当前位置:首页>文档>专题04双曲线(2种经典基础练+3种优选提升练)解析版(1)_1多考区联考_0105好题汇编备战2024-2025学年高二数学上学期期末真题分类汇编(新高考通用)

专题04双曲线(2种经典基础练+3种优选提升练)解析版(1)_1多考区联考_0105好题汇编备战2024-2025学年高二数学上学期期末真题分类汇编(新高考通用)

  • 2026-04-01 19:02:52 2026-02-09 05:16:31

文档预览

专题04双曲线(2种经典基础练+3种优选提升练)解析版(1)_1多考区联考_0105好题汇编备战2024-2025学年高二数学上学期期末真题分类汇编(新高考通用)
专题04双曲线(2种经典基础练+3种优选提升练)解析版(1)_1多考区联考_0105好题汇编备战2024-2025学年高二数学上学期期末真题分类汇编(新高考通用)
专题04双曲线(2种经典基础练+3种优选提升练)解析版(1)_1多考区联考_0105好题汇编备战2024-2025学年高二数学上学期期末真题分类汇编(新高考通用)
专题04双曲线(2种经典基础练+3种优选提升练)解析版(1)_1多考区联考_0105好题汇编备战2024-2025学年高二数学上学期期末真题分类汇编(新高考通用)
专题04双曲线(2种经典基础练+3种优选提升练)解析版(1)_1多考区联考_0105好题汇编备战2024-2025学年高二数学上学期期末真题分类汇编(新高考通用)
专题04双曲线(2种经典基础练+3种优选提升练)解析版(1)_1多考区联考_0105好题汇编备战2024-2025学年高二数学上学期期末真题分类汇编(新高考通用)
专题04双曲线(2种经典基础练+3种优选提升练)解析版(1)_1多考区联考_0105好题汇编备战2024-2025学年高二数学上学期期末真题分类汇编(新高考通用)
专题04双曲线(2种经典基础练+3种优选提升练)解析版(1)_1多考区联考_0105好题汇编备战2024-2025学年高二数学上学期期末真题分类汇编(新高考通用)
专题04双曲线(2种经典基础练+3种优选提升练)解析版(1)_1多考区联考_0105好题汇编备战2024-2025学年高二数学上学期期末真题分类汇编(新高考通用)
专题04双曲线(2种经典基础练+3种优选提升练)解析版(1)_1多考区联考_0105好题汇编备战2024-2025学年高二数学上学期期末真题分类汇编(新高考通用)
专题04双曲线(2种经典基础练+3种优选提升练)解析版(1)_1多考区联考_0105好题汇编备战2024-2025学年高二数学上学期期末真题分类汇编(新高考通用)
专题04双曲线(2种经典基础练+3种优选提升练)解析版(1)_1多考区联考_0105好题汇编备战2024-2025学年高二数学上学期期末真题分类汇编(新高考通用)
专题04双曲线(2种经典基础练+3种优选提升练)解析版(1)_1多考区联考_0105好题汇编备战2024-2025学年高二数学上学期期末真题分类汇编(新高考通用)
专题04双曲线(2种经典基础练+3种优选提升练)解析版(1)_1多考区联考_0105好题汇编备战2024-2025学年高二数学上学期期末真题分类汇编(新高考通用)
专题04双曲线(2种经典基础练+3种优选提升练)解析版(1)_1多考区联考_0105好题汇编备战2024-2025学年高二数学上学期期末真题分类汇编(新高考通用)
专题04双曲线(2种经典基础练+3种优选提升练)解析版(1)_1多考区联考_0105好题汇编备战2024-2025学年高二数学上学期期末真题分类汇编(新高考通用)
专题04双曲线(2种经典基础练+3种优选提升练)解析版(1)_1多考区联考_0105好题汇编备战2024-2025学年高二数学上学期期末真题分类汇编(新高考通用)
专题04双曲线(2种经典基础练+3种优选提升练)解析版(1)_1多考区联考_0105好题汇编备战2024-2025学年高二数学上学期期末真题分类汇编(新高考通用)
专题04双曲线(2种经典基础练+3种优选提升练)解析版(1)_1多考区联考_0105好题汇编备战2024-2025学年高二数学上学期期末真题分类汇编(新高考通用)
专题04双曲线(2种经典基础练+3种优选提升练)解析版(1)_1多考区联考_0105好题汇编备战2024-2025学年高二数学上学期期末真题分类汇编(新高考通用)
专题04双曲线(2种经典基础练+3种优选提升练)解析版(1)_1多考区联考_0105好题汇编备战2024-2025学年高二数学上学期期末真题分类汇编(新高考通用)
专题04双曲线(2种经典基础练+3种优选提升练)解析版(1)_1多考区联考_0105好题汇编备战2024-2025学年高二数学上学期期末真题分类汇编(新高考通用)
专题04双曲线(2种经典基础练+3种优选提升练)解析版(1)_1多考区联考_0105好题汇编备战2024-2025学年高二数学上学期期末真题分类汇编(新高考通用)
专题04双曲线(2种经典基础练+3种优选提升练)解析版(1)_1多考区联考_0105好题汇编备战2024-2025学年高二数学上学期期末真题分类汇编(新高考通用)
专题04双曲线(2种经典基础练+3种优选提升练)解析版(1)_1多考区联考_0105好题汇编备战2024-2025学年高二数学上学期期末真题分类汇编(新高考通用)
专题04双曲线(2种经典基础练+3种优选提升练)解析版(1)_1多考区联考_0105好题汇编备战2024-2025学年高二数学上学期期末真题分类汇编(新高考通用)
专题04双曲线(2种经典基础练+3种优选提升练)解析版(1)_1多考区联考_0105好题汇编备战2024-2025学年高二数学上学期期末真题分类汇编(新高考通用)
专题04双曲线(2种经典基础练+3种优选提升练)解析版(1)_1多考区联考_0105好题汇编备战2024-2025学年高二数学上学期期末真题分类汇编(新高考通用)
专题04双曲线(2种经典基础练+3种优选提升练)解析版(1)_1多考区联考_0105好题汇编备战2024-2025学年高二数学上学期期末真题分类汇编(新高考通用)
专题04双曲线(2种经典基础练+3种优选提升练)解析版(1)_1多考区联考_0105好题汇编备战2024-2025学年高二数学上学期期末真题分类汇编(新高考通用)
专题04双曲线(2种经典基础练+3种优选提升练)解析版(1)_1多考区联考_0105好题汇编备战2024-2025学年高二数学上学期期末真题分类汇编(新高考通用)
专题04双曲线(2种经典基础练+3种优选提升练)解析版(1)_1多考区联考_0105好题汇编备战2024-2025学年高二数学上学期期末真题分类汇编(新高考通用)
专题04双曲线(2种经典基础练+3种优选提升练)解析版(1)_1多考区联考_0105好题汇编备战2024-2025学年高二数学上学期期末真题分类汇编(新高考通用)
专题04双曲线(2种经典基础练+3种优选提升练)解析版(1)_1多考区联考_0105好题汇编备战2024-2025学年高二数学上学期期末真题分类汇编(新高考通用)
专题04双曲线(2种经典基础练+3种优选提升练)解析版(1)_1多考区联考_0105好题汇编备战2024-2025学年高二数学上学期期末真题分类汇编(新高考通用)
专题04双曲线(2种经典基础练+3种优选提升练)解析版(1)_1多考区联考_0105好题汇编备战2024-2025学年高二数学上学期期末真题分类汇编(新高考通用)
专题04双曲线(2种经典基础练+3种优选提升练)解析版(1)_1多考区联考_0105好题汇编备战2024-2025学年高二数学上学期期末真题分类汇编(新高考通用)
专题04双曲线(2种经典基础练+3种优选提升练)解析版(1)_1多考区联考_0105好题汇编备战2024-2025学年高二数学上学期期末真题分类汇编(新高考通用)
专题04双曲线(2种经典基础练+3种优选提升练)解析版(1)_1多考区联考_0105好题汇编备战2024-2025学年高二数学上学期期末真题分类汇编(新高考通用)
专题04双曲线(2种经典基础练+3种优选提升练)解析版(1)_1多考区联考_0105好题汇编备战2024-2025学年高二数学上学期期末真题分类汇编(新高考通用)
专题04双曲线(2种经典基础练+3种优选提升练)解析版(1)_1多考区联考_0105好题汇编备战2024-2025学年高二数学上学期期末真题分类汇编(新高考通用)
专题04双曲线(2种经典基础练+3种优选提升练)解析版(1)_1多考区联考_0105好题汇编备战2024-2025学年高二数学上学期期末真题分类汇编(新高考通用)
专题04双曲线(2种经典基础练+3种优选提升练)解析版(1)_1多考区联考_0105好题汇编备战2024-2025学年高二数学上学期期末真题分类汇编(新高考通用)
专题04双曲线(2种经典基础练+3种优选提升练)解析版(1)_1多考区联考_0105好题汇编备战2024-2025学年高二数学上学期期末真题分类汇编(新高考通用)
专题04双曲线(2种经典基础练+3种优选提升练)解析版(1)_1多考区联考_0105好题汇编备战2024-2025学年高二数学上学期期末真题分类汇编(新高考通用)
专题04双曲线(2种经典基础练+3种优选提升练)解析版(1)_1多考区联考_0105好题汇编备战2024-2025学年高二数学上学期期末真题分类汇编(新高考通用)
专题04双曲线(2种经典基础练+3种优选提升练)解析版(1)_1多考区联考_0105好题汇编备战2024-2025学年高二数学上学期期末真题分类汇编(新高考通用)
专题04双曲线(2种经典基础练+3种优选提升练)解析版(1)_1多考区联考_0105好题汇编备战2024-2025学年高二数学上学期期末真题分类汇编(新高考通用)
专题04双曲线(2种经典基础练+3种优选提升练)解析版(1)_1多考区联考_0105好题汇编备战2024-2025学年高二数学上学期期末真题分类汇编(新高考通用)
专题04双曲线(2种经典基础练+3种优选提升练)解析版(1)_1多考区联考_0105好题汇编备战2024-2025学年高二数学上学期期末真题分类汇编(新高考通用)
专题04双曲线(2种经典基础练+3种优选提升练)解析版(1)_1多考区联考_0105好题汇编备战2024-2025学年高二数学上学期期末真题分类汇编(新高考通用)
专题04双曲线(2种经典基础练+3种优选提升练)解析版(1)_1多考区联考_0105好题汇编备战2024-2025学年高二数学上学期期末真题分类汇编(新高考通用)
专题04双曲线(2种经典基础练+3种优选提升练)解析版(1)_1多考区联考_0105好题汇编备战2024-2025学年高二数学上学期期末真题分类汇编(新高考通用)
专题04双曲线(2种经典基础练+3种优选提升练)解析版(1)_1多考区联考_0105好题汇编备战2024-2025学年高二数学上学期期末真题分类汇编(新高考通用)
专题04双曲线(2种经典基础练+3种优选提升练)解析版(1)_1多考区联考_0105好题汇编备战2024-2025学年高二数学上学期期末真题分类汇编(新高考通用)
专题04双曲线(2种经典基础练+3种优选提升练)解析版(1)_1多考区联考_0105好题汇编备战2024-2025学年高二数学上学期期末真题分类汇编(新高考通用)
专题04双曲线(2种经典基础练+3种优选提升练)解析版(1)_1多考区联考_0105好题汇编备战2024-2025学年高二数学上学期期末真题分类汇编(新高考通用)
专题04双曲线(2种经典基础练+3种优选提升练)解析版(1)_1多考区联考_0105好题汇编备战2024-2025学年高二数学上学期期末真题分类汇编(新高考通用)
专题04双曲线(2种经典基础练+3种优选提升练)解析版(1)_1多考区联考_0105好题汇编备战2024-2025学年高二数学上学期期末真题分类汇编(新高考通用)
专题04双曲线(2种经典基础练+3种优选提升练)解析版(1)_1多考区联考_0105好题汇编备战2024-2025学年高二数学上学期期末真题分类汇编(新高考通用)
专题04双曲线(2种经典基础练+3种优选提升练)解析版(1)_1多考区联考_0105好题汇编备战2024-2025学年高二数学上学期期末真题分类汇编(新高考通用)
专题04双曲线(2种经典基础练+3种优选提升练)解析版(1)_1多考区联考_0105好题汇编备战2024-2025学年高二数学上学期期末真题分类汇编(新高考通用)
专题04双曲线(2种经典基础练+3种优选提升练)解析版(1)_1多考区联考_0105好题汇编备战2024-2025学年高二数学上学期期末真题分类汇编(新高考通用)
专题04双曲线(2种经典基础练+3种优选提升练)解析版(1)_1多考区联考_0105好题汇编备战2024-2025学年高二数学上学期期末真题分类汇编(新高考通用)
专题04双曲线(2种经典基础练+3种优选提升练)解析版(1)_1多考区联考_0105好题汇编备战2024-2025学年高二数学上学期期末真题分类汇编(新高考通用)
专题04双曲线(2种经典基础练+3种优选提升练)解析版(1)_1多考区联考_0105好题汇编备战2024-2025学年高二数学上学期期末真题分类汇编(新高考通用)
专题04双曲线(2种经典基础练+3种优选提升练)解析版(1)_1多考区联考_0105好题汇编备战2024-2025学年高二数学上学期期末真题分类汇编(新高考通用)
专题04双曲线(2种经典基础练+3种优选提升练)解析版(1)_1多考区联考_0105好题汇编备战2024-2025学年高二数学上学期期末真题分类汇编(新高考通用)
专题04双曲线(2种经典基础练+3种优选提升练)解析版(1)_1多考区联考_0105好题汇编备战2024-2025学年高二数学上学期期末真题分类汇编(新高考通用)
专题04双曲线(2种经典基础练+3种优选提升练)解析版(1)_1多考区联考_0105好题汇编备战2024-2025学年高二数学上学期期末真题分类汇编(新高考通用)
