , 此时 都是函数 的值域,则 也是函数的值域, 而 ,可得 无解,所以函数 的值域不是 , 所以⑤不正确. 故选:A. 二、多选题 2.(23-24高一上·辽宁朝阳·期末)已知定义域为 的奇函数 满足 ,且 在 上单调递减, ,则( ) A.函数 的图象关于直线 对称 B. C. D.设 , 和 图象的所有交点的横坐标之和为 【答案】ABD 【分析】根据函数的奇偶性、对称性、周期性、单调性、图象等知识对选项进行分析,从而确定正 确答案. 学科网(北京)股份有限公司【详解】因为定义域为 的奇函数 满足 ,而 , 所以函数 的图象关于直线 对称,故A正确; 因为 ,即 , 于是有 ,故B正确; ,故C错误; 因为 是定义在 上的奇函数,且在 上单调递减, , 所以 在 上单调递减, ,又函数 的图象关于直线 对称, 函数 的图象也关于直线 对称, 作出函数 的大致示意图和 的图象, 由图可知,函数 和 的图象共有 个交点,且关于 对称, 设交点的横坐标分别为 ,所以 ,即 , 所以 和 图象的所有交点横坐标之和为 ,故D正确. 故选:ABD 【点睛】结论点睛:满足 的函数,具有对称性,对称轴为 ,满足 学科网(北京)股份有限公司的函数,具有对称性,对称中心为 .一个函数既有对称中心,又有对 称轴,则可利用周期性来对问题进行求解. 3.(23-24高一上·安徽宣城·期末)高斯是德国著名的数学家,近代数学奠基者之一,享有“数学 王子”的称号,用其名字命名的“高斯函数”为:设 ,用 表示不超过x的最大整数,则 称为高斯函数,例如: , .已知函数 ,则关于函数 的 结论中正确的是( ) A. 在 上是单调递增函数 B. 是奇函数 C. 是周期函数 D. 的值域是 【答案】ACD 【分析】首先 使得 ,从而 ,进一步有 ,由此可判断C;结合周期性可判断ADB三个选 项. 【详解】因为 使得 , 所以此时 , , 所以 , 所以 是周期为1的周期函数,故C正确; 对于D,我们只需考虑 在 上的值域即可,此时 ,故D正确; 对于A,因为在 上 单调递增,而 是周期为1的周期函数,所以 在 上 是单调递增函数,故A正确; 对于B,因为 是周期为1的周期函数,所以 ,即 不是奇函数,故 B错误. 学科网(北京)股份有限公司故选:ACD. 【点睛】关键点点睛:关键是首先得出 使得 ,进一步得出 是周期为 1的周期函数,由此即可顺利得解. 4.(23-24高一上·河南许昌·期末)已知函数 满足 , 且 ,则下列命题正确的是( ) A. B. 为奇函数 C. 为周期函数 D. ,使得 成立 【答案】BC 【分析】先令 ,即可判断函数的周期性,即可判断C;再令 ,求出 ,进而可判 断AD;再令 ,判断出函数的奇偶性,进而可判断B. 【详解】由 , 令 ,则 , 则 ,即 , 所以 , 所以函数 为周期函数,故C正确; 令 ,则 ,解得 或 , 当 时,令 ,则 , 所以 ,故AD错误; 所以 ,其图象关于原点对称,是奇函数; 当 时,令 ,则 , 学科网(北京)股份有限公司所以 ,所以函数 是偶函数, 所以 , 又因为 ,所以 , 则 ,所以函数 为奇函数, 综上所述, 为奇函数,故B正确. 故选:BC. 【点睛】方法点睛:函数的三个性质:单调性、奇偶性和周期性,在高考中一般不会单独命题,而 是常将它们综合在一起考查,其中单调性与奇偶性结合、周期性与抽象函数相结合,并结合奇偶性 求函数值,多以选择题、填空题的形式呈现,且主要有以下几种命题角度; (1)函数的单调性与奇偶性相结合,注意函数的单调性及奇偶性的定义,以及奇、偶函数图象的 对称性. (2)周期性与奇偶性相结合,此类问题多考查求值问题,常利用奇偶性及周期性进行交换,将所 求函数值的自变量转化到已知解析式的函数定义域内求解; (3)周期性、奇偶性与单调性相结合,解决此类问题通常先利用周期性转化自变量所在的区间, 然后利用奇偶性和单调性求解. 5.(22-23高一上·吉林长春·期末)已知函数 与 的定义域均为 ,且 , , 为偶函数,则( ) A.函数 的图像关于直线 对称 B. C.函数 的图像关于点 对称 D. 