当前位置:首页>文档>河南省天一大联考2026届高三上学期调研考试数学试卷(含答案)_2025年9月_250920河南省天一大联考2026届高三上学期调研考试(全科)

河南省天一大联考2026届高三上学期调研考试数学试卷(含答案)_2025年9月_250920河南省天一大联考2026届高三上学期调研考试(全科)

  • 2026-04-10 07:19:59 2026-02-11 13:00:22

文档预览

河南省天一大联考2026届高三上学期调研考试数学试卷(含答案)_2025年9月_250920河南省天一大联考2026届高三上学期调研考试(全科)
河南省天一大联考2026届高三上学期调研考试数学试卷(含答案)_2025年9月_250920河南省天一大联考2026届高三上学期调研考试(全科)
河南省天一大联考2026届高三上学期调研考试数学试卷(含答案)_2025年9月_250920河南省天一大联考2026届高三上学期调研考试(全科)
河南省天一大联考2026届高三上学期调研考试数学试卷(含答案)_2025年9月_250920河南省天一大联考2026届高三上学期调研考试(全科)
河南省天一大联考2026届高三上学期调研考试数学试卷(含答案)_2025年9月_250920河南省天一大联考2026届高三上学期调研考试(全科)
河南省天一大联考2026届高三上学期调研考试数学试卷(含答案)_2025年9月_250920河南省天一大联考2026届高三上学期调研考试(全科)
河南省天一大联考2026届高三上学期调研考试数学试卷(含答案)_2025年9月_250920河南省天一大联考2026届高三上学期调研考试(全科)
河南省天一大联考2026届高三上学期调研考试数学试卷(含答案)_2025年9月_250920河南省天一大联考2026届高三上学期调研考试(全科)
河南省天一大联考2026届高三上学期调研考试数学试卷(含答案)_2025年9月_250920河南省天一大联考2026届高三上学期调研考试(全科)
河南省天一大联考2026届高三上学期调研考试数学试卷(含答案)_2025年9月_250920河南省天一大联考2026届高三上学期调研考试(全科)
河南省天一大联考2026届高三上学期调研考试数学试卷(含答案)_2025年9月_250920河南省天一大联考2026届高三上学期调研考试(全科)
河南省天一大联考2026届高三上学期调研考试数学试卷(含答案)_2025年9月_250920河南省天一大联考2026届高三上学期调研考试(全科)
河南省天一大联考2026届高三上学期调研考试数学试卷(含答案)_2025年9月_250920河南省天一大联考2026届高三上学期调研考试(全科)
河南省天一大联考2026届高三上学期调研考试数学试卷(含答案)_2025年9月_250920河南省天一大联考2026届高三上学期调研考试(全科)
河南省天一大联考2026届高三上学期调研考试数学试卷(含答案)_2025年9月_250920河南省天一大联考2026届高三上学期调研考试(全科)
河南省天一大联考2026届高三上学期调研考试数学试卷(含答案)_2025年9月_250920河南省天一大联考2026届高三上学期调研考试(全科)
河南省天一大联考2026届高三上学期调研考试数学试卷(含答案)_2025年9月_250920河南省天一大联考2026届高三上学期调研考试(全科)