专题04双曲线(2种经典基础练+3种优选提升练)解析版(1)_1多考区联考_0105好题汇编备战2024-2025学年高二数学上学期期末真题分类汇编(新高考通用)
专题04双曲线(2种经典基础练+3种优选提升练)解析版(1)_1多考区联考_0105好题汇编备战2024-2025学年高二数学上学期期末真题分类汇编(新高考通用)
专题04双曲线(2种经典基础练+3种优选提升练)解析版(1)_1多考区联考_0105好题汇编备战2024-2025学年高二数学上学期期末真题分类汇编(新高考通用)
专题04双曲线(2种经典基础练+3种优选提升练)解析版(1)_1多考区联考_0105好题汇编备战2024-2025学年高二数学上学期期末真题分类汇编(新高考通用)
专题04双曲线(2种经典基础练+3种优选提升练)解析版(1)_1多考区联考_0105好题汇编备战2024-2025学年高二数学上学期期末真题分类汇编(新高考通用)
专题04双曲线(2种经典基础练+3种优选提升练)解析版(1)_1多考区联考_0105好题汇编备战2024-2025学年高二数学上学期期末真题分类汇编(新高考通用)
专题04双曲线(2种经典基础练+3种优选提升练)解析版(1)_1多考区联考_0105好题汇编备战2024-2025学年高二数学上学期期末真题分类汇编(新高考通用)
专题04双曲线(2种经典基础练+3种优选提升练)解析版(1)_1多考区联考_0105好题汇编备战2024-2025学年高二数学上学期期末真题分类汇编(新高考通用)
专题04双曲线(2种经典基础练+3种优选提升练)解析版(1)_1多考区联考_0105好题汇编备战2024-2025学年高二数学上学期期末真题分类汇编(新高考通用)
专题04双曲线(2种经典基础练+3种优选提升练)解析版(1)_1多考区联考_0105好题汇编备战2024-2025学年高二数学上学期期末真题分类汇编(新高考通用)
专题04双曲线(2种经典基础练+3种优选提升练)解析版(1)_1多考区联考_0105好题汇编备战2024-2025学年高二数学上学期期末真题分类汇编(新高考通用)
专题04双曲线(2种经典基础练+3种优选提升练)解析版(1)_1多考区联考_0105好题汇编备战2024-2025学年高二数学上学期期末真题分类汇编(新高考通用)
专题04双曲线(2种经典基础练+3种优选提升练)解析版(1)_1多考区联考_0105好题汇编备战2024-2025学年高二数学上学期期末真题分类汇编(新高考通用)
专题04双曲线(2种经典基础练+3种优选提升练)解析版(1)_1多考区联考_0105好题汇编备战2024-2025学年高二数学上学期期末真题分类汇编(新高考通用)
专题04双曲线(2种经典基础练+3种优选提升练)解析版(1)_1多考区联考_0105好题汇编备战2024-2025学年高二数学上学期期末真题分类汇编(新高考通用)
专题04双曲线(2种经典基础练+3种优选提升练)解析版(1)_1多考区联考_0105好题汇编备战2024-2025学年高二数学上学期期末真题分类汇编(新高考通用)
专题04双曲线(2种经典基础练+3种优选提升练)解析版(1)_1多考区联考_0105好题汇编备战2024-2025学年高二数学上学期期末真题分类汇编(新高考通用)
专题04双曲线(2种经典基础练+3种优选提升练)解析版(1)_1多考区联考_0105好题汇编备战2024-2025学年高二数学上学期期末真题分类汇编(新高考通用)
专题04双曲线(2种经典基础练+3种优选提升练)解析版(1)_1多考区联考_0105好题汇编备战2024-2025学年高二数学上学期期末真题分类汇编(新高考通用)
专题04双曲线(2种经典基础练+3种优选提升练)解析版(1)_1多考区联考_0105好题汇编备战2024-2025学年高二数学上学期期末真题分类汇编(新高考通用)
专题04双曲线(2种经典基础练+3种优选提升练)解析版(1)_1多考区联考_0105好题汇编备战2024-2025学年高二数学上学期期末真题分类汇编(新高考通用)
专题04双曲线(2种经典基础练+3种优选提升练)解析版(1)_1多考区联考_0105好题汇编备战2024-2025学年高二数学上学期期末真题分类汇编(新高考通用)
专题04双曲线(2种经典基础练+3种优选提升练)解析版(1)_1多考区联考_0105好题汇编备战2024-2025学年高二数学上学期期末真题分类汇编(新高考通用)
专题04双曲线(2种经典基础练+3种优选提升练)解析版(1)_1多考区联考_0105好题汇编备战2024-2025学年高二数学上学期期末真题分类汇编(新高考通用)
专题04双曲线(2种经典基础练+3种优选提升练)解析版(1)_1多考区联考_0105好题汇编备战2024-2025学年高二数学上学期期末真题分类汇编(新高考通用)
专题04双曲线(2种经典基础练+3种优选提升练)解析版(1)_1多考区联考_0105好题汇编备战2024-2025学年高二数学上学期期末真题分类汇编(新高考通用)
专题04双曲线(2种经典基础练+3种优选提升练)解析版(1)_1多考区联考_0105好题汇编备战2024-2025学年高二数学上学期期末真题分类汇编(新高考通用)
专题04双曲线(2种经典基础练+3种优选提升练)解析版(1)_1多考区联考_0105好题汇编备战2024-2025学年高二数学上学期期末真题分类汇编(新高考通用)
专题04双曲线(2种经典基础练+3种优选提升练)解析版(1)_1多考区联考_0105好题汇编备战2024-2025学年高二数学上学期期末真题分类汇编(新高考通用)
专题04双曲线(2种经典基础练+3种优选提升练)解析版(1)_1多考区联考_0105好题汇编备战2024-2025学年高二数学上学期期末真题分类汇编(新高考通用)
专题04双曲线(2种经典基础练+3种优选提升练)解析版(1)_1多考区联考_0105好题汇编备战2024-2025学年高二数学上学期期末真题分类汇编(新高考通用)
专题04双曲线(2种经典基础练+3种优选提升练)解析版(1)_1多考区联考_0105好题汇编备战2024-2025学年高二数学上学期期末真题分类汇编(新高考通用)
专题04双曲线(2种经典基础练+3种优选提升练)解析版(1)_1多考区联考_0105好题汇编备战2024-2025学年高二数学上学期期末真题分类汇编(新高考通用)
专题04双曲线(2种经典基础练+3种优选提升练)解析版(1)_1多考区联考_0105好题汇编备战2024-2025学年高二数学上学期期末真题分类汇编(新高考通用)
专题04双曲线(2种经典基础练+3种优选提升练)解析版(1)_1多考区联考_0105好题汇编备战2024-2025学年高二数学上学期期末真题分类汇编(新高考通用)
专题04双曲线(2种经典基础练+3种优选提升练)解析版(1)_1多考区联考_0105好题汇编备战2024-2025学年高二数学上学期期末真题分类汇编(新高考通用)
专题04双曲线(2种经典基础练+3种优选提升练)解析版(1)_1多考区联考_0105好题汇编备战2024-2025学年高二数学上学期期末真题分类汇编(新高考通用)
专题04双曲线(2种经典基础练+3种优选提升练)解析版(1)_1多考区联考_0105好题汇编备战2024-2025学年高二数学上学期期末真题分类汇编(新高考通用)
专题04双曲线(2种经典基础练+3种优选提升练)解析版(1)_1多考区联考_0105好题汇编备战2024-2025学年高二数学上学期期末真题分类汇编(新高考通用)
专题04双曲线(2种经典基础练+3种优选提升练)解析版(1)_1多考区联考_0105好题汇编备战2024-2025学年高二数学上学期期末真题分类汇编(新高考通用)

文档信息

文档格式
docx
文档大小
8.929 MB
文档页数
106 页
上传时间
2026-02-09 05:16:31

文档内容

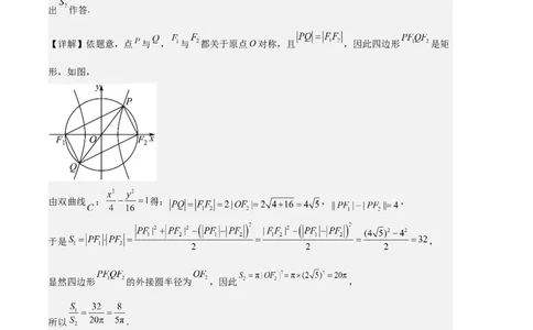
专题 04 双曲线(2 种经典基础练+3 种优选提升练) 双曲线及其标准方程(共16题) 一、单选题 1.(23-24高二上·江苏宿迁·期末)“ ”是“方程 表示双曲线”的( ) A.充分不必要条件 B.必要不充分条件 C.充要条件 D.既不充分也不必要条件 【答案】A 【分析】根据给定条件,求出方程表示双曲线的充要条件,再利用充分条件、必要条件的定义判断 即得. 【详解】方程 表示双曲线,则 ,解得 或 , 当 时,方程 表示双曲线, 所以“ ”是“方程 表示双曲线”的充分不必要条件. 故选:A 2.(23-24高二上·山东东营·期末)若 是双曲线 的两个焦点, 为 上关于 坐标原点对称的两点,且 ,设四边形 的面积为 ,四边形 的外接圆的面 学科网(北京)股份有限公司积为 ,则 ( ) A. B. C. D. 【答案】D 【分析】根据给定条件,探求四边形 的形状,结合双曲线的定义及勾股定理求出 ,再求 出 作答. 【详解】依题意,点 与 , 与 都关于原点O对称,且 ,因此四边形 是矩 形,如图, 由双曲线 : 得: , , 于是 , 显然四边形 的外接圆半径为 ,因此 , 所以 . 故答案为: 3.(23-24高二上·河北保定·期末)已知 为双曲线 的左,右焦点, 为坐标原点, 为双曲线上一点,且 ,则 到 轴的距离为( ) 学科网(北京)股份有限公司A.2 B. C. D. 【答案】C 【分析】设 ,由双曲线的定义及余弦定理,求得 的值,再利用三角形的面积 相等法求得 的值,进而求得 ,得到答案. 【详解】由双曲线 ,可得 ,则 , 设 ,由双曲线的定义,可得 , 根据余弦定理,可得 ,解得 , 再设点 的坐标为 , 则 , 因为 ,可得 ,解得 , 由 ,可得 ,即点 到 轴的距离为 . 故选:C. 4.(23-24高二上·贵州安顺·期末)已知双曲线 的左焦点为F,点P在双曲线C的右 学科网(北京)股份有限公司支上,M为线段FP的中点,若M到坐标原点的距离为7,则 ( ) A.8或20 B.20 C.6或22 D.22 【答案】B 【分析】根据中位线的性质和双曲线的定义,即可求 . 【详解】由双曲线方程可知, , ,设双曲线的右焦点为 , 中,点 分别是 的中点,所以 , 则 ,又因为 . 故选:B 5.(23-24高二上·湖北·期末)已知一个动圆P与两圆 : 和 : 都外切,则动圆P圆心的轨迹方程为( ) A. ( ) B. C. ( ) D. ( ) 【答案】A 【分析】利用双曲线的定义及两圆的位置关系计算即可. 【详解】由题意易知两圆圆心分别为 ,半径分别为 , 设动圆 圆心 ,半径 , 则根据题意有 , 根据双曲线的定义知 的轨迹是以原点为中心, 为左右焦点, 为实轴长的双曲 线的左支,故其轨迹方程为: . 学科网(北京)股份有限公司故选:A 6.(23-24高二上·广东茂名·期末)如图,这是一个落地青花瓷,其中底座和瓶口的直径相等,其 外形被称为单叶双曲面,可以看成是双曲线 的一部分绕其虚轴所在直线 旋转所形成的曲面.若该花瓶横截面圆的最小直径为 ,最大直径为 ,双曲线的离心率为 ,则该花瓶的高为( ) A. B. C. D. 【答案】B 【分析】由 关系以及离心率、 可得双曲线方程,进一步代入 即可求解. 【详解】由该花瓶横截面圆的最小直径为 ,有 , 又由双曲线的离心率为 ,有 , 可得双曲线的方程为 ,代入 ,可得 ,故该花瓶的高为 . 故选:B. 7.(23-24高二上·江苏常州·期末)已知双曲线 的左右焦点分别为 , ,点 在双曲 线上, ,则 ( ) A.13 B.10 C.1 D.13或1 【答案】A 【分析】根据双曲线的定义求解. 【详解】由题意得焦距为 ,由双曲线定义可得 , 学科网(北京)股份有限公司所以 或 ,又因为在双曲线中 ,所以 ,故A正确. 故选:A. 二、多选题 8.(23-24高二上·广东茂名·期末)已知角 ,则方程 可能表示下列哪些 曲线( ) A.椭圆 B.双曲线 C.圆 D.两条直线 【答案】ABCD 【分析】根据题意讨论 的取值范围,结合方程分析判断. 【详解】当 时,则 ,即 , 方程可化为 ,表示双曲线,故B正确; 当 时,则 , 方程可化为 ,表示两条直线,故D正确; 当 时,则 ,即 方程可化为 ,表示焦点在 轴上的椭圆,故A正确; 当 时,则 , 方程可化为 ,表示圆,故C正确. 故选:ABCD. 三、填空题 9.(23-24高二上·山西大同·期末)点 , 分别是双曲线 的左、右焦点,点 在 学科网(北京)股份有限公司上,且 ,则 的周长是 . 【答案】 【分析】利用双曲线表达式求出焦距,结合余弦定理求出 的值,即可求出 的周 长. 【详解】由题意, 在双曲线 中, , ∴ , , 由余弦定理的推论可得 , 所以 , 所以 , , 所以 ,所以 , 所以 的周长为 . 故答案为: . 10.(23-24高二上·湖南益阳·期末) 的坐标满足方程: , 则M的轨迹方程为 . 【答案】 【分析】由题意,结合双曲线的定义即可求解. 学科网(北京)股份有限公司【详解】设 , , 由于动点 的轨迹方程为 则 , 故点M到定点 与到定点 的距离差的绝对值为8, 则动点 的轨迹是以 为焦点的双曲线, 由于 , ,则 , 故M的轨迹方程为: , 故答案为: . 11.(23-24高二上·云南昭通·期末)已知双曲线的右焦点为 ,实轴长为8,则该双曲线的标 准方程为 . 【答案】 【分析】由题意可得条件 , ,从而得到双曲线标准方程.. 【详解】由题可得双曲线焦点在 轴上,且 , ,所以 , ,则双曲线 的标准方程为 . 故答案为: 12.(23-24高二上·天津西青·期末)已知双曲线 ( )的两个焦点为 , ,焦距 为20,点P是双曲线上一点, ,则 . 【答案】 学科网(北京)股份有限公司【分析】由双曲线方程及焦距确定双曲线参数,再由双曲线定义求 . 【详解】由题设 ,又 且 , 所以 ,而 ,则 或 , 其中 ,故 . 故答案为: 13.(23-24高二上·山西长治·期末)在双曲线型冷却塔(如图)的建设过程中,人员、物料的运输 一直是困扰施工的难题,经实践探索设计出“附墙升降机”,其结构如图所示,安装之后附着在冷却塔 的外侧,通过升降吊笼完成输送任务.