【答案】ACD 【分析】根据 为偶函数,可判断A;由题意可得 , 学科网(北京)股份有限公司,求出 的对称中心可判断BC;由 的对称性可判断函数 的周期为 ,故 ,赋值求解即可判断D. 【详解】因为 为偶函数,所以 ,故函数 的图像关于直线 对称,故A正确; 因为 ,所以 ,即 ①. 因为 ②,所以 ③. ①+③,得 ,故函数 的图像关于点 对称,故C正确,B错 误; 因为函数 的图像关于直线 对称,所以 . ①-②,得 ,所以 . 所以 ,即函数 的周期为 . 所以 . 在 中,令 ,可得 ④, 学科网(北京)股份有限公司在 中,令 ,可得 ,即 ⑤. ⑤-④,得 ,故 ,故D正确. 故选:ACD. 【点睛】关键点睛: 函数的对称性:若 ,则函数 关于 中心对称; 若 ,则则函数 关于 对称. 6.(23-24高一上·浙江湖州·期末)已知函数 对任意实数 , 都满足 ,且 ,则下列说法正确的是( ) A. 是偶函数 B. C. D. 【答案】ACD 【分析】对A、B、C分别利用赋值法可逐项判断,对D利用赋值法可求出 是周期函数,再根 据周期函数可判断. 【详解】因为 , 对B,令 ,得 ,因为 ,所以 ,故B错误; 对A,令 ,则 ,由B知 , 学科网(北京)股份有限公司则 ,所以 ,且定义域为 , 故 是偶函数,故A正确; 对C,令 ,则 ,所以 , 令 ,则 ,故C正确; 对D,有 ,则 , 所以函数周期 ,则 , 所以 ,故D正确. 故选:ACD. 三、解答题 7.(23-24高一上·湖南长沙·期末)若函数 满足 且 ,则称函数 为“M函数”. (1)试判断 是否为“M函数”,并说明理由; (2)函数 为“M函数”,其在 的图象落在直线 上,在函数 图象 上任取一点P,对于定点 ,求线段AP的最小值; (3)函数 为“M函数”,且当 时, ,求 的解析式;若当 , 学科网(北京)股份有限公司关于x的方程 (a为常数)有解,记该方程所有解的和为S,求S. 【答案】(1) 不是“M函数”,理由见解析 (2) (3) 【分析】(1)由“ 函数”的定义,即可判断; (2)结合函数的周期性和对称性,画出函数的图象,利用数形结合转化为点到直线的距离,即可 求解; (3)首先结合“ 函数”的定义,利用周期性和对称性求函数的解析式,再画出函数 的图象,讨论 得到取值,利用对称性求和. 【详解】(1) 的周期为 ,满足 , , , ,所以函数 不是“ 函数”; (2)若 为“M函数”, 满足 且 , 所以函数的周期为 ,且函数关于 对称, 根据 ,函数 的图象落在直线 上,利用对称性和周期性画出函数 学科网(北京)股份有限公司的图象, 设 , , 所以 , 根据周期可知, 的图象,如上图所示, 线段 的最小值就是如图点 到直线的距离,根据周期转化为 到直线 的距离, 即 , 所以 的最小值为 . (3)设 ,则 所以 , 设 ,则 , , 设 ,则 , , 所以 ; 学科网(北京)股份有限公司所以 作出函数 的图象,如图所示, 关于 的方程 ( 为常数)有解等价于函数 与 的图象有交点, 由图可知,当 时,方程 ( 为常数)有3个解, 则方程所有的解的和为 , 当 或 时,方程 ( 为常数)有4个解,其方程所有解的和 , 当 时,方程 ( 为常数)有6个解,其方程所有解的和 , 当 时,方程 ( 为常数)有8个解,其方程所有解的和 综上所述,当 ,关于 的方程 ( 为常数)所有解的和为 , 学科网(北京)股份有限公司则 . 【点睛】关键点点睛:本题的关键是理解“ 函数”的定义,确定函数的周期和对称性,利用周 期性和对称性求函数的解析式,以及画出函数的图象. 函数的对称性(共10题) 1.(23-24高一上·河北唐山·期末)已知函数 . (1)若 ,根据函数单调性的定义证明 在 上单调递减; (2)由奇函数的图象关于原点对称可以推广得到:函数 的图象关于点 中心对称的充要条 件是 . 据此证明:当 时,函数 的图象关于点 中心对称. 【答案】(1)证明过程见解析 (2)证明过程见解析 【分析】(1)化简得到 ,定义法证明函数单调性的步骤,取点,作差,判号,下结论; (2)得到 ,计算出 ,得到答案. 【详解】(1) 时, , 任取 ,则 , 学科网(北京)股份有限公司因为 在 上单调递增, 所以 ,又 , 所以 ,故 , 所以 在 上单调递减; (2) 时, , , 故函数 的图象关于点 中心对称. 2.(23-24高一上·四川德阳·期末)对称美在日常生活中随处可见,在数学中也非常常见.高一某 同学通过自主探究发现:①当 时:若恒有 ,则函数 关于直线 对 称;若恒有 ,则函数 关于点 对称;②函数 关于直线 对称, 必为偶函数;若函数 关于点 对称,则 必为奇函数;③三次函数 一定有对称中心;四次函数 不一定有与 轴垂直的对称轴.请您对上诉结论作进一步探究,结合自己的实际,解答以下问题: (1)求三次函数 的对称中心; (2)若四次函数 有垂直于 轴的对称轴,求 的值; 学科网(北京)股份有限公司(3)若 ,求 的值. 【答案】(1) (2)6 (3) 【分析】(1)法一:利用因式分解将函数解析式变为 ,利用函数平移及奇函 数的性质求得对称中心;法二:利用待定系数法将函数解析式变为 ,利用函 数平移及奇函数的性质求得对称中心; (2)根据 关于直线 对称设为 ,利用系数相等求解即可; (3)先根据三次函数 的对称性得 ,然后将题干式子化为 ,求解即可. 【详解】(1)法一: , 可由奇函数 右移1个单位,再上移3个单位得到, 故三次函数 的对称中心为 . 法二: 令 , 学科网(北京)股份有限公司则 ,解得: , 即 , 可由奇函数 右移1个单位,再上移3个单位得到, 故三次函数 的对称中心为 . (2)若函数 关于直线 对称, 则 , 所以 ,解得 . (3)令 ,由(1)知, 由奇函数 平移得到,其对称中心为 , 又 在 上单调递增,故 在 上单调递增,所以 , 可化为 ,所以 ,故 . 3.(23-24高一上·江苏常州·期末)已知结论:设函数 的定义域为 ,若 对 恒成立,则 的图象关于点 中心对称,反之亦然.特别地, 当 时, 的图象关于原点对称,此时 为奇函数.设函数 . (1)判断 在 上的单调性,并用函数单调性的定义证明; (2)计算 的值,并根据结论写出函数 的图象的对称中心; 学科网(北京)股份有限公司(3)若不等式 对 恒成立,求实数 的最大值. 【答案】(1)单调递减,证明见解析 (2) ,函数 的图象的对称中心为 (3) 【分析】(1) 在 上单调递减,设 ,计算得到 得到证明; (2)计算得到 ,根据题设得到结论; (3)构造 ,确定 为奇函数,且在 上单调递减,变换得到 , 得到 ,根据均值不等式计算最值得到答案. 【详解】(1) 在 上单调递减,证明如下: 设 ,则 , ,则 , 故 ,即 ,函数在 上单调递减; (2) ,则 , 故函数 的图象的对称中心为 ; (3)设 ,故 为奇函数,且在 上单调递减, ,即 ,即 , 则 在 上恒成立,即 , , 学科网(北京)股份有限公司,当且仅当 时等号成立,故 ,即 的最大值为 . 4.(23-24高一上·山东聊城·期末)已知函数 . (1)判断函数 在 上的单调性,并根据定义证明你的判断; (2)函数 的图象关于点 成中心对称图形的充要条件是 为奇函数.依据 上述结论,证明: 的图象关于点 成中心对称图形. 【答案】(1)单调递减,证明见解析 (2)证明见解析 【分析】(1)利用单调性得定义证明即可; (2)构造 ,只需证明 为奇函数即可. 【详解】(1)函数 在 上单调递减.证明如下: 任取 ,且 , . 因为 ,且 , 所以 , , 所以 ,即 , 故函数 在 上单调递减. (2)证明:设 , 则 . 学科网(北京)股份有限公司因为函数 定义域为 , 且 , 所以 为奇函数. 故 的图象关于点 成中心对称图形. 5.(21-22高一上·上海普陀·期末)已知函数 (1)求证:用单调性定义证明函数 是 上的严格减函数; (2)已知“函数 的图像关于点 对称”的充要条件是“ 对于定义域 内任何 恒成立”.试用此结论判断函数 的图像是否存在对称中心,若存在,求出该对称中心 的坐标;若不存在,说明理由; (3)若对任意 ,都存在 及实数 ,使得 ,求实数 的最大 值. 