假设该冷却塔的最小半径为 ,上口半径为 ,下口半径为 ,高为 .附墙升降机轨道在 点以下与冷却塔贴合,从 点到顶端 点是竖直的,则 长约 为 (保留整数). 【答案】 【分析】根据题意先建立直角坐标系,设双曲线的方程为 ,则 ,将 代入双曲线方程得到 与 的关系,再利用高为 求出 ,即可求出 的距离. 【详解】根据双曲线的对称性,在冷却塔的轴截面所在平面建立如图所示的直角坐标系 : 学科网(北京)股份有限公司使小圆的直径 在 轴上,圆心与原点重合.此时上、下口的直径 都平行于 轴,且 , 设双曲线的方程为 ,则 , 因为直径 是实轴,又 两点都在双曲线上,所以 ,解得 , 因为 ,所以 , 解得 , 所以双曲线方程为 , 所以 , 因为双曲线关于 轴对称, 所以 . 故答案为: . 四、解答题 14.(23-24高二上·河北石家庄·期末)已知双曲线过点 且与椭圆 有相同 的焦点 , 学科网(北京)股份有限公司(1)求双曲线的标准方程; (2)若点 在双曲线上,且 ,求 与 的值. 【答案】(1) 1 (2) 【分析】(1)由椭圆方程可得 ,设双曲线方程,则 且 ,解出a、b即可; (2)利用平面向量数量积的坐标表示可得 ,结合 计算即可求解. 【详解】(1)椭圆x2+4y2=16,即为 1, 所以焦点 , 设双曲线的方程为 , 则 ,又 1,解得 , 所以双曲线的方程为 1; (2)若点 在双曲线上,且 0, 即 , 得 ,又 ,解得 . 学科网(北京)股份有限公司15.(23-24高二上·河南漯河·期末)求符合下列条件的曲线方程: (1)已知点 四点,你只需任意选择其中三个点作圆,求所作圆的标 准方程. (2)以 轴, 轴为对称轴,且同时过 两点的圆锥曲线的标准方程. 【答案】(1) (2) 【分析】(1)若选 、 ,可以推导出圆心为 、 的中点 ,半径 ,即可求出圆 的方程;若选 、 、 或 、 、 设出圆的一般式方程,即可得到方程组,解得即可; (2)首先判断不可能为抛物线,设为 ,代入点的坐标得到方程组,解得即可. 【详解】(1)若选择 、 、 三点,因为 , , 所以 ,即 , 所以圆心为 、 的中点 ,半径 , 所以过 、 、 三点的圆的方程为 ; 若选择 、 、 三点, 设圆的方程为 ,则 ,解得 , 所以过 、 、 三点的圆的方程为 ; 学科网(北京)股份有限公司若选择 、 、 三点,因为 , , 所以 ,即 , 所以圆心为 、 的中点 ,半径 , 所以过 、 、 三点的圆的方程为 ; 若选择 、 、 三点, 设圆的方程为 ,则 ,解得 , 所以过 、 、 三点的圆的方程为 ; (2)依题意该圆锥曲线不可能为抛物线,故设曲线方程为 , 则 ,解得 , 所以曲线方程为 . 16.(23-24高二上·山东青岛·期末)已知双曲线 与椭圆 的 焦点相同,点 是 和 在第一象限的公共点,记 的左,右焦点依次为 , , . (1)求 的标准方程; (2)设点 在 上且在第一象限, , 的延长线分别交 于点 , ,设 , 分别为 , 的内切圆半径,求 的最大值. 学科网(北京)股份有限公司【答案】(1) (2) 【分析】(1)由椭圆和双曲线定义得到方程组,求得 ,进而可得 ,可求椭圆 的方程; (2)设 , , ,由椭圆定义得到 ,设直线 , ,与椭圆方程联立,得到两根之和,两根之积,结合基本不等式求出 的最大值. 【详解】(1)双曲线方程为 , 由椭圆和双曲线定义可得 , , 又 ,故 , , 又因为 ,所以 , 则椭圆的标准方程为 (2)设 , , ,显然 , , , , 由椭圆定义知: , 的周长均为 , 所以 ,同理 , 所以 , 学科网(北京)股份有限公司设直线 , , 将直线 方程代入椭圆 的方程 得: , 所以 ,即 ,同理 , 所以 ,当且仅当 , 时等号成 立. 所以 的最大值为 . 【点睛】方法点睛:圆锥曲线中最值或范围问题的常见解法: (1)几何法,若题目的条件和结论能明显体现几何特征和意义,则考虑利用几何法来解决; (2)代数法,若题目的条件和结论能体现某种明确的函数关系,则可首先建立目标函数,再求这 个函数的最值或范围. 双曲线的简单几何性质(共21题) 一、单选题 1.(23-24高二上·安徽·期末)已知双曲线 的渐近线方程为 ,则该双曲线 的焦点坐标分别为( ) A. , B. , C. , D. , 【答案】B 【分析】由渐近线、 的关系以及焦点的概念即可求解. 【详解】已知双曲线 的渐近线方程为 ,对照 ,可得 学科网(北京)股份有限公司, 所以 ,所以该双曲线的焦点坐标分别为 , . 故选:B. 2.(23-24高二上·重庆·期末)已知椭圆 的左焦点是双曲线 的左顶点,则 双曲线的渐近线为( ) A. B. C. D. 【答案】D 【分析】 根据椭圆和双曲线相关基本知识直接求解即可. 【详解】设椭圆焦距为 , 则 ,则 ,所以椭圆 的左焦点为 , 所以双曲线 的左顶点为 , 所以 ,所以 , 所以双曲线 的渐近线为 . 故选:D 3.(23-24高二上·河南漯河·期末)双曲线 ( )的一条渐近线为 ,则 其离心率为( ) A. B. C. 或 D. 或 【答案】B 【分析】首先表示出双曲线的渐近线方程,即可得到 ,再由离心率公式计算可得. 学科网(北京)股份有限公司【详解】双曲线 ( )的渐近线为 , 依题意可得 ,则双曲线的离心率 . 故选:B 4.(23-24高二上·上海奉贤·期末)如图,椭圆①,②与双曲线③,④的离心率分别为 , , , ,其大小关系为( ) A. B. C. D. 【答案】A 【分析】根据椭圆与双曲线的离心率的性质即可解决. 【详解】由题意得到椭圆①,②的b值相同,a值①比②小,则 ,可以知道, ; 根据双曲线的开口越大离心率越大,则 . 所以 , 故选:A. 5.(23-24高二上·陕西西安·期末)已知双曲线 的离心率为2,则该双曲线的 学科网(北京)股份有限公司渐近线方程为( ) A. B. C. D. 【答案】D 【分析】 根据双曲线离心率求出a的值,即可求出双曲线的渐近线方程. 【详解】由题意得双曲线离心率 ,解得 ,(负值舍), 则 ,故双曲线的渐近线方程为 . 故选:D 6.(23-24高二上·河北石家庄·期末)如图所示,某拱桥的截面图可以看作双曲线 的图 象的一部分,当拱顶M到水面的距离为 米时,水面宽 为 米,则此双曲线的虚轴长为 ( ) A. B.2 C.3 D.6 【答案】D 【分析】由题得出 ,代入求得 ,得到双曲线标准方程即可得出答案. 【详解】由题意得 ,代入得 ,解得 , 即 ,因此虚轴长为 , 故选:D. 学科网(北京)股份有限公司二、多选题 7.(23-24高二上·云南昭通·期末)已知点P是双曲线 上任意一点, , 是C的左、 右焦点,则下列结论正确的是( ) A. B.C的离心率为 C. D.C的渐近线方程为 【答案】AB 【分析】根据双曲线的简单性质计算即可. 【详解】由标准方程 可得 , 所以 ,A正确; 离心率 ,B正确; , ,C错误; 渐近线方程为 ,D错误. 故选:AB. 8.(23-24高三上·河北保定·期末)已知双曲线 的渐近线方程为 , 则下列结论正确的是( ) A. B. 的离心率为 C.曲线 经过 的一个顶点 D. 与 有相同的渐近线 【答案】ACD 【分析】根据双曲线的渐近线方程求出 即可判断A;根据双曲线的离心率公式即可判断B;求出 学科网(北京)股份有限公司双曲线的顶点即可判断C;求出双曲线 的渐近线方程即可判断D. 【详解】双曲线 的渐近线方程为 , 所以 ,解得 ( 舍去),故A正确; 双曲线 , 所以 的离心率为 ,故B错误; 双曲线 的顶点为 , 因为 ,所以曲线 经过 的一个顶点 ,故C正确; 对于D,令 ,则 , 即 的渐近线方程为 ,故D正确. 故选:ACD. 9.(23-24高二上·辽宁大连·期末)已知双曲线C的方程为 ,则下列说法正确的是 ( ) A.双曲线C的实轴长为6 B.双曲线C的渐近线方程为 C.双曲线C的焦点到渐近线的距离为4 D.双曲线C上的点到焦点距离的最小值为8 【答案】AC 【分析】根据双曲线的方程 ,求得 ,结合双曲线的几何性质,逐项判定,即可求 学科网(北京)股份有限公司解. 【详解】由双曲线 ,可得 ,则 , 对于A中,双曲线 的实轴长为 ,所以A正确; 对于B中,双曲线的渐近线方程为 ,所以B不正确; 对于C中,设双曲线 的右焦点 ,不妨设一条渐近线方程为 ,即 , 可得焦点到渐近线的距离为 ,所以C正确; 对于D中,根据双曲线的性质,可得双曲线上的点到焦点的最短距离为 ,所以D错误. 故选:AC. 三、填空题 10.(23-24高二上·广东深圳·期末)经过点 ,且对称轴都在坐标轴上的等轴双曲线的标准方 程是 . 【答案】 【分析】根据题意,得双曲线的方程为 ,将点 代入方程,求得 的值,即 可求解. 【详解】由题意,所求双曲线为等轴双曲线,可得双曲线的方程为 , 因为所求双曲线过点 ,可得 ,解得 , 所以,所求双曲线的方程为 . 故答案为: . 11.(23-24高二上·上海·期末)已知双曲线E与双曲线 具有相同的渐近线,且经过 学科网(北京)股份有限公司点 ,则双曲线E的方程为 . 【答案】 【分析】由相同渐近线的双曲线方程待定参数,将点的坐标代入即可求解. 【详解】由题意不妨设与双曲线 具有相同的渐近线的双曲线E的方程为 , 若双曲线E经过点 ,则 ,解得 , 所以双曲线E的方程为 . 故答案为: . 12.(23-24高二上·内蒙古巴彦淖尔·期末)若双曲线 的虚轴长为4,则该双曲 线的渐近线方程为 . 【答案】 【分析】根据题意,结合双曲线的几何性质,即可求解. 【详解】由双曲线 的虚轴长为4,可得 ,解得 , 所以该双曲线的渐近线方程为 . 故答案为: . 13.(23-24高二上·云南昆明·期末)若双曲线E: 的一条渐近线与圆C: 学科网(北京)股份有限公司交于A,B两点,若 ,则E的焦距为 . 【答案】 【分析】根据给定条件,结合圆的性质可得点 到渐近线的距离为1,再利用点到直线距离公式计 算得解. 【详解】圆C: 的圆心 ,半径 ,由 ,得 , 则点 到直线 的距离为1,双曲线E: 的渐近线为 , 于是 ,解得 ,所以E的焦距为 . 故答案为: 14.(23-24高二上·内蒙古呼和浩特·期末)已知 为双曲线 的右焦点, 为双曲线 的两条渐近线,以 为圆心的圆与渐近线相切于 两点,则 . 【答案】4 【分析】根据点到直线的距离公式、直线与圆的位置关系、双曲线与圆的对称性及等面积法计算弦 长即可. 【详解】由题意可知 到渐近线的距离为 ,即该圆半径为 , 如图所示,连接 交横轴于D点,利用双曲线与圆的对称性可知 , 所以 , 学科网(北京)股份有限公司在直角 中,易知 , 所以 ,则 . 故答案为: 四、解答题 15.(23-24高二上·浙江·期末)已知离心率为 的双曲线 与x轴交于A,B两 点,B在A的右侧.在E上任取一点 ,过点B作直线QB垂直PA交于点Q,直线 PB、QA分别交y轴于不同的两点M,N. (1)求双曲线E的方程; (2)求证:直线 与直线 的斜率乘积为定值; (3)三角形MNB的外接圆是否过x轴上除B点之外的定点,若是,求出该定点坐标:若不是,请说 明理由. 【答案】(1) (2)证明见解析; (3)过定点,坐标为 【分析】(1)根据离心率和双曲线方程可得 ,可求出双曲线E的方程; (2)分别表示出 ,再由 化简可得斜率乘积为定值2; 学科网(北京)股份有限公司(3)求出三角形MNB的外接圆圆心坐标为 ,写出圆的标准方程并令 可解得 符合题意,即可得外接圆过定点 . 【详解】(1)由离心率为 可得 , 又易知 ,所以 , 可得双曲线E的方程为 ; (2)易知 ,如下图所示: 易知 的斜率均存在,且 满足 ,可得 , 又易知 , 所以 , 因此直线 与直线 的斜率乘积为定值2; (3)由(2)可知直线 的方程为 , 直线 的方程为 ; 学科网(北京)股份有限公司因此可得 , 所以三角形MNB的外接圆圆心在线段 的垂直平分线上,即 ; 线段 的中点坐标为 , 易知线段 的垂直平分线为 , 联立两直线方程可得圆心坐标为 , 所以外接圆半径为 , 圆的标准方程为 , 令 可得 , 解得 (舍)或 因此可得三角形MNB的外接圆过x轴上除B点之外的定点,该定点坐标为 . 【点睛】关键点点睛:求解三角形MNB的外接圆过定点时,关键是写出外接圆的标准方程,再令 纵坐标 即可求得定点坐标为 . 16.(23-24高二上·上海·期末)在平面直角坐标系 中,双曲线 的左 顶点到右焦点的距离是3,且 的离心率是2. (1)求双曲线 的标准方程; (2)点 是 上位于第一象限的一点,点 关于原点 对称,点 关于 轴对称.延长 学科网(北京)股份有限公司至 使得 ,且直线 和 的另一个交点 位于第二象限中. (ⅰ)求 的取值范围,并判断 是否成立? (ⅱ)证明: 不可能是 的三等分线. 【答案】(1) (2)(ⅰ) ;(ⅱ)证明见解析 【分析】(1)结合题意可得 ,解出 ,写出双曲线方程即可. (2)(ⅰ)根据题意,得到 ,求得直线 的方程,联立方程组,结合 韦达定理,求得 点的坐标,列出不等式关系式,求得 的范围,再由(ⅰ),求得直线 的斜 率并化简,得到 ,即 ,(ⅱ)求得 的范围,进而证得 不可能是 的三等分线. 【详解】(1)因为双曲线 的左顶点到右焦点的距离是3,且 的离心率是2, 所以 ,解得 , 故双曲线 的标准方程为 ; (2)(ⅰ)因为点 是 上位于第一象限的一点,点 关于原点 对称,点 关于 轴对称.延长 至 使得 , 学科网(北京)股份有限公司所以 ,所以 , 可得直线 的方程为 , 联立 ,消去 并整理得 , 因为直线 与双曲线 有两个交点,并设 , 所以 ,由韦达定理得 ,解得 , 则 ,所以 成立, 此时只需 ,解得 ,则 的取值范围为 , 易知 所以 ,即 , (ⅱ)证明:由(ⅰ)知 , 因为 , 学科网(北京)股份有限公司所以 ,故 不可能是 的三等分线. 【点睛】方法点睛:圆锥曲线中取值范围问题的五种求解策略: (1)利用圆锥曲线的几何性质或判别式构造不等关系,从而确定参数的取值范围; (2)利用已知参数的范围,求新的参数的范围,解这类问题的核心是建立两个参数之间的等量关 系; (3)利用隐含的不等关系建立不等式,从而求出参数的取值范围; (4)利用已知的不等关系建立不等式,从而求出参数的取值范围; (5)利用求函数值域的方法将待求量表示为其他变量的函数,求其值域,从而确定参数的取值范 围. 17.(23-24高二上·福建福州·期末)已知标准双曲线 的焦点在 轴上,且虚轴长 ,过双曲 线 的右焦点 且垂直 轴的直线 交双曲线 于 两点, 的面积为 . (1)求双曲线 的标准方程; (2)过点 的直线 交双曲线 于 两点,且点 是线段 的中点,求直线 的方程. 【答案】(1) (2) 【分析】(1)根据题意,表示出 ,再由 的面积,并结合双曲线中 的关系求解; (2)法一:设出直线 的点斜式方程,与双曲线方程联立,借助韦达定理和中点坐标公式求解; 法二:利用点差法求解. 学科网(北京)股份有限公司【详解】(1)由题设双曲线 ,直线 的方程为 联立方程 解得 ,又 , ,则 而 所以双曲线 的标准方程为 . (2)法一:因为过点 的直线 与双曲线 相交于 两点, 可知,直线 的方程不是 , 设直线 的方程为 即 联立方程 得 ① 解得 将 代入①,得 故直线 的方程为 . 法二:因为过点 的直线 与双曲线 相交于 两点, 可知,直线 的方程不是 , 设 学科网(北京)股份有限公司得 , , 直线 的方程为 ,即 , 联立方程 得 , 故直线 的方程为 . 18.(23-24高二上·河南驻马店·期末)已知双曲线 的一条渐近线方程为 , 为坐标原点,点 在双曲线 上. (1)求双曲线 的方程; (2)若直线 与双曲线 交于 两点,且 ,求 的最小值. 【答案】(1) 学科网(北京)股份有限公司(2) 【分析】(1)依题意可得 ,解得 、 ,即可得解; (2)解法一:设 ,直线 的方程为 ,联立直线与双曲线 方程,消元、列出韦达定理,由 整理得到 ,即可表示出 ,从而求出 其最小值; 解法二:设 , ,联立直线与双曲线方程,即可求出 、 ,即可得到 ,同理得到 ,从而得到 ,再由基本不等式计算可得. 【详解】(1)由双曲线C的一条渐近线方程为 ,且双曲线过 , 所以 ,解得 , 故双曲线 的方程为 . (2)解法一:设 ,直线 的方程为 , 联立 ,得 , 则 ,且 , 学科网(北京)股份有限公司由 ,即 ,即 , 即 , 即 ,整理得 , 所以 ,当且仅当 时,等号成立, 故 的最小值为 . 方法二:由题意知直线 的斜率存在且不等于 , 设 , , 由 ,即 , 联立 ,解得 , 学科网(北京)股份有限公司则 ,同理 ,其中 , 故 , 而 , 当且仅当 时,等号成立, 故 的最小值为 . 【点睛】方法点睛:利用韦达定理法解决直线与圆锥曲线相交问题的基本步骤如下: (1)设直线方程,设交点坐标为 、 ; (2)联立直线与圆锥曲线的方程,得到关于 (或 )的一元二次方程,必要时计算 ; (3)列出韦达定理; (4)将所求问题或题中的关系转化为 、 的形式; (5)代入韦达定理求解. 19.(23-24高二上·山东青岛·期末)已知双曲线 过点 ,左右焦点 分别为 ,且 . (1)求 的标准方程. 学科网(北京)股份有限公司(2)设过点 的直线 与 交于 两点,问在 轴上是否存在定点 ,使得 为常数? 若存在,求出点 的坐标及该常数的值:若不存在,请说明理由. 【答案】(1) ; (2)存在,点 ,该常数为56 【分析】(1)根据给定条件,利用双曲线定义求出实轴长即可求出双曲线方程. (2)设出直线 的方程,与双曲线方程联立,结合韦达定理及数量积的坐标表示求解即得. 【详解】(1)依题意,双曲线半焦距 , ,则 , 所以 的方程为 . (2)依题意,直线 的斜率存在,设 的方程为 , 由 ,消去 得 ,显然 , 且 ,得 且 ,则 , 设存在符合条件的定点 ,则 , 因此 要 为常数,当且仅当 ,解得 ,此时该常数的值为56, 所以在 轴上存在点 ,使得 为常数,该常数为56. 学科网(北京)股份有限公司20.(23-24高二上·福建龙岩·期末)已知定点 ,直线 相交于点M,且它 们的斜率之积为 ,记动点M的轨迹为曲线C. (1)求曲线C的方程; (2)点 满足 ,直线 与双曲线 分别相切于点A,B.证明: 直线 与曲线C相切于点Q,且 . 【答案】(1) (2)证明见解析 【分析】(1)设 ,根据题意结合斜率公式运算求解; (2)设 ,直线 的斜率分别为直线 ,根据直线与双曲线相切可得 , ,由切线 均过点 可得 , ,同构可知直 线 的方程为 ,联立方程证明直线 与曲线C相切于点Q,再结合垂直关系结合三 角形相似证明 . 【详解】(1)设 ,则 , 学科网(北京)股份有限公司由题意可得 ,整理得 , 所以曲线C的方程 . (2)设 ,直线 的斜率分别为直线 , 则 , , 可知直线 的方程为 , 联立方程 ,消去y得 , 则 , 可得 , 且 ,即 , 代入可得 ,则 , 同理可得 , 又因为切线 均过点 , 可知 为方程 的两根, 且 ,则 ,可得 , 则 ,即 ,可知 为直角三角形, 又因为 ,整理得 , 学科网(北京)股份有限公司同理可得 , 可知直线 的方程为 ,即直线 的斜率 , 联立方程 ,消去y得 , 且且 ,则 ,可得 ,解得 , 且 ,即直线 与曲线C相切于点 , 则 ,可得 ,可知 , 则 ,可得 ,即 , 所以直线 与曲线C相切于点Q,且 . 【点睛】关键点点睛:同构思想的应用: 1.根据题意可知 为方程 的两根; 2.根据 , ,可知直线 的方程为 . 学科网(北京)股份有限公司21.(23-24高二上·江苏泰州·期末)已知双曲线 : 过点 ,离心 率为 . (1)求 的方程; (2)过点 且斜率为 的直线 交双曲线左支于点 ,平行于 的直线交双曲线的渐近线于 A,B两点,点A在第一象限,直线 的斜率为 .若四边形 为平行四边形,证明: 为 定值. 【答案】(1) (2)证明见详解 【分析】(1)根据双曲线离心率公式,结合代入法进行求解即可; (2)设直线 的方程为 ,直线 的方程为 , ,将 代入直 线 可得 ,联立直线 与椭圆方程得关于 的一元二次方程,由韦达定理得 ;联立 方程和渐近线方程求出 ,得到 ,由题易得 ,即 ,联立求出 的关系式,再由定义表示出 ,将所有未知量全部代换成 即可求 证. 【详解】(1)因为双曲线 : 过点 ,离心率为 , 所以有 ; (2)设直线 的方程为 , 学科网(北京)股份有限公司直线 的方程为 , , 将 代入直线 得 ,即 , 联立 ,得 , 得 ,即 , , 因为 在第一象限,双曲线渐近线方程为 , 联立 ,得 ,即 , 联立 ,得 .即 , 所以 , 因为 ,所以 ,所以 ①, 又 ②, ① ②得, , 所以 , 所以 , 因为 学科网(北京)股份有限公司所以 ,为定值. 【点睛】方法点睛:利用韦达定理法解决直线与圆锥曲线相交问题的基本步骤如下: (1)设直线方程,设交点坐标为 ; (2)联立直线与圆锥曲线的方程,得到关于 (或 )的一元二次方程,注意 的判断; (3)列出韦达定理; (4)将所求问题或题中的关系转化为 、 (或 、 )的形式; (5)代入韦达定理求解. 双曲线中定点问题 1.(23-24高二上·重庆·期末)已知点 ,动点 到直线l: 的距离为d,且 ,记S的轨迹为曲线C. (1)求曲线C的方程; (2)若 , 分别为曲线C的左、右顶点,M,N两点在直线 上,且 .连接 , 分别与C交于点P,Q,求证:直线PQ过定点,并求出定点坐标. 【答案】(1) 学科网(北京)股份有限公司(2)证明见解析,定点 【分析】(1)根据 ,分别表示出 , ,化简即得曲线C的方程; (2)根据题意,表示出 , 的直线方程,与曲线 联立,表示出 ,两点坐标,求出直 线 方程,进而得到直线恒过定点. 【详解】(1)因为点 ,动点 到直线l: 的距离为d, 所以 ,又因为 , 所以 , 两边同时平方得 , 整理得 , 所以曲线C的方程 . (2) 由(1)可得, , 设 ,因为 ,则 , , , 将 与 联立,消去 整理得 , 所以 ,即 , , 学科网(北京)股份有限公司所以 , 所以 , ,故 , 将 与 联立,消去 整理得 , 所以 ,即 , , 所以 , 所以 , , 所以 , 当 时, 直线方程为 ,所以直线PQ过定点,定点坐标 , 当 时, 两点分别为 或 ,所以直线PQ过定点坐标 , 所以直线PQ过定点,定点坐标为 【点睛】方法点睛:求动点轨迹的方法,一般有直接法,转移法以及交轨法.其中转移法适用于两 个动点的情形,一个是已知曲线上的动点,另一个是所求动点,先通过条件用所求动点坐标表示已 知动点坐标,再代入已知动点所在曲线方程,化简可得所求动点轨迹方程. 2.(23-24高二上·湖南衡阳·期末)已知曲线 上的动点 满足 ,且 . (1)求 的方程; (2)已知直线 与 交于 两点,过 分别作 的切线,若两切线交于点 ,且点 在直线 上,证明: 经过定点. 学科网(北京)股份有限公司【答案】(1) (2)证明见解析 【分析】(1)根据双曲线的定义即可求解, (2)联立直线与双曲线方程得韦达定理,即可根据相切得判别式为0,可得 ,进而 可得 坐标,根据两点坐标可得直线 的方程,即可根据交点在直线 化简求解. 【详解】(1)因为 , 所以曲线 是以 为焦点,以2为实轴长的双曲线, 所以实半轴长 ,半焦距 ,虚半轴长 , 所以曲线 的方程为 . (2)由题知切线斜率均存在,所以设过点 所作的切线分别为 , 由题意知 且 ,由 得 , 因为 与 相切, 所以 ,且 ,整理得 . 此时可得 ,即 . 同理 . 由 得 . 学科网(北京)股份有限公司直线 的斜率为 , 所以 的方程为 , 令 ,得 , 即 经过定点 . 【点睛】圆锥曲线中定点问题的两种解法 (1)引进参数法:先引进动点的坐标或动线中系数为参数表示变化量,再研究变化的量与参数何 时没有关系,找到定点. (2)特殊到一般法:先根据动点或动线的特殊情况探索出定点,再证明该定点与变量无关. 技巧:若直线方程为 ,则直线过定点 ; 若直线方程为 ( 为定值),则直线过定点 3.(23-24高二上·山东泰安·期末)已知双曲线 的左焦点 ,一条 渐近线方程为 ,过 做直线 与双曲线左支交于两点 ,点 ,延长 与双 学科网(北京)股份有限公司曲线右支交于 两点. (1)求双曲线 的方程; (2)判断直线 是否过定点?若过定点,求出该点的坐标;若不过定点,请说明理由. 【答案】(1) (2)过定点 【分析】(1)由双曲线几何性质求方程; (2)分斜率存在于不存在分别研究,直线方程与双曲线方程联立,设 ,则直 线 的方程为 ,与双曲线求交点得 ,同理 , 从而求出直线 的方程,可证. 【详解】(1)由题意可知: 解得 双曲线 的方程为 (2)当直线 的斜率存在时,设为 ,则直线 的方程为 由 整理得 与左支交于两点 学科网(北京)股份有限公司,解得 设 ,则直线 的方程为 代入 整理得 设 ,则 , , ,同理 直线 的斜率 直线 的方程为 ,即 直线 过定点 当直线 的斜率不存在时,直线 的方程为 , 不妨设 点在 轴上方,则 ,直线 的方程为 学科网(北京)股份有限公司由 ,解得 同理 此时直线 过点 【点睛】方法点睛:利用韦达定理法解决直线与圆锥曲线相交问题的基本步骤如下: (1)设直线方程,设交点坐标; (2)联立直线与圆锥曲线的方程,得到关于x(或y)的一元二次方程; (3)列出韦达定理; (4)将所求问题或题中的关系结合韦达定理运算求解. 4.(23-24高二上·山东滨州·期末)已知双曲线 的实轴长为4,且双曲线 经过点 . (1)求双曲线 的标准方程; (2)过点 且斜率不为零的直线 与双曲线 交于 两点, 关于 轴的对称点为 ,求证: 直线 过定点 . 【答案】(1) (2)证明见解析 【分析】(1)由题意得 , ,由此即可得解. 学科网(北京)股份有限公司(2)设点 ,则 ,直线 的方程为 ,联立椭圆方程结合韦达 定理以及 三点即可得 的关系,由此即可得解. 【详解】(1)因为双曲线 的实轴长为4, 所以 ,解得 . 又双曲线 经过点 , 所以 ,. 解得 , 所以双曲线 的方程为 . (2) 设直线 的方程为 ,设点 ,则 , 将 代入方程 , 得 , 易知 , 则 , 由 三点共线可得 , 所以 , 学科网(北京)股份有限公司所以 , 所以 , 所以 , 所以 , 又 ,所以 , 直线 的方程为 , 所以直线 过定点 . 【点睛】关键点睛:本题第二问的关键是适当设点、设直线,结合韦达定理三点共线即可顺利得解. 5.(23-24高二上·上海·期末)已知双曲线 : 的左右顶点分别为 、 . (1)求以 、 为焦点,离心率为 的椭圆的标准方程; (2)直线 过点 与双曲线 交于 、 两点,若点 恰为弦 的中点,求出直线 的方程; (3)动直线 : 恒过 ,且与双曲线 的交于 、 两点(异于 ),点 (常 数 )是 轴上的一个定点,若恒有 成立,求实数 的值. 【答案】(1) (2) (3)1 【分析】(1)根据题意可求得椭圆焦点 , ,再结合离心率为 ,求出 得解; (2)利用点差法求出直线 的斜率进而求出直线方程; (3)由 ,即 ,设出 , ,联立直线 与双曲线 , 根据韦达定理代入运算得解. 学科网(北京)股份有限公司【详解】(1)由题意可得, , ,则 , 又 , , , 所以椭圆的标准方程为 . (2)设 , ,点 为 中点,则 , , 又因为 两点在双曲线上, 可得 ,两式相减得 , 化简整理得 ,即 , 所以直线 的方程为 ,即 .经检验,满足题意 (3)由动直线 恒过点 ,可得 ,即直线 , 设 , ,联立直线 与双曲线 , ,消去 整理得 , 因为直线 与双曲线Γ的交于M、N两点, 所以 , , 则 , , 由 ,得 ,即 , 即 ,整理得 , 即 ,当 时,上式成立,当 时,得 , 学科网(北京)股份有限公司所以当 时,恒有 成立. 