【答案】(1)见解析; (2)存在,为 ; (3)2. 【分析】(1)先设 ,然后利用作差法比较 与 的大小即可判断; 假设函数 的图像存在对称中心 , (2)结合函数的对称性及恒成立问题可建立关于 , 的方程,进而可求 , ; (3)由已知代入整理可得 , 的关系,然后结合恒成立可求 的范围,进而可求. 【详解】(1)设 ,则 , ∴ , 学科网(北京)股份有限公司∴函数 是 上的严格减函数; (2)假设函数 的图像存在对称中心 , 则 恒成立, 整理得 恒成立, ∴ , 解得 , , 故函数 的对称中心为 ; (3)∵对任意 , ,都存在 , 及实数 ,使得 , ∴ , 即 , ∴ , ∴ , ∵ , ,∴ , , ∵ , ,∴ , , , ∴ ,即 , ∴ , ∴ ,即 的最大值为2. 6.(21-22高一上·河南开封·期末)我们知道,函数 的图象关于坐标原点成中心对称图形 学科网(北京)股份有限公司的充要条件是函数 为奇函数,有同学发现可以将其推广为:函数 的图象关于点 成中心对称图形的充要条件是函数 为奇函数.若函数 的图象关于点 对称,且当 时, . (1)求 的值; (2)设函数 . (i)证明函数 的图象关于点 对称; (ii)若对任意 ,总存在 ,使得 成立,求 的取值范围. 【答案】(1) ; (2)(i)证明见解析;(ii) . 【分析】(1)根据题意∵ 为奇函数,∴ ,令x=1即可求出 ; (2)(i)验证 为奇函数即可; (ii))求出 在区间 上的值域为A,记 在区间 上的值域为 ,则 .由此问题转 化为讨论f(x)的值域B,分 , , 三种情况讨论即可. 【详解】(1)∵ 为奇函数, ∴ ,得 , 则令 ,得 . (2)(i) , 学科网(北京)股份有限公司∵ 为奇函数,∴ 为奇函数, ∴函数 的图象关于点 对称. (ii) 在区间 上单调递增,∴ 在区间 上的值域为 ,记 在区 间 上的值域为 , 由对 ,总 ,使得 成立知 , ①当 时, 在 上单调递增,由对称性知, 在 上单调递增,∴ 在 上单调递增, 只需 即可,得 ,∴ 满足题意; ②当 时, 在 上单调递减,在 上单调递增,由对称性知, 在 上 单调递增,在 上单调递减, ∴ 在 上单调递减,在 上单调递增,在 上单调递减, ∴ 或 , 当 时, , , ∴ 满足题意; ③当 时, 在 上单调递减,由对称性知, 在 上单调递减,∴ 在 上单调递减, 只需 即可,得 ,∴ 满足题意. 综上所述, 的取值范围为 . 7.(22-23高一上·四川绵阳·期末)我们知道,函数 图像关于坐标原点成中心对称图形的 学科网(北京)股份有限公司充要条件是函数 为奇函数,有同学发现可以将其推广为:函数 的图像关于点 成中心对称图形的充要条件是函数 为奇函数.已知函数 . (1)利用上述结论,证明:函数 的图像关于 成中心对称图形; (2)判断函数 的单调性(无需证明),并解关于x的不等式: . 【答案】(1)证明见解析 (2) 为减函数,答案见解析 【分析】(1)由题,证明 为奇函数即可; (2)由题可得 为减函数,又结合(1)结论可知 ,后分类讨论 的值解不等式即可. 【详解】(1)证明:由题意,只需证明 为奇函数, 又 , 易知函数 定义域为 . ,所以 为奇 函数,所以 的图像关于 成中心对称图形. (2)易知 为增函数,且 ,对任意的 恒成立, 所以 为减函数. 又由(1)知,点 与点 关于点 成中心对称, 即 , 所以原不等式等价于 , 学科网(北京)股份有限公司所以 ,即 , 由 解得 , 当 时,原不等式解集为 或 ; 当 时,原不等式解集为 ; 当 时,原不等式解集为 或 . 【点睛】关键点点睛:本题涉及函数新定义,以及利用新定义结合函数单调性解决问题. 本题关键是读懂信息,第一问将证明函数对称性转化为证明函数奇偶性,第二问则利用所得结论将 函数不等式转化为含参二次不等式. 8.(23-24高一上·浙江温州·期末)已知函数 . (1)当 时,求 的单调区间 (2)若函数 的定义域内存在 ,使得 成立,则称 为局部对称函 数,其中 为函数 的局部对称点,若 是函数 的局部对称点,求实数 的取值范 围. 