【点睛】关键点睛:本题第三问, 轴上定点 恒有 ,关键转化为 ,联立直线 与双曲线 ,根据韦达定理代入运算得解. 双曲线中定值问题 1.(22-23高二上·安徽蚌埠·期末)已知 分别为双曲线 和双曲线 上不与顶点重合的点,且 的中点在双曲线 的渐近线上. (1)设 的斜率分别为 ,求证: 为定值; (2)判断 的面积是否为定值,如果是,求出该定值;如果不是,说明理由. 【答案】(1)证明见解析 (2)定值,1 【分析】(1)设 ,借鉴点差法原理构造求解. (2)设 ,联立双曲线 ,可找到 ,同理可找出 , 由面积公式表示出 化简即可. 【详解】(1)设 ,则 学科网(北京)股份有限公司由 的中点在双曲线 的渐近线上,则 , 即 为定值. (2) (1) (2) 联立(1)(2)得: 同理, 设 到直线 的距离为 ,则 由(1)知: 学科网(北京)股份有限公司2.(23-24高二上·黑龙江哈尔滨·期末)已知 , 分别是双曲线 : ( , )的左、右焦点, ,点 到 的渐近线的距离为3. (1)求双曲线 的标准方程及其渐近线方程; (2)已知点 为坐标原点,动直线 与 相切,若 与 的两条渐近线交于 , 两点,求证: 的面积为定值. 【答案】(1)双曲线 的标准方程为 ,渐近线方程为 (2)证明过程见详解. 【分析】(1)利用焦距求出 ,利用点到直线距离公式表示 到 的渐近线的距离求出 , 再利用 求出 ,然后求出渐近线. (2)讨论直线的斜率是否存在,且当直线的斜率存在时,设出直线方程,与双曲线方程联立,根 据 ,找到参数之间的关系,线段 的长,利用点到直线的距离公式求出三角形的高,求得 面积,即可证明. 【详解】(1)因为 ,所以 ,因为 ,渐近线为 , 即 则 到 的渐近线的距离为可表示为 , 所以 , 所以双曲线 的标准方程为 ,渐近线方程为 . (2)①当直线经过双曲线的顶点时直线 的斜率不存在,此时直线方程为 , 此时易得 ,点 到直线 的距离为 ,所以此时 ②当直线 的斜率存在时设直线 为 , 由 得 学科网(北京)股份有限公司因为直线于双曲线相切,所以 且 , 整理得 且 ,即 由 得 ,则 同理得到 所以 点 到直线 的距离 所以 所以 的面积为定值3. 【点睛】利用 ,找到参数之间的关系,再利用公式求得 ,利用点到直线的距离公式求出 三角形的高,进而求出面积是解题关键. 3.(23-24高二上·辽宁大连·期末)双曲线 和 的方程均满足 ,其中 的焦点在 轴上,顺次连接 的两个焦点和 的两个顶点恰好可以构成一个面积为4的正方形. (1)求双曲线 和 的方程. 学科网(北京)股份有限公司(2)若 为 左支上一动点且不在 轴上,过 作 的切线交 于 两点,过 作 的平行线交 于 ,顺次连接 四点构成四边形 ,求证:四边形 的面积为定值. 【答案】(1) , (2)证明见解析 【分析】(1)根据题意,结合双曲线的几何性质,以及 ,即可求得曲线 和 的方程; (2)设 ,切线 ,联立方程组,根据 ,得到 ,求得 ,且 ,在联立方程组求得 , ,得到直线 的方程为 ,联立方程组,就得 , ,证得 ,结合 ,即可得证. 【详解】(1)解:由双曲线 和 的方程均满足 ,其中 的焦点在 轴上, 且顺次连接 的两个焦点和 的两个顶点恰好可以构成一个面积为4的正方形, 可得 的焦点在 轴上,则 且 ,解得 , 又由 , 对于曲线 ,可得 ,所以 , 对于曲线 ,可得 ,所以 . (2)解:设 ,切线 , 联立方程组 ,整理得 , 学科网(北京)股份有限公司则 ,可得 , 又因为 ,可得 , 代入得 , 因为 ,所以 ,解得 ,且 在直线 上,所以 , 由 ,解得 ,即 , 又由 ,解得 ,即 , 可得直线 的方程为 , 联立方程组 ,整理得 , 解得 ,可得 ,即 , 同理可得 , 所以 ,所以 , 又由 , , 且 , 所以四边形 的面积为 ,即四边形 的面积为定值. 学科网(北京)股份有限公司【点睛】解答圆锥曲线的定点、定值问题的策略: 1、参数法:参数解决定点问题的思路:①引进动点的坐标或动直线中的参数表示变化量,即确定 题目中核心变量(通常为变量 );②利用条件找到 过定点的曲线 之间的关系,得到 关于 与 的等式,再研究变化量与参数何时没有关系,得出定点的坐标; 2、由特殊到一般发:由特殊到一般法求解定点问题时,常根据动点或动直线的特殊情况探索出定 点,再证明该定点与变量无关. 4.(23-24高二上·云南昆明·期末)已知离心率为 的双曲线 经过点 . (1)求 的方程; (2)如图,点 为双曲线上的任意一点, 为原点,过点 作双曲线两渐近线的平行线,分别与两 渐近线交于 、 两点,求证:平行四边形 的面积为定值. 【答案】(1) (2)证明见解析 【分析】(1)求出 的值,结合双曲线的离心率可求得 的值,进而可求得 的值,由此可得出双 曲线 的方程; 学科网(北京)股份有限公司(2)设点 ,则 ,求出 以及点 到直线 的距离,利用平行四边形的面积 公式可证得结论成立. 【详解】(1)解:因为 ,则 , 因为双曲线 经过点 ,则 ,则 , 所以, , 故双曲线 的方程为 . (2)证明:设点 ,则 , 由图可知,直线 的方程为 ,直线 的方程为 , 因为 ,则直线 的方程为 , 联立 可得 , 所以, , 点 到直线 的距离为 , 学科网(北京)股份有限公司所以,平行四边形 的面积为 为定值. 【点睛】方法点睛:求定值问题常见的方法有两种: (1)从特殊入手,求出定值,再证明这个值与变量无关; (2)直接推理、计算,并在计算推理的过程中消去变量,从而得到定值. 5.(23-24高二上·吉林长春·期末)已知双曲线C的中心为坐标原点,左焦点为 ,离心率 为 . (1)求C的方程; (2)记C的右顶点为A,过点A作直线MA,NA与C的左支交于M,N两点,且 , ,D为垂足.证明:存在定点Q,使得 为定值,并求出Q点坐标. 【答案】(1) (2)证明见解析, 【分析】(1)根据题意,列出方程组,求得 的值,即可求解; (2)设直线MN方程为 ,联立方程组,得到 ,根据 ,整理得到 ,求得 ,得到直线MN过定点 ,再由直线MN的斜率不存在时,设直线方程为 ,得到 过定点,再由 学科网(北京)股份有限公司,即可求解. 【详解】(1)解:由题意,双曲线C的中心为坐标原点,左焦点为 ,离心率为 , 可得 ,解得 ,所以双曲线方程 . (2)解:由(1)知 ,当直线MN斜率存在时,设直线MN方程为 , 联立方程组 ,整理得 , ,即 , 设 ,由韦达定理可得 因为 ,所以 ,可得 , 即 ,即 , 整理得 , 即 ,即 , 可得 ,解得 , 将 代入直线 ,此时直线 过定点 ,不合题意; 将 代入直线 ,此时直线 过定点 , 当直线 的斜率不存在时,不妨设直线方程为 , 因为 ,所以 为等腰直角三角形,此时M点坐标为 , 学科网(北京)股份有限公司所以 (舍)或 , 此时 过定点 , 综上可知,直线 恒过定点 , 因为 ,此时存在以AP为斜边的直角三角形, 所以存在定点Q为AP中点满足 ,此时 . 【点睛】解答圆锥曲线的定点、定值问题的策略: 1、参数法:参数解决定点问题的思路:①引进动点的坐标或动直线中的参数表示变化量,即确定 题目中核心变量(通常为变量 );②利用条件找到 过定点的曲线 之间的关系,得到 关于 与 的等式,再研究变化量与参数何时没有关系,得出定点的坐标; 2、由特殊到一般发:由特殊到一般法求解定点问题时,常根据动点或动直线的特殊情况探索出定 点,再证明该定点与变量无关. 6.(23-24高二上·山东淄博·期末)已知双曲线 ( , )的离心率为2,且经 过点 . (1)求双曲线 的方程; (2)点 , 在双曲线 上,且 , , 为垂足.证明:①直线 过定点;②存 在定点 ,使得 为定值. 【答案】(1) ; 学科网(北京)股份有限公司(2)①证明见解析;②存在定点 . 【分析】(1)由给定的点和离心率求出 即可得双曲线 的方程. (2)设出点 的坐标,在斜率存在时设方程为 ,联立直线与双曲线方程,结合已知 求得 的关系,进而得直线 恒过定点,验证直线斜率不存在的情况,然后结合直角三角形的 性质即可确定满足题意的点 的位置. 【详解】(1)由双曲线 的离心率为2,得 ,则 , 由双曲线 过点 ,得 ,于是 , 所以双曲线 的方程为 . (2)①设点 ,当直线 斜率存在时,设直线 的方程为 , 由 消去 得, , 显然 ,即 , , 由 ,得 ,而 , 则 , 整理得 , 学科网(北京)股份有限公司即 , 整理得 ,显然直线 不过点 ,即 , 因此 ,即 ,符合题意,直线 : 过定点 , 当直线 斜率不存在时,点 , , 而 ,显然 ,解得 ,直线 : 过点 , 所以直线 过定点 . ②由①知,直线 过定点 ,而点 ,线段 中点 , 又 ,当点 与 不重合时,点 是以线段 为斜边的直角三角形的直角顶点, 则 ,当点 与 重合时, , 所以存在定点 ,使得 为定值 . 【点睛】方法点睛:(1)引出变量法,解题步骤为先选择适当的量为变量,再把要证明为定值的 量用上述变量表示,最后把得到的式子化简,得到定值;(2)特例法,从特殊情况入手,求出定 值,再证明这个值与变量无关. 学科网(北京)股份有限公司7.(23-24高二上·重庆·期末)已知双曲线 的左、右焦点分别为 , 过 作直线 交双曲线右支于 两点,当直线 与 轴垂直时, .过 作直线 分别交 双曲线两支于 两点,且 的最小值为 . (1)求双曲线 的方程; (2)设线段 的中点分别为 ,记 的面积为 , 的面积为 ( 为双曲线的 中心),若直线 的斜率分别为 且 ,求证: 为定值,并求出这个定值. 【答案】(1) (2)证明见解析, 【分析】(1)根据 和 的最小值为 可求出 ,则双曲线 的方程可求; (2)设出直线 和 的方程,结合题目所给信息 ,将直线方程与双曲线方程联立,利用 韦达定理求出中点 的坐标,推出直线 的方程,此时问题转化为点 与点 到直线 的 距离之比即可解决. 【详解】(1)由已知当直线 与 轴垂直时, ,即 ①, 又 的最小值为 ,即 ②, 所以由①②得 , 所以双曲线 的方程为 ; 学科网(北京)股份有限公司(2)由(1)得 , 因为 ,所以 , 设直线 的方程为 ,设直线 的方程为 , 联立 ,消去 并整理得 此时 , 不妨设 , 则 , 此时 , , 所以 ,同理得 , 设直线 的斜率为 , 则 所以直线 的方程为 , 即 所有直线 恒过点 , 学科网(北京)股份有限公司所以点 与点 到直线 的距离之比为 所以 . 【点睛】方法点睛:求定值问题常见的方法有两种: (1)从特殊入手,求出定值,再证明这个值与变量无关. (2)直接推理、计算,并在计算推理的过程中消去变量,从而得到定值. 8.(23-24高二上·河北张家口·期末)已知点 在双曲线 上,双曲 线 的离心率为 . (1)求双曲线 的方程; (2)过点 的直线 交双曲线 于不同于点 的 两点,直线 和直线 的斜率之和是否 为定值?若是,求出该定值;若不是,请说明理由. 【答案】(1) (2)是定值,且为 【分析】(1)代入点 以及离心率列方程求解即可; (2)该直线斜率必不为零,设出直线方程,与双曲线联立,利用韦达定理,代入直线 和直线 的斜率计算即可. 学科网(北京)股份有限公司【详解】(1)由已知得 ,解得 , 故双曲线 的方程为 ; (2)由题意可得直线 斜率必不为零, 故设直线的方程为 : ,即 ,设 , 联立 ,消去 得 ,解得 或 ,且 所以 , 所以 所以 学科网(北京)股份有限公司. 所以直线 和直线 的斜率之和为定值,且为 . 【点睛】方法点睛:求定值问题常见的方法有两种: (1)从特殊入手,求出定值,再证明这个定值与变量无关; (2)直接推理,计算,并在计算推理的过程中消失变量,从而得到定值. 9.(23-24高二上·广东广州·期末)已知双曲线 : 与圆 的 一个交点为 . (1)求双曲线E的方程; (2)设点A为双曲线E的右顶点,点B,C为双曲线E上关于原点O对称的两点,且点B在第一象限, 直线 与直线 交于点M,直线 与双曲线E交于点D.设直线 与 的斜率分别为 , ,请问 是否为定值?若是,请求出该定值;若不是,请说明理由. 【答案】(1) (2) 为定值,且该定值为 【分析】(1)将点代入方程后计算即可得; (2)设出 点坐标,由 点坐标可求得 , 的表达式,借助 点坐标在双曲线上满足双曲线方 学科网(北京)股份有限公司程,则可化简 ,从而得解. 【详解】(1)由题意可得 ,即有 , 则有 ,整理得 , 即 ,即 (舍去)或 , , 故双曲线E的方程为 ; (2)设 , , ,则 , 则 ,令 ,则 , 即 ,则 , 代入 ,故 , 化简得 , 则有 ,即 , 故 , 即 , 则 , , 由 在双曲线上,故有 ,即 , 学科网(北京)股份有限公司则 , 即 , 即 为定值,且该定值为 . 【点睛】关键点睛:本题关键在于借助 在双曲线上,得到 ,从而化简 ,得到 ,从而得解. 10.(23-24高二上·安徽黄山·期末)如图,已知曲线 是以原点O为中心、 为焦点的椭圆的 一部分,曲线 是以原点O为中心, 为焦点的双曲线的一部分,A是曲线 和曲线 的交点, 且 为钝角,我们把曲线 和曲线 合成的曲线C称为“月蚀圆”.设 . 学科网(北京)股份有限公司(1)求曲线 和 所在的椭圆和双曲线的标准方程; (2)过点 作一条与x轴不垂直的直线,与“月蚀圆”依次交于B,C,D,E四点,记G为CD的 中点,H为BE的中点.问: 是否为定值?若是,求出此定值;若不是,请说明理由. 【答案】(1)椭圆 所在的标准方程为 ,双曲线 所在的标准方程为 (2) 是定值,为 ,理由见解析 【分析】(1)设椭圆所在的标准方程为 ,双曲线所在的标准方程为 ,根据 在曲线上、焦点坐标可得答案; (2)设直线 的方程为 , ,直线 的方程与椭 圆方程、双曲线方程分别联立,利用韦达定理求出 、 ,由 转化为 化简可得答案. 