【答案】(1)单调减区间是 ,单调增区间是 (2) 【分析】(1)将原函数可看作由 , 复合而成,根据复合函数的单调性的判断, 即可求得答案; (2)根据函数局部对称点的定义,可得存在 使得 成立,即可得 ,分离参数得 ,然后结合换元以及函数 的单调性,即可求得答案. 学科网(北京)股份有限公司【详解】(1)当 时, ,即 , 令 ,则 ,即为 在 上递增, 在 上单调递减,在 上单调递增, 的单调减区间是 ,单调增区间是 (2)由已知可得, 是函数 的局部对称点, 即存在 使得 成立, 即存在 ,使得 成立, 化简得 , , , , 令 ,当且仅当 时取等号, ,令 , 由于 在 上单调递增,故 , 即 . 【点睛】难点点睛:本题第二问给出了局部对称点的定义,要求根据函数的局部对称点求解参数的 范围,解答时要根据局部对称点推出,存在 使得 成立,难点就在于对于 学科网(北京)股份有限公司该式的化简,结合指数运算,分离参数,得出 ,再结合换元以及函数的单调 性求解. 9.(23-24高一上·江苏常州·期末)中心对称函数指的是图形关于某个定点成中心对称的函数,我 们学过的奇函数便是一类特殊的中心对称函数,它的对称中心为坐标原点. 类比奇函数的代数定义, 我们可以定义中心对称函数:设函数 的定义域为 ,若对 ,都有 ,则称函数 为中心对称函数,其中 为函数 的对称中心. 比如, 函数 就是中心对称函数,其对称中心为 . (1)判断 是否为中心对称函数(不用写理由),若是,请写对称中心; (2)若定义在 上的函数 为中心对称函数,求 的值; (3)判断函数 是否为中心对称函数,若是,求出其对称中心;若不是,请说明理由. 【答案】(1) 是中心对称函数,对称中心为 (2) (3) 是中心对称函数,对称中心为 . 【分析】(1)根据题意,由函数的解析式可得 ,即可得结论; (2)若定义在 上的函数 为中心对称函数,其对称中心的横坐标必为 , 由 可知, ,即可得出 的值; (3)根据题意,由函数的解析式可得 ,即可得结论. 【详解】(1)根据题意, 的定义域为 , 学科网(北京)股份有限公司,若对 , 都有 , 所以 中心对称函数,对称中心为 ; (2)若定义在 上的函数 为中心对称函数, 明显定义域仅关于点 对称,其对称中心的横坐标必为 , 则 , 因为 为中心对称函数, 则 为定值,则 ,即 , 所以 关于点 对称. (3)函数 的图象是中心对称图形,其对称中心为点 解方程 得 ,所以函数 的定义域为 明显定义域仅关于点 对称 所以若函数 的图象是中心对称图形,则其对称中心横坐标必为 设其对称中心为点 , 则由题意可知有 , 令 ,可得 , 所以 所以若函数 为中心对称图形,其对称中心必定为点 下面论证函数 的图象关于点 成中心对称图形: 即只需证明 , 学科网(北京)股份有限公司,得证. 【点睛】结论点睛:函数的对称性: (1)若 ,则函数 关于 中心对称; (2)若 ,则函数 关于 对称. 10.(23-24高一上·四川泸州·期末)“函数 的图象关于点 对称”的充要条件是“对于 函数 定义域内的任意x,都有 ”,已知函数 . (1)证明:函数 的图象关于点 对称; (2)若函数 的图象关于点 对称,且当 时, .若对任意 , 总存在 ,使得 成立,求实数a的取值范围. 【答案】(1)证明见解析 (2) 【分析】(1)根据题意证明 即可; (2)由题意可得: 在 上的值域是 在 上的值域的子集,根据题意二次函数分类 讨论函数 在 内单调性,结合对称性以及包含关系分析求解. 