学科网(北京)股份有限公司【详解】(1)设椭圆所在的标准方程为 , 双曲线所在的标准方程为 , 因为 , 所以可得 , , 解得 , , 所以椭圆 所在的标准方程为 ,双曲线 所在的标准方程为 ; (2) 是定值,为 ,理由如下, 由(1)椭圆所在的标准方程为 ,双曲线所在的标准方程为 , 因为直线 与“月蚀圆”依次交于B,C,D,E四点,所以直线 的斜率不为0, 设直线 的方程为 , , 双曲线 的渐近线方程为 ,所以 , 可得 , , 直线 的方程与椭圆方程联立 ,整理得 , 所以 , 学科网(北京)股份有限公司所以 , 直线 的方程与双曲线方程联立 ,整理得 , 所以 , 所以 , 所以 , 所以 是定值 . 【点睛】关键点点睛:第二问解题的关键点是由 转化为 ,再利用韦达 定理. 11.(23-24高二上·江苏泰州·期末)已知双曲线 : 过点 ,离心 率为 . (1)求 的方程; 学科网(北京)股份有限公司(2)过点 且斜率为 的直线 交双曲线左支于点 ,平行于 的直线交双曲线的渐近线于 A,B两点,点A在第一象限,直线 的斜率为 .若四边形 为平行四边形,证明: 为 定值. 【答案】(1) (2)证明见详解 【分析】(1)根据双曲线离心率公式,结合代入法进行求解即可; (2)设直线 的方程为 ,直线 的方程为 , ,将 代入直 线 可得 ,联立直线 与椭圆方程得关于 的一元二次方程,由韦达定理得 ;联立 方程和渐近线方程求出 ,得到 ,由题易得 ,即 ,联立求出 的关系式,再由定义表示出 ,将所有未知量全部代换成 即可求 证. 【详解】(1)因为双曲线 : 过点 ,离心率为 , 所以有 ; (2)设直线 的方程为 , 直线 的方程为 , , 将 代入直线 得 ,即 , 学科网(北京)股份有限公司联立 ,得 , 得 ,即 , , 因为 在第一象限,双曲线渐近线方程为 , 联立 ,得 ,即 , 联立 ,得 .即 , 所以 , 因为 ,所以 ,所以 ①, 又 ②, ① ②得, , 所以 , 所以 , 因为 所以 ,为定值. 学科网(北京)股份有限公司【点睛】方法点睛:利用韦达定理法解决直线与圆锥曲线相交问题的基本步骤如下: (1)设直线方程,设交点坐标为 ; (2)联立直线与圆锥曲线的方程,得到关于 (或 )的一元二次方程,注意 的判断; (3)列出韦达定理; (4)将所求问题或题中的关系转化为 、 (或 、 )的形式; (5)代入韦达定理求解. 12.(23-24高二上·浙江·期末)已知离心率为 的双曲线 与x轴交于A,B两 点,B在A的右侧.在E上任取一点 ,过点B作直线QB垂直PA交于点Q,直线 PB、QA分别交y轴于不同的两点M,N. (1)求双曲线E的方程; PB (2)求证:直线 与直线 的斜率乘积为定值; (3)三角形MNB的外接圆是否过x轴上除B点之外的定点,若是,求出该定点坐标:若不是,请说 明理由. y2 x2 1 【答案】(1) 2 (2)证明见解析; 2,0 (3)过定点,坐标为 c 3,b2 2 【分析】(1)根据离心率和双曲线方程可得 ,可求出双曲线E的方程; 学科网(北京)股份有限公司y y y2 k  1 ,k  1 x2 1 1 (2)分别表示出 PA x 1 PB x 1,再由 1 2 化简可得斜率乘积为定值2; 1 1  1 y   , 1  (3)求出三角形MNB的外接圆圆心坐标为  2 x21 ,写出圆的标准方程并令y0可解得 1 2,0 x2 符合题意,即可得外接圆过定点 . c 【详解】(1)由离心率为 可得  3, 3 a a1 c 3,b2 c2a2 2 又易知 ,所以 , y2 x2 1 可得双曲线E的方程为 2 ; A1,0,B1,0 (2)易知 ,如下图所示: y2 y y 易知 PA,PB 的斜率均存在,且 Px 1 ,y 1 y 1 0满足x 1 2 2 1 1,可得k PA  x 1  1 1 ,k PB  x 1  1 1 , y 又易知k k  1 , QA PA x 1 1 y y y2 y2 k k  1  1  1  1 2 所以 QA PB x 1 x 1 x21 y2 , 1 1 1 1 2 QA PB 因此直线 与直线 的斜率乘积为定值2; y y 1 x1 (3)由(2)可知直线PA的方程为 x 1 1 , 学科网(北京)股份有限公司y 直线 的方程为y 1 x1 ; x 1 PB 1  y   y  M0, 1 ,N0, 1  因此可得  x 1  x 1 , 1 1 y y 1 所以三角形MNB的外接圆圆心在线段MN的垂直平分线上,即 x21; 1 1 y   , 1  线段 的中点坐标为2 2x 1, BM  1   y  x 1 1 易知线段 BM 的垂直平分线为 y    2x 1 1 1     1 y 1   x 2  ,  1 y  C , 1  联立两直线方程可得圆心坐标为  2 x21 , 1  1 2  y  2 所以外接圆半径为 RCB 1   1  ,  2  x21 1  1 2  y  2  1 2  y  2 9  y  2 x  y 1  1   1    1  圆的标准方程为  2  x21  2  x21 4 x21 , 1 1 1  1 2 9 x   令y0可得 2 4, 解得x1(舍)或x2 2,0 因此可得三角形MNB的外接圆过x轴上除B点之外的定点,该定点坐标为 . 【点睛】关键点点睛:求解三角形MNB的外接圆过定点时,关键是写出外接圆的标准方程,再令 y0 2,0 纵坐标 即可求得定点坐标为 . x2 C:  y2 1 13.(23-24高二上·重庆·期末)已知双曲线 4 的渐近线为 l 1 ,l 2,双曲线C与双曲线C C l,l 的渐近线相同,过双曲线 的右顶点的直线与 1 2,在第一、四象限围成三角形面积的最小值为 学科网(北京)股份有限公司8. (1)求双曲线C的方程; C PA∥l l (2)点P是双曲线 上任意一点,过点P作 1依次与双曲线C和 2交于A,B两点,再过点P |AE| 作 PE∥l 2依次与双曲线C和 l 1交于E,F两点,证明:|BF|为定值. x2 y2  1 【答案】(1)16 4 (2)证明见解析 yk(x2 t) 【分析】(1)设直线方程为 ,联立求出交点坐标,从而求出围成的三角形面积为 8t 2t 1 4 ,当直线方程斜率不存在时,求出围成的三角形面积为 ,从而得到 , ,得 k2 2t 2t 8 t4 到双曲线方程; 1 1 x 2 PA:y xn PE:y xm mn y 2 0 4 (2)设直线 2 ,直线 2 ,并得到 0 4 ,联立方程,求出 3 5n2 20 5n2 20 |AE| AE   6 BF   6 A,B,E,F的坐标,从而求出 4 4 n2 , 4 n2 ,从而得到|BF|为定值. x2 y2 1 C:  1(t0) y x 【详解】(1)由已知可设双曲线 4t t ,其渐近线为 2 ,右顶点为(2 t,0), 1 1 设过右顶点的直线斜率为k,则k  或k  ,直线方程为 , 2 2 yk(x2 t)  4k t yk  x2 t    x 2k1   联立 1 ,解得 2k t , y x y   2  2k1 学科网(北京)股份有限公司 4k t yk  x2 t    x 2k1   联立 1 ,解得 2k t , y x y   2  2k1 2k t 2k t 8k2 t 故直线与 在第一、四象限的交点的纵坐标之差为   , l,l 2k1 2k1 4k21 1 2 1 8k2 t 8t 2 t  2t 围成三角形面积为2 4k21 1 , 4  k2 x2 t ∴当斜率不存在时,直线方程为 , 1 将 代入y x中,得到交点坐标为  2 t, t  , x2 t 2 1 围成三角形的面积为 2 t2 t 2t, 2 故围成的三角形面积的最小值为2t 8, x2 y2 ∴ ,故双曲线 的方程为  1; t4 C 16 4 1 1 x 2 PA:y xn n x y 0 y 2 4 (2)设点 ,直线 2 ,则 2 0 0,且 4 0 , 1 1 x 2 直线PE:y xm,则m y  x ,所以mn y 2 0 4, 2 0 2 0 0 4  1 y xn   2 联立 x2 ,由 x2 1 1  ,  y2 1 y2 1 xy xy1  4 4 2 2  1 1 1 1 1 故 xy ,所以xn ,y n , 2 n n 2 2n 学科网(北京)股份有限公司n21 n21 A ,  故点  n 2n  ,  1 y xn   2 联立 得点 , 1  n y x Bn,   2  2  1 y xm   2 同理联立 x2 得点 m21 m21,  y2 1 E ,   4  m 2m   1 y xm   2 联立 得点 , 1  m y x Fm,   2  2  ∵mn4, 2 2 n21 m21 n21 m2 1  AE         n m   2n 2m   1 4 n 2 n 1 2 n 2  n          n n 4 2 2n n 8 3n 3 2 3n 3  2 9n2 9 9 9n2 9 9               4 n  8 2n 16 2 n2 64 8 4n2 45n2 45 27 3 5n2 20      6 64 4n2 8 4 4 n2 4 ( n)2 而 BF  (mn)2 (mn)2  ( 4 n)2 n  16 8n2 4 2 n2 4 n 4 n2 n2 4 5n2 20   6 4 n2 AE 3   BF 4, AE 3  BF 的定值为4. 学科网(北京)股份有限公司【点睛】方法点睛:定值问题常见方法:(1)从特殊入手,求出定值,再证明这个值与变量无关; (2)直接推理计算,并在计算推理的过程中消去变量,从而得到定值. 2 14.(23-24高二上·浙江宁波·期末)已知双曲线 的渐近线方程为y x,且点M2,1在 C 2 C 上. (1)求C的方程; A,B C MAMB,MD AB,D N DN (2)点 在 上,且 为垂足.证明:存在点 ,使得 为定值. x2 y2 1 【答案】(1) 2 (2)证明见解析 x2 y2 0 【分析】(1)设双曲线的方程为 2 ,利用待定系数法求出即可得解; y 1 y 1 1  2 1 (2)分直线AB的斜率是否为零两种情况讨论,根据MA MB,可得x 1 2 x 2 2 ,双曲线方 程可变形为 2x22y2 x222 2y112 ,再由直线AB的方程 xmyt 可得 1 tm2   x2my1  1,代入变形后的双曲线方程,再利用韦达定理即可得出 t,m 间的关系, 进而可求出直线AB所过的定点,即可得出结论. x2 y2 0 【详解】(1)设双曲线的方程为 2 , M2,1 C 因为点 在 上, 4 所以 1,解得 , 2 1 x2 所以 的方程为 y2 1; C 2 (2)设 , Bx,y  当直线 AB 的斜率为 0 时,则 1 1 , 学科网(北京)股份有限公司x2 因为点 在 上,所以 1 y2 1,则 , A,B C 2 1 x2 22y2 1 1 (cid:2) (cid:2) MA MB MAMB0 由 ,得 , x 2,y 1x 2,y 14x24y 12 0 即 1 1 1 1 1 1 , 4  22y2 4y 12 0 y 3 y 1 1 1 ,解得 1 或 1 (舍去), 故直线AB的方程为y3, 当直线AB的斜率不等于0时,设直线AB的方程为 xmyt , 当MA的斜率不存在时,则MB的斜率为0, 此时直线MA的方程x2,直线MB的方程为y1, x2  x2 联立 y2 1,解得 ( 舍去),  2 y1 y1 y1  x2 联立 y2 1,解得 ( 舍去),  2 x2 x2 1 所以A2,1,B2,1,则k AB  2 , 1 所以直线 的方程为y1 x2 , AB 2 y3 x6 AB 6,3 令 ,则 ,故直线 过点 , 同理可得当MB的斜率不存在时,则MB的斜率为0, 1 此时直线 的方程为y1 x2 ,直线 过点6,3, AB 2 AB MA,MB 当直线 的斜率都存在且都不等于零时, y 1 y 1 1  2 1 因为MA MB,所以x 1 2 x 2 2 , x2 由 y2 1, 2 学科网(北京)股份有限公司2x22y2 x222 2y112 得 x22 4x242y12 4y12 , x22 4x22y12 4y10 所以 , xmyt x22my1mt 由 ,得 , 1 则x2my1mt2,所以   x2my1  1, tm2 1 所以 x224x2   x2my1  2y12 tm2 1 4y1   x2my1  0, tm2 t2m 44m 2t42m 整理得 x22 x2y1 y12 0 t2m t2m t2m 2t42m y1 2 44m y1 t2m       0 即 t2m x2 t2m x2 t2m , t2m y 1 y 1 t2m t2m 1  2   1 所以x 2 x 2 2t42m 2t42m 1 2  t2m 所以t 63m, xmy63my3m6 AB 所以直线 得方程为 , 6,3 Q6,3 AB AB 所以直线 过定点 ,综上所述,直线 过定点 , 因为MD AB, 1 所以存在 MQ 的中点N4,1,使得 DN  2 MQ 2 2 . 学科网(北京)股份有限公司【点睛】方法点睛:求解直线过定点问题常用方法如下: (1)“特殊探路,一般证明”:即先通过特殊情况确定定点,再转化为有方向、有目的的一般性 证明; (2)“一般推理,特殊求解”:即设出定点坐标,根据题设条件选择参数,建立一个直线系或曲 线的方程,再根据参数的任意性得到一个关于定点坐标的方程组,以这个方程组的解为坐标的点即 为所求点; x ,y  yy kxx  ykxb (3)求证直线过定点 0 0 ,常利用直线的点斜式方程 0 0 或截距式 来证 明. 双曲线中最值问题 1.