学科网(北京)股份有限公司【详解】(1)由题意可知: ,且 的定义域为 ,关于 对 称, 因为 , 所以函数 的图象关于点 对称. (2)设 在 上的值域为 , 在 上的值域为 ,由题意可知: , 由(1)可知 , 因为 ,则 ,可得 , 所以 ,即 , 又因为 的图象开口向上,对称轴为 ,则有: 若 ,即 时,可知 在 内单调递增, 可得 , 且函数 的图象关于点 对称,则 , 可知 在 的 , 可知 在 的最大值为 ,最小值为 , 可得 ,且 , 满足 ,即 符合题意; 若 ,即 时,可知 在 内单调递减,在 内单调递增, 可得 , 学科网(北京)股份有限公司且函数 的图象关于点 对称,则 , 可知 在 的 , 可知 在 的最大值为 ,最小值为 , 可得 或 ,解得 , 且 或 ,解得 ; 若 ,即 时,可知 在 内单调递减,在 内单调递增, 可得 , 且函数 的图象关于点 对称,则 , 可知 在 的 , 可知 在 的最大值为 ,最小值为 , 即 ,则 ,解得 ; 若 ,即 时,可知 在 内单调递减, 可得 , 且函数 的图象关于点 对称,则 , 可知 在 的 , 可知 在 的最大值为 ,最小值为 , 学科网(北京)股份有限公司所以 ,且 , 满足 ,即 符合题意; 综上所述:实数a的取值范围 . 【点睛】关键点睛:1.根据二次函数的对称性分类讨论函数 在 内单调性,进而判断函数 在 内最值; 2.根据对称性判断 在 内的最值. 函数的应用(共9题) 一、单选题 1.(23-24高一上·江西新余·期末)对于函数 ,若存在 ,使得 ,则称 点 与点 是函数 的一对“隐对称点”,若函数 的 图象存在“隐对称点”,则实数 的取值范围是( ) A. B. C. D. 【答案】A 【分析】把问题转化为一元二次方程在给定的区间上有解,求参数的取值范围. 【详解】设 为奇函数,且当 时, ,则 时, . 则原问题转化为方程: 在 上有解,求 的取值范围问题. 由 在 有解得: . 故选:A 学科网(北京)股份有限公司【点睛】关键点点睛:根据“隐对称点”的概念,把函数 位于 轴左侧的图象关于原点对称后, 必与函数 位于 轴右侧的图象有公共点,从而转化为二次函数在给定区间上有零点的问题解决 是该问题的关键.属于中档题. 二、多选题 2.(23-24高一上·广东清远·期末)已知函数 有且只有一个零点,则下列 结论正确的是( ) A. B. C.不等式 的解集为 D.若不等式 的解集为 ,则 【答案】ACD 【分析】先根据题意得出 ;再由二次函数的最值的求法可判断选项A,根据基本不等式 可判断选项B,由三个二次之间的关系可判断选项C,由三个二次之间的关系及韦达定理可判断选 项D. 【详解】因为 有且只有一个零点, 所以 ,即 . 对于选项A,因为 , 所以 ,故选项A正确; 对于选项B,因为 ,当且仅当 时,等号成立,故选项 错误; 学科网(北京)股份有限公司对于选项C,因为 , 所以不等式 的解集为 ,故选项C正确; 对于选项D,因为不等式 的解集为 , 所以方程 的两根为 ,且 , 所以 ,故选项D正确. 故选:ACD. 3.(23-24高一上·陕西宝鸡·期末)若函数 在 时,值域也为 ,则称 为 的“保值区间”.下列结论正确的是( ) A.函数 不存在保值区间 B.函数 有无数多个保值区间 C.若函数 存在保值区间 ,则 D.若函数 存在保值区间,则 【答案】BCD 【分析】对于A,结合 的单调性,令 ,解方程即可; 对于B,由题可知,当 时,函数 可能存在保值区间 ,结合函数 的 单调性,可得 ,所以当 时,函数 的保值区间为 ,最后由 的任意性即可 判断; 对于C,分 和 两种情况,结合函数 的单调性即可求解; 学科网(北京)股份有限公司对于D,由函数 的单调性知 ,即方程 在 上有两解, 令 ,换元得 在 上有两解,进而转化为函数 的图象与 有两个交点,结合图象即可得解. 【详解】对于A, 在 和 上单调递增, 令 ,得 , 解得 或 , 故 存在保值区间 ,故A错误; 对于B,由 , 可知当 时,函数 可能存在保值区间 , 因为函数 在 单调递减, 则有 , 可得 ,即 ,解得 , 所以当 时,函数 的保值区间为 , 由 的任意性,可知函数 有无数多个保值区间,故B正确; 对于C,若 存在保值区间 , ①当 时, 在 上单调递增, 故 ,解得 ; 学科网(北京)股份有限公司②当 时, 在 上单调递减,在 上单调递增, 因为 ,所以 , 解得 (舍去), 综上, ,故C正确; 对于D,函数 在 上单调递增, 若 存在保值区间 , 则 , 可知方程 在 上有两解, 令 ,有 , 则方程 可化为 , 所以 在 上有两解, 令 , 所以函数 在 上单调递减,在 上单调递增, 又 , , 所以函数 的大致图象如图所示, 学科网(北京)股份有限公司因为 在 上有两解, 所以 在 上有两解, 即函数 的图象与 有两个交点, 由图可知, ,故D正确. 