(23-24高二上·四川攀枝花·期末)已知中心在坐标原点O,焦点在x轴上的双曲线C的焦距为 Q(2,3) 4,且过点 . (1)求双曲线C的标准方程; (2,0) l C A B AO C P (2)过点 的直线 交双曲线 的右支于 , 两点,连接 并延长交双曲线 的左支于点 , 求PAB的面积的最小值. y2 x2 1 【答案】(1) 3 (2)12 a,b,c 【分析】(1)利用待定系数法及双曲线的定义,结合双曲线中 三者的关系即可求解; (2)设直线方程为l:xmy2, , ,直线方程与双曲线方程联立,利用应用韦 x x 0 1 2  达定理得y y ,y y ,由 xx 0 求得 m 的范围,由坐标求得三角形面积并代入韦达定理的结论 1 2 1 2 1 2 化为关于m的函数,换元并利用函数的单调性得面积最小值. x2 y2  1(a0,b0) 【详解】(1)法一:设双曲线C的标准方程为a2 b2 学科网(北京)股份有限公司c2 F(2,0) F (2,0) 由题知: ,故其左右焦点分别为 1 , 2 . QF  QF  (22)232  (22)232 22a 由 2 1 ,解得a1. b c2a2  3 从而 , y2 x2 1 双曲线C的标准方程为 3 . x2 y2 法二:设双曲线方程为  1(a0,b0), a2 b2 c2 a2b2 4 由题知: 得到 . 4 9 4 9 又  1,得到  1 . a2 b2 a2 4a2 a417a2160 a2 16 a2 1a1 得到 ,解得 (舍)或 , y2 x2 1 双曲线C的标准方程为 3 . E2,0 (2)由题意,设 作出图形如图所示, 显然直线l与y轴不垂直,设l:xmy2, , xmy2    3m21  y212my90 联立3x2y2 3  12m y y    1 2 3m21 故 , . 9 Δ36  m21  0   y 1 y 2  3m21 学科网(北京)股份有限公司由于A,B均在双曲线右支上,  4 my y 4 0   1 2 3m21  故   x 1 x 2 0 ,即 m2y y 2my y 4 3m24 0 ,解得 0m2  1. x 1 x 2 0  1 2 1 2 3m21 3 由双曲线的对称性知AP的中点为O, S 2S 故 △PAB △OAB 1 S 2S 2 OE  y y 2 y y 24y y , PAB OAB 2 1 2 1 2 1 2 12 m21 1 S  0m2   代入韦达定理得 PAB 13m2  3  2 3 m21t1t  令  3 ,则   12t 12  2 3 S   1t  PAB 43t2 4  3  3t  t 4 易知 3t随 的增大而减小, t t S  12 当 t 1 时, PAB min . 【点睛】方法点睛:利用韦达定理法解决直线与圆锥曲线相交问题的基本步骤如下: x,y ,x ,y  (1)设直线方程,设交点坐标为 1 1 2 2 ; (2)联立直线与圆锥曲线的方程,得到关于x(或 y )的一元二次方程,注意的判断; (3)列出韦达定理; x x xx y y y y (4)将所求问题或题中的关系转化为 1 2、 1 2(或 1 2、 1 2)的形式; (5)代入韦达定理求解. x2 y2  1 2.(23-24高二上·湖北武汉·期末)已知双曲线方程为a2 b2 ,F 1 , F 2为双曲线的左、有焦点, (cid:2) (cid:2) (cid:2) (cid:2) PF PF 0 PF  PF 6 离心率为2,点P为双曲线在第一象限上的一点,且满足 1 2 , 1 2 . 学科网(北京)股份有限公司(1)求双曲线的标准方程; F l A,B x Q(m,0) (2)过点 2作斜率不为0的直线 交双曲线于 两点;则在 轴上是否存在定点 使得 (cid:2) (cid:2) QAQB m QAB 为定值,若存在,请求出 的值及此时 面积的最小值,若不存在,请说明理由. y2 x2 1 【答案】(1) 3   S 9 (2)存在,1; QAB min (cid:2) (cid:2) PF PF 0 PF PF 【分析】(1)由 1 2 可得 1 2,利用勾股定理结合双曲线性质和离心率求解即可; (2)设l:xty2, , ,将直线方程与双曲线方程联立,利用韦达定理得到 (cid:2) (cid:2) QAQB QAB m QAB 和 面积的表达式,解出 的值,利用换元和单调性求出 面积的最小值即可. c 【详解】(1)由题意可得e 2,所以 , a c2a b2 c2a2 3a2 b 3a 又由 可得 , (cid:2) (cid:2) PF PF 0 PF PF 6 PF PF 因为 1 2 , 1 2 .所以 1 2, PF  PF 2a PF 2 PF 22 PF PF 4a2 由双曲线的定义 1 2 ,可得 1 2 1 2 , 而 PF 1 2 PF 2 2 4c2 ,所以 4c2124a2 ,解得b2 3,a2 1,c2 4, y2 x2 1 所以双曲线的方程为 3 . 学科网(北京)股份有限公司(2)由(1)可得F (2,0),因为直线l的斜率不为0,设l:xty2, , , 2  xty2 联立  3x2y2 3,整理可得  3t21  y212ty90, 1 12t 9 则由题意得t2  3 ,y 1 y 2  3t21 ,y 1 y 2  3t21 ,Δ144t236  3t21  36  t21  0, (cid:2) (cid:2) QAQBx m,y x m,y ty 2mty 2my y 因为 1 1 2 2 1 2 1 2 9 12t   t21  y y (2m)ty y (2m)2   t2 1   (2m)t (2m)2 1 2 1 2 3t21 3t21 (12m15)t29  (2m)2, 3t21 12m15 9 要使 (cid:2) (cid:2) 为定值,则  ,解得 , (cid:2) (cid:2) , QAQB 3 1 m1 QAQB0 (cid:2) (cid:2) x Q(1,0) QAQB 所以在 轴上存在定点 使得 为定值,且定值为0, y 3x 因为双曲线渐近线方程为 , 1 1 3 144t2 36 9 t21 S  QF  y y  3 y y 2 4y y    此时 QAB 2 2 1 2 2 1 2 1 2 2  3t21 2 3t21 3t21 , 9 9 t21 4 y y  0 S  1u 又 1 2 3t21 ,3t210,则 △QAB 13t2 ,令 t21u,则 3 , 9u 9 S   所以 △QAB 43u2 4 3u,又y 4 3u在 1, 上单调递减, u u   S 9 所以当u1,即t0,l方程为x2时,QAB 面积取到最小值,且 QAB min . 学科网(北京)股份有限公司【点睛】解决直线与圆锥曲线相交(过定点、定值)问题的常用步骤: (1)得出直线方程,设交点为 , ; (2)联立直线与曲线方程,得到关于x或 y 的一元二次方程; (3)写出韦达定理; x x ,xx (4)将所求问题或题中关系转化为 1 2 1 2形式; (5)代入韦达定理求解. x2 y2  1 3.(23-24高二上·河北石家庄·期末)已知双曲线a2 b2 的离心率为 2,点 F 1 ,F 2 分别是双曲 F 线的左右焦点,过 2的直线交双曲线右支于P,A两点,点P在第一象限,当直线PA的斜率不存 |PA|2 2 在时, . (1)求双曲线的标准方程; PF C :(x2)2y2 8 PF B,AF F,PAF S ,S ,S (2)线段 1交圆 2 于点B,记 2 2 1 1的面积分别为 1 2 ,求 S S  S S 的最小值. 1 2 x2y2 2 【答案】(1) ; 2 52 (2) . 学科网(北京)股份有限公司x2 y2 C :  1 【分析】(1)根据双曲线 1 a2 b2 的离心率为 2,得到ab,再根据 PA 2 2 ,得到 2b2 2 2 a 求解. x2 y2 (2)设 Px 1 ,y 1  ,则 a 1 2  b 1 2 1 ,求得 PF 1  x 1 c2 y 1 2 ex 1 a ,再利用双曲线的定义得到 S PF PA S PA  1   PF ex a, PB  PF 2 2  PF ,再由S PB PF ,S AF 求解. 2 1 1 2 1 2 2 2 x2 y2 a2b2 C :  1 e  2 【详解】(1)由双曲线 1 a2 b2 的离心率为 2,得 a ,即ab xc  x2 y2 b2 2b2 由 a2  b2 1,得| y| a ,由过点 F 2 的直线PA的斜率不存在时, PA 2 2 ,得 a 2 2, a  b  2 x2y2 2 解得 ,所以双曲线的方程为: . (2)设  P  F (cid:2) 2   F  2 (cid:2) A  , Px 1 ,y 1  ,则 x a 1 2 2  y b 1 2 2 1 ,而 F 1 (2,0),F 2 (2,0) ,即c2, b2x2 PF  x c2y2  x c2 1 b2 则 1 1 1 1 a2  b2     1 a2   x 1 22cx 1 a2  e2x 1 22cx 1 a2  ex a2 ex a, 1 1 由双曲线定义得 PF 1  PF 2 2a ,显然圆 C 2 :(x2)2y2 8 的圆心为 F 1,半径 r2a , PF ex a PB  PF 2 2  PF 因此 2 1 , 1 2 , 学科网(北京)股份有限公司1 PF PAsinFPA S  2 1 1  PF 1  PA  ex 1 a  1 于是S 1 PF PF ex a  1 PB PF sinFPA 2 2 1 2 2 1 3  2(  ) 2 2 2 1 5 1 5      S PA 3   1   ,  1 , 2(  ) 2 S AF 2 2 2 2 S S 5 5 5   1 22 22 52 从而S S    ,当且仅当 5时等号成立, 1 2 S S  所以S S 的最小值2 52. 1 2 【点睛】方法点睛:圆锥曲线中最值或范围问题的常见解法: ①几何法,若题目的条件和结论能明显体现几何特征和意义,则考虑利用几何法来解决; ②代数法,若题目的条件和结论能体现某种明确的函数关系,则可首先建立目标函数,再求这个函 数的最值或范围. x2 y2 C:  1(a0,b0) 4.(23-24高二上·河南驻马店·期末)已知双曲线 a2 b2 的一条渐近线方程为 y 2x O P( 3,2) C , 为坐标原点,点 在双曲线 上. (1)求双曲线C的方程; (cid:2) (cid:2) l C M,N OMON 0 |MN| (2)若直线 与双曲线 交于 两点,且 ,求 的最小值. y2 x2 1 【答案】(1) 2 2 2 (2) b  2  a 【分析】(1)依题意可得 ,解得 、 ,即可得解; 3 4   1 a2 b2 a2 b2  2 xtymt   (2)解法一:设Mx,y , Nx ,y ,直线 的方程为  2 ,联立直线与双曲线 1 1 2 2 l   学科网(北京)股份有限公司(cid:2) (cid:2) m2 2  t21  MN 2 OMON 0 方程,消元、列出韦达定理,由 整理得到 ,即可表示出 ,从而求出 其最小值; 1 解法二:设 OM :ykx ,ON : y  k x,联立直线与双曲线方程,即可求出 x2 、y2 ,即可得到 M M 1 1 1   OM 2 ,同理得到 ON 2 ,从而得到|OM |2 |ON|2 2,再由基本不等式计算可得. y 2x P( 3,2) 【详解】(1)由双曲线C的一条渐近线方程为 ,且双曲线过 , b  2  a 所以 ,解得a2 1, 3 4   1  a2 b2 b2 2 y2 x2 1 故双曲线C的方程为 2 .  2 xtymt   (2)解法一:设Mx,y , Nx ,y ,直线 的方程为  2 , 1 1 2 2 l   xtym   y2 联立x2 1,得 2t21  y24tmy2  m21  0 ,  2  4tm y y    1 2 2t21 则  2  m21  ,且 ,  y y    1 2 2t21 m22t210 (cid:2) (cid:2) 由 OMON 0 ,即 x 1 x 2 y 1 y 2 0 ,即 ty 1 mty 2 my 1 y 2 0 ,  t21  y y tmy y m2 0 即 1 2 1 2 , 2  m21  4t2m2 即  t21  2t21  2t21 m2 0 ,整理得m2 2  t21  , MN 2 x x 2 y y 2 所以 1 2 1 2 学科网(北京)股份有限公司ty ty 2 y y 2 1 2 1 2   t21 y y 2 1 2   t21 y y 2 4y y   1 2 1 2   t21      4tm   2  8  m21    2t21 2t21    8  1t2 m22t21    2t21 2   9t2   8 1 8,当且仅当 时,等号成立,   2t21 2    t0 MN 2 2 故 的最小值为 . 方法二:由题意知直线OM,ON 的斜率存在且不等于0, 1 设 ,ON : y  x, OM :ykx k  2k  2   1  2  2 由 k ,即 ,  1 k 0 k2 2  2  2 x2  ykx   M 2k2 联立 ,解得 ,    x2 y 2 2 1   y M 2  2 2  k k 2 2 2  k21  2  k21  1 OM 2 x2 y2  |ON|2 k2 2 则 M M 2k2 ,同理 2k21 ,其中2 , 1 1 2k2 2k21 1     故|OM |2 |ON|2 2  k21  2  k21  2,   1 1  MN|2OM |2 |ON|22 OM |2  ON|2    而 |OM |2 |ON|2  学科网(北京)股份有限公司 |ON|2 |OM |2  |ON|2 |OM |2  22  222  8  |OM |2 |ON|2    |OM |2 |ON|2   , |OM ||ON|4 当且仅当 时,等号成立, |MN| 2 2 故 的最小值为 . 