故选:BCD. 【点睛】关键点睛:本题主要考查了新定义问题与函数的性质,解题的关键是充分理解“保值区 间”的概念,根据函数的单调性与值域,结合换元法求解即可. 三、填空题 4.(23-24 高一上·湖北荆门·期末)函数 的定义域为 ,满足 ,且当 时, ,若对任意的 ,都有 ,则 的取值范围是 . 【答案】 【分析】根据条件,求出函数在各段上的解析式,数形结合,求 的取值范围. 【详解】 .由 . 当 时, ; 设 ,则 ,所以 ; 设 时,则 ,所以 , 由 , 即 或 . 学科网(北京)股份有限公司由图象可得: ,都有 ,故 故答案为: 【点睛】本题考查函数与方程的综合运用,训练了函数解析式的求解及常用方法,考查数形结合的 解题思想方法,属中档题. 四、解答题 5.(22-23高一上·云南曲靖·期末)巴拿马运河起着连接美洲南北陆路通道的作用,是世界上最繁 忙的运河之一,假设运河上的船只航行速度为 (单位:海里/小时),船只的密集度为 (单位: 艘/海里),当运河上的船只密度为50艘/海里时,河道拥堵,此时航行速度为0;当船只密度不超 过5艘/海里时,船只的速度为45海里/小时,数据统计表明:当 时,船只的速度是船只 密集度 的一次函数. (1)当 时,求函数 的表达式; (2)当船只密度 为多大时,单位时间内,通过的船只数量 可以达到最大值,求出最大 值.(取整) 【答案】(1) (2)25艘/海里,最大值为625. 【分析】(1)根据题意分段求解函数解析式,即可得答案; (2)由(1)可得 的解析式,分段求解函数最值,比较即可得答案. 【详解】(1)由题意知 时, 海里/小时; 学科网(北京)股份有限公司当 时,设 , 则 ,解得 , 故 ; (2)由(1)可得 , 当 时, ,此时 ; 当 时, , 当 时, 取到最大值为625; 由于 ,故当船只密度为25艘/海里时,通过的船只数量 可以达到最大值, 最大值为625. 6.(22-23高一上·上海徐汇·期末)某品牌手机公司的年固定成本为50万元,每生产1万部手机需 增加投入20万元,该公司一年内生产 万部手机并全部销售完当年销售量x低于40万部时, 每销售1万部手机的收入 万元;当年销售量x不低于40万部时,每销售1万部手机 的收入 万元 (1)写出年利润y万元关于年销售量x万部的函数解析式; (2)年销售量为多少万部时,利润最大,并求出最大利润. 【答案】(1) (2)38万部时,最大利润为7170万元. 【分析】(1)依题意,分 和 两段分别求利润=收入-成本,即得结果; 学科网(北京)股份有限公司(2)分 和 两段分别求函数的最大值,再比较两个最大值的大小,即得最大利润. 【详解】(1)依题意,生产 万部手机,成本是 (万元), 故利润 ,而 , 故 , 整理得, ; (2) 时, ,开口向下的抛物线,在 时,利 润最大值为 ; 时, , 其中 ,在 上单调递减,在 上单调递增,因 为 ,故 时, 取得最小值 故 在 时,y取得最大值 而 , 故年销售量为38万部时,利润最大,最大利润为7170万元. 7.(22-23高一上·北京西城·期末)设函数 的定义域为D,对于区间 , 学科网(北京)股份有限公司若满足以下两条性质之一,则称I为 的一个“ 区间”. 性质1:对任意 ,有 ; 性质2:对任意 ,有 . (1)分别判断区间 是否为下列两函数的“ 区间”(直接写出结论); ① ; ② ; (2)若 是函数 的“ 区间”,求m的取值范围; (3)已知定义在 上,且图象连续不断的函数 满足:对任意 ,且 ,有 .求证: 存在“ 区间”,且存在 ,使得 不属于 的所有“ 区间”. 【答案】(1)①是,②不是; (2) ; (3)证明见解析. 【分析】(1)根据新定义直接判断即可得出结论; (2)根据 是函数 的“ 区间”确定其满足性质1,据此分类讨论求二 次函数值域,检验即可得解; (3)由所给函数性质分析出满足性质2,转化为 不恒成立, 存在“ 区间”,再构 造函数 ,证明有唯一零点,且 . 【详解】(1)对①,当 , ,满足性质1, 是函数的“ 区间”, 对②,当 时, ,当 时, ,故不满足性质1,2, 学科网(北京)股份有限公司不是函数的“ 区间”. (2)记 , ,注意到 , 因此,若 为函数 的“ 区间”,则其不满足性质②,必满足性质①,即 . 当 时, 在 上单调递增,且 , 所以 不包含于 ,不合题意; 当 时, ,符合题意; 当 时, ,所以 ,不合题意. 综上, . (3)对于任意区间 ,记 , 依题意, 在 上单调递减,则 . 因为 ,所以 , 即S的长度大于 的长度,故不满足性质①. 因此,如果 为 的“Q区间”,只能满足性质②,即 , 即只需存在 使得 ,或存在 使得 . 因为 不恒成立,所以上述条件满足,所以 一定存在“Q区间" . 记 ,先证明函数 有唯一零点; 因为 在 上单调递减,所以 在 上单调递减. 若 ,则 为 的唯一零点; 若 ,则 ,即 , 学科网(北京)股份有限公司由零点存在定理,结合 单调性,可知存在唯一 ,使得 ; 若 ,则 ,即 , 由零点存在定理,结合 单调性,可知存在唯一 ,使得 ; 综上,函数 有唯一零点 ,即 , 已证 的所有“Q区间” 都满足条件②,所以 . 【点睛】关键点点睛:根据所给函数的新定义,理解应用新定义,是解决问题的关键,其中注意分 类讨论思想、特殊化思想的应用,属于难题. 8.(22-23高一上·重庆·期末)已知函数 是奇函数,且过点 . (1)求实数m和a的值; (2)设 ,是否存在正实数t,使关于x的不等式 对 恒成立,若存在,求出t的值;若不存在,请说明理由. 【答案】(1) , (2)存在, 【分析】(1)根据奇函数的性质可求得 ,从而可得解; (2)由(1)可得 ,再用整体换元思想将函数转化为 二次函数,再分类讨论,讨论 时和若 时函数的单调性,从而可解决函数 在 上恒成立问题. 【详解】(1)因为 是定义域为R的奇函数, 学科网(北京)股份有限公司∴ ,∴ ,检验符合. ∴ . 又因为 过点 , ∴ , ∴ (2)由(1)得 , 因为 ,令 ,∴ , 记 ,∵函数 在 上恒成立, ∴(ⅰ)若 时,函数 在 上为增函数, 所以 为减函数, 则需函数 恒成立,即 恒成立. 由于对称轴 ,函数 在区间 上为增函数, ∴ 恒成立,∴ 恒成立,则 恒成立, 故 合题意 (ⅱ)若 时,则需 在 恒成立,则: ① 学科网(北京)股份有限公司② ③ 综上所述:故存在正数 ,使函数 在 上恒成立 【点睛】关键点睛:第二小问中,用换元法令 ,将复杂函数 转化为二次函数是关 键,再利用分类讨论思想解决函数不等式上恒成立的问题,本题考查了函数的奇偶性,整体换元以 及分类讨论思想,属于较难题. 9.(23-24高一上·浙江衢州·期末)已知函数 (1)若函数 的值域为 ,求实数 的取值范围; (2)若不等式 在 上恒成立,求实数 的取值范围. 【答案】(1) (2) . 【分析】(1)利用二次函数的性质与函数值域的定义计算即可; (2)先利用函数的性质及基本不等式分类讨论 时满足 的 的取值范围,再结 学科网(北京)股份有限公司合二次函数的性质适当放缩证明在此条件下 对 恒成立即可. 【详解】(1)当 时, , 若 ,则 ,显然不符合题意, 若 ,则 单调递增, 且 时, ,符合题意,故 . (2)先考虑 对 恒成立. ①若 ,则当 时, ,不满足题意; ②若 对 恒成立,满足题意; ③若 对 恒成立, 令 ,则只需 , 由于 , 所以 ,解得 , 综上得: . 再证当 时 对 恒成立, 由于 ,故当 时, 有 , 又由 得 , 学科网(北京)股份有限公司所以 . 所以 的取值范围是 . 【点睛】思路点睛:根据函数解析式是分段形式,先分段讨论 对 恒成立, 分为三种情况 , , 结合函数的性质依次讨论得出满足条件的 ;后检验在 时, 对 恒成立, 根据 及 与 适当放缩得出 与 即可. 学科网(北京)股份有限公司