【点睛】方法点睛:利用韦达定理法解决直线与圆锥曲线相交问题的基本步骤如下: (1)设直线方程,设交点坐标为 、 ; (2)联立直线与圆锥曲线的方程,得到关于x(或 y )的一元二次方程,必要时计算; (3)列出韦达定理; x x xx (4)将所求问题或题中的关系转化为 1 2、 1 2的形式; (5)代入韦达定理求解.  3 5.(23-24高二上·黑龙江哈尔滨·期末)椭圆 与双曲线 有相同的焦点,且过点1, . C 2x22y2 1  2 (1)求椭圆C的方程; M x4 (4,0) (2)如图所示,记椭圆的左、右顶点分别为A,B,设 为直线 上不同于点 的任意一点, AM P MB Q 连接线段 交椭圆于点 ,连接线段 并延长交椭圆于点 . 学科网(北京)股份有限公司PQ (i)证明:点B在以 为直径的圆内; (ii)求四边形APBQ面积的最大值. x2 y2  1 【答案】(1) 4 3 (2)(i)证明见解析;(ii)6 【分析】  3 (1)根据双曲线方程的焦点可确定椭圆的焦点,再结合1, 在椭圆上,利用待定系数法,即可  2 求得椭圆方程; (2)(i)由椭圆对称性可知,不妨设M4,t,t0,由此利用直线AM,BM 的方程联立椭圆方程, (cid:2) (cid:2) 求得P,Q坐标,由此表示出BP,BQ的坐标,利用数量积的计算推出PBQ为钝角,即可证明结论; (ii)结合(i)求出四边形APBQ面积的表达式,利用换元法,结合构造函数,利用函数的单调性, 即可求得答案. 【详解】(1) x2 y2  1 由题知双曲线 即 1 1 ,其焦点坐标为 , 2x22y2 1 1,0,1,0 2 2 故椭圆C的焦点为 1,0,1,0 ,c1,(c为椭圆焦半距), 9 故可设椭圆 的方程为x2  y2 1 ,将点 1, 3  代入可得 1  4 1 , C a2 a21  2 a2 a21 解得a2 4, x2 y2 所以椭圆 的方程为  1. C 4 3 (2) (i)由题意知A(2,0),B(2,0),由椭圆对称性可知,不妨设M4,t,t0,P  x ,y  ,Q  x ,y  ; p p Q Q 学科网(北京)股份有限公司t t 根据题意可知直线 斜率均存在,且k  ,k  ; AM,BM MA 6 BM 2 t t 所以直线 的方程为y x2 , 的方程为y x2 ; AM 6 BM 2  t y x2   6 联立直线 和椭圆方程得 ,消去 可得 , x2 y2  AM  4  3 1 y  27t2 x24t2x4t21080 4t2108 542t2 ,2x  ,解得x  , 4271080 p 27t2 P 27t2 t 18t   则y  x 2  ; P 6 p 27t2  t y x2   2 联立直线 和椭圆方程得 ,消去 可得 ; x2 y2  BM  4  3 1 y  3t2 x24t2x4t2120 4t212 2t26 t 6t   ,2x  ,解得x  ,则y  x 2  ; 1440 Q 3t2 Q 3t2 Q 2 Q 3t2 (cid:2) 542t2 18t   4t2 18t  则BP 2,  , ,  27t2 27t2  27t2 27t2  (cid:2) 2t26 6t   12 6t  BQ 2,  , ;  3t2 3t2  3t2 3t2  (cid:2) (cid:2) 4t2  12  18t  6t  60t2 所以 BPBQ 27t2    3t2    27t2    3t2     27t2 3t2 0 ; 即可知PBQ为钝角,所以点B在以PQ为直径的圆内; 1  18t 6t  (ii)四边形 的面积为S   AB y y 2   APBQ 2 p Q 27t2 3t2  学科网(北京)股份有限公司48t(9t2) 48    9t22 12t2 9t2 12t ,  t 9t2 9t2 9t2 9 9 设 ,t 0,则  t2 t 6,当且仅当 时等号成立; t t t t t3 12 12 又y 在6,上单调递增,所以y 628,   48 48 S   6 可得 12 8 ,   所以t3时,四边形APBQ的面积最大为6,此时点M 的坐标为 4,3 , 由对称性可知,即当点M 的坐标为 4,3 或 4,3 时, 四边形APBQ的面积最大,最大值为6. 【点睛】 难点点睛:本题考查了椭圆方程的求解以及直线和椭圆位置关系中的最值问题,综合性强,难点在 于求解四边形APBQ面积的最大值时,计算比较复杂,计算量大,要注意换元,构造函数,结合 函数的单调性进行求解. x2 y2 C:  1(a0,b0) 6.(23-24高二上·福建福州·期末)若双曲线 a2 b2 的一个焦点是F(2,0),且离 心率为2. (1)求双曲线C的方程; M(0,1) F l C (2)已知点 ,过焦点 的直线 与双曲线 的两支相交于A,B两点,求直线MA和MB的斜率 之和的最大值. y2 x2 1 【答案】(1) 3 1 (2)2 【分析】(1)由焦点坐标,离心率公式求解方程即可. (2)设出直线方程,与双曲线联立后将斜率和表示为函数,再利用换元法结合基本不等式求解即 学科网(北京)股份有限公司可. c 【详解】(1)易得 , 2,解得 ,故得 , c2 a a1 b 3 y2 故 的方程为C:x2 1, C 3 (2) y2 由题意得 的斜率存在,故设 方程为 ,联立方程组 ,x2 1,可得 l l yk(x2) yk(x2) 3 (3k2)x24k2x4k230 3k2 0 16k4(3k2)(4k2 3)36k2 360 ,则 , ,设 4k23 4k2 ,则xx  0,x x  ,解得 ,结合 ,故 A(x,y ),B(x ,y ) 1 2 k23 1 2 k23 k( 3, 3) M(0,1) 1 1 2 2 k(x 2)1 k(x 2)1 2kxx (2k1)(x x ) 3(2k1) k k  1  2  1 2 1 2  1 MA MB x x xx 4k23 ,令 t2k1( 31,2 31) , 1 2 1 2 3t 3 1 k k  1 1 MA MB t22t4 4 2 故 t2 ,当且仅当 时取等,故直线MA和MB的斜率之和的最 t t 2 1 大值为2. 7.(23-24高二上·四川成都·期末)请解决以下两道关于圆锥曲线的题目. x22 y2 4a2 0a2 N2,0 (1)已知圆 M : ,圆P过点 且与圆M 外切. 设P点的轨迹为曲线 E. Γ:xy R E  a ①已知曲线 与曲线 无交点,求 的最大值(用 表示); ②若记①的最大值为  0,圆 Q:x12 y2 1 和曲线 Γ 0 :x 0 y 相交于A、B两点,曲线E与 3 x K OAKB a a2b2c2 2 学科网(北京)股份有限公司 abc   3 x轴交于K点,求四边形OAKB的面积的最大值,并求出此时a的值. (参考公式: 3 a2b2c2 2 abc  ,其中 ,当且仅当 时取等号)  3  a,b,c0 abc x2 y2 (2)如图,椭圆C: a2  b2 1ab0 的左右焦点分别为 F 1、 F 2,其上动点M 到 F 1的距离最大值 3 和最小值之积为1,且椭圆C的离心率为 2 . ①求椭圆C的标准方程; 1 ②已知椭圆 外有一点 ,过 点作椭圆 的两条切线,且两切线斜率之积为 .是否存在合适的 C P P C 2  P 点,使得F 1 PF 2  3 ?若存在,请写出 P 点的坐标;若不存在,请说明理由. a2 8 3 2 6 【答案】(1)① 4a2 ;②四边形OAKB的面积的最大值为 9 ,实数a的值为 3 x2  y2 1 FPF  (2)① 4 ;②不存在P点使得 1 2 3 ,理由见解析 【分析】(1)①根据已知条件求出点P的轨迹方程E,再将两个曲线无交点转化为对应的方程组 A,B 无解即可.②根据已知条件求出 两点坐标,表示出所求四边形的面积结合参考的不等式求解即 可. (2)①根据焦点弦的范围和离心率列方程组求解即可.②由点P和椭圆关系可以求出点P的轨迹  方程;再根据FPF  也以确定点所在圆弧的轨迹方程;根据联立两个方程有没有解来判断是 1 2 3 学科网(北京)股份有限公司否存在这样的点P即可. ON R P  【详解】(1)由圆 P 过点N2,0且与圆 M 外切可得: OM R P R M R P 2a, OM  ON 2a MN 4 所以有 , 则点P的轨迹为以M 、N 为左右焦点,实轴长为2a的双曲线右支, x2 y2 所以曲线E: a2  4a2 1x0 . ①显然,当0时,曲线与曲线E无交点, Γ:xy Γ:x2 2y2x0 0 当 时, , x0  x2 y2   1 于是令    x a 2 2  4 2  y a 2 2 ,得   4a2  a2 2    x2 1 , 若该方程在 上无实数解, a2 a2 4a2 0  则 2 ,解得 4a2 , a2 所以的最大值为 4a2 . a2   ②将 0 4a2 曲线Γ 0 :x 0 y 得: a2 a2 曲线 Γ 0 :x 4a2 y  x2  4a2 y2 x0 ,  a2 x2  y2  4a2 不妨令 ,得 或1 , x12y2 1 a2  x0 2 1 于是x x  a2 , A B 2 学科网(北京)股份有限公司 1  2 1 则四边形 OAKB 的面积 S OAKB a 1  1 2 a2    2 a2 4a2 , 2 3  2  a2a282a2 2 8 3 根据参考公式将该式化为S OAKB    2 a   4a2   6    9 , 2 2 6 2 6 (当且仅当 4a2  a取等号,解得a 或 ,负值舍去) 2 3 3 8 3 2 6 所以四边形OAKB的面积的最大值为 9 ,此时实数a的值为 3 . c (2)①由焦点弦取值范围ac MF ac,离心率e 得: 1 a c 3 a2    a 2 ,解得: b1 ,   acac1  c 3 x2 y2 1 所以椭圆C的标准方程为 4 . P(x ,y ) yy kxx  ②设 0 0 ,过点P的切线方程为 0 0 , x2  y2 1  4 由对称性不妨令 , , y 0 0   yy 0 kxx 0   4k21  x28ky kx x4y kx 240 消元得 0 0 0 0 ,  x24  k22x y k  y21  0 令 0 ,化简得: 0 0 0 0 , x240 0  y21 1 由于两切线斜率之积为 1 ,则 0  ,  2  x 0 24 2 x2 y2  化简得: 6 0  3 0 1x 0 2,由于F 1 PF 2  3 , 2  则点 P 在以F 1 F 2 为弦所对圆心角为 3 的圆的优弧F 1 F 2 上, 学科网(北京)股份有限公司y 0 x2y12 4 当 0 时,易得该圆的方程为 , x2 y2   1 6 3   x2y12 4 不妨令 ,解得该方程组无实数解,  x2  y0  则当y 0 0时,不存在 P 点使得F 1 PF 2  3 ,  由对称性可知,当y 0 0时也不存在 P 点使得F 1 PF 2  3 ,  综上,不存在 P 点使得F 1 PF 2  3 . x2 y2  1 8.(22-23高三上·广东东莞·期末)已知 F 1 (2,0) , F 2 (2,0) 为双曲线E:a2 b2 (a0,b0  3 2,  )的左右焦点,点 3 在双曲线E上,O为坐标原点.   (1)求双曲线E的标准方程; F F (2)若不与坐标轴平行的动直线l与双曲线E相切,分别过点 1, 2作直线l的垂线,垂足为P, △OPQ Q,求 面积最大值. x2 y2 1 【答案】(1) 3 3 (2) 2 c2 a2b2 c2 【分析】(1)由已知可得 ,再结合双曲线上的点的坐标及 ,即可求解; xmyn m2n2 3 (2)设l的方程为: ,与双曲线方程联立可得 ,由已知求出点 2mn 的坐标,利用点到线及两点之间的距离可求得S  ,再利用换元法及二次函数求最值即 P,Q 1m2 学科网(北京)股份有限公司可得解.  c2  c2 【详解】(1)由已知得a2b2 c2 ,解得  b1 4 1   1  a2 3b2 a 3 x2 所以双曲线的标准方程为 y2 1 3 (2)设切线l的方程为:xmyn, xmyn  x2 联立 y2 1,整理得 m23  y22mnyn230  3 4m2n24  m23    n23  0 由题知 ,化简得m2n2 3, P(x,y ),Q(x ,y ) FPl,FQl 设 1 1 2 2 ,则 1 2  n2m2 x my n   x 1  1m2 1 1   则  y 1  1 1 ,解得 y  mn2 x 2 m  1 1m2 1  n2m2 x my n   x 2  1m2 2 2   同理  y 2  1 1 ,解得 y  mn2 x 2 m  2 1m2 2 n n d   点(0,0)到直线xmyn的距离 1m2 1m2 1 1 所以△OPQ 的面积S  2 d PQ  2 d x 1 x 2 2 y 1 y 2 2 1 n  4m2  2  4m  2 n 4m 2mn  2  1m2   1m2    1m2    2  1m2  1m2 m2n2 3 m 3n2 又 , 学科网(北京)股份有限公司2n 3n2 n2 3n2 S  2 所以 4n2  4n22 令t 4n2,由0n2 3,则1t4, (4t)(t1) t25t4 4 5 1 5 2 9 所以 S 2 t2 2 t2 2  t2  t 12 4 t  8    16 1 5 8 9 3 3  t  S 2 2  所以当t 8,即 5时, max 16 4 2 3 所以△OPQ 面积最大值为 2 【点睛】思路点睛:解决直线与双曲线的综合问题时,要注意: (1)注意观察应用题设中的每一个条件,明确确定直线、双曲线的条件; (2)强化有关直线与椭圆联立得出一元二次方程后的运算能力,重视根与系数之间的关系、弦长、 斜率、三角形的面积等问题. 学科网(北京)股份有限公司