文档信息

文档格式
docx
文档大小
0.823 MB
文档页数
13 页
上传时间
2026-02-11 13:00:22

文档内容

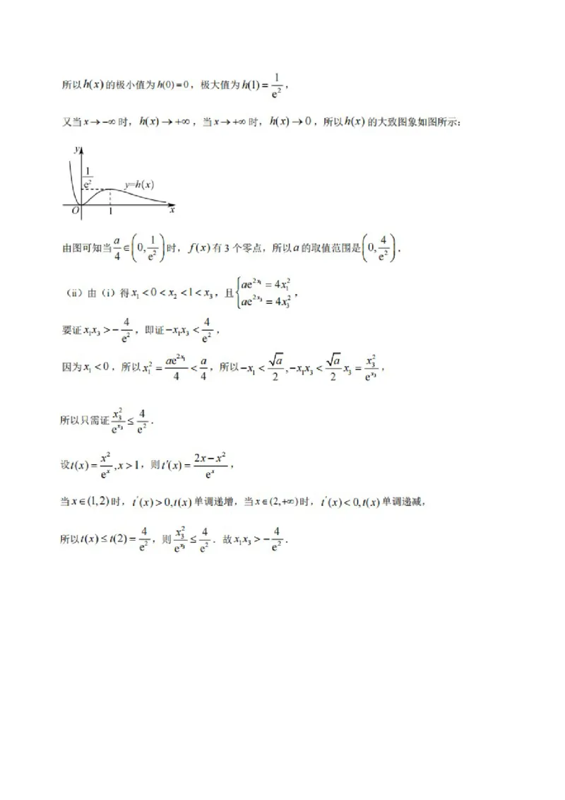
河南省2025-2026学年高三上学期调研考试数学试题 考生注意: 1.答题前,考生务必将自己的姓名、考生号填写在试卷和答题卡上,并将考生号条形码粘贴在答题卡上的指 定位置. 2.回答选择题时,选出每小题答案后,用铅笔把答题卡对应题目的答案标号涂黑.如需改动,用橡皮擦干净 后,再选涂其他答案标号.回答非选择题时,将答案写在答题卡上,写在本试卷上无效. 3.考试结束后,将本试卷和答题卡一并交回. 一、单项选择题:本题共8小题,每小题5分,共40分.在每小题给出的四个选项中,只有一项是符合题目 要求的. 1. 若复数 满足 ,则其共轭复数 ( ) A. B. C. D. 2. 已知集合 ,则 ( ) A. B. C. D. 3. 2025年高考结束后,7款 大模型产品挑战高考数学试卷,得分按照从高到低排列如下: ,则这7个数据的 分位数为( ) A. 135 B. 136 C. 144 D. 145 4. 已知双曲线 的一条渐近线方程为 ,则 的实轴长为( ) A. 12 B. 8 C. D. 5. 已知向量 满足 ,且 ,设 的夹角为 ,则 ( ) A. B. C. D. 6. 在两块平行放置的木板之间放有4个半径均为 的球,4个球两两相切,且其中3个球均与同一块木 板相切,则两木板之间的最小距离为( )A. B. C. D. 7. 过点 作曲线 的两条切线,切点分别为 ,则直线 的方程为( ) A. B. C. D. 8. 已知任意正整数都可以表示为4个自然数(可重复)的平方和.设 ,其中 ,则有序数组 的个数为( ) A. 24 B. 36 C. 48 D. 72 二、多项选择题:本题共3小题,每小题6分,共18分.在每小题给出的选项中,有多项符合题目要求,全 部选对的得6分,部分选对的得部分分,有选错的得0分. 9. 在临床试验中某基因编辑疗法能用于治疗遗传性高血压,治疗后患者血压降低值 服从正态 分布 ,则( ) A. B. 10位患者治疗后血压降低值大于20的人数一定不小于5 C. 2位患者治疗后血压降低值都大于20的概率为 D. 3位患者治疗后至少有1位 血压降低值大于20的概率为 的 10. 已知函数 ,则( ) A. 是周期函数 B. 图的象关于直线 对称 C. 的值域为D. 当 在 上有2个不同的实根 时, 的取值范围是 11. 已知正数 满足 ,则( ) A. 是 的函数 B. 是 的函数 C. D. 的最大值为 三、填空题:本题共3小题,每小题5分,共15分. 12. 已知 且 ,若 是偶函数,则 __________. 的 13. 已知抛物线 焦点为 的准线与 轴交于点 ,若 为 上一点, 为钝角,且 ,则 __________. 14. 在锐角 中,内角 所对的边分别为 ,已知 ,则 取 得最大值时, __________. 四、解答题:本题共5小题,共77分.解答应写出文字说明、证明过程或演算步骤. 15. 近年来水产品消费呈上升趋势,为了解男、女消费者对水产品类型的偏好情况,随机调查了男、女消费 者各100名,得到如下列联表: 男消费者 女消费者 合计 喜欢粗加工水产品 65 40 105 喜欢深加工水产品 35 60 95 合计 100 100 200 (1)从调查的消费者中任选一人,记事件“此人是女性”为 ,事件“此人喜欢深加工水产品”为 , 求 和 ;(2)依据小概率值 的独立性检验,能否认为消费者对水产品类型的偏好与性别有关? 附: . 0.050 0.010 0.001 3.841 6.635 10.828 16. 已知正项数列 的前 项和为 ,且 . (1)求 ; (2)证明 是等差数列,并求 的通项公式; (3)若 ,记数列 的前 项和为 ,求 . 17. 如图,在三棱柱 中, 是边长为3的正三角形, . (1)求棱 的长; (2)求证:平面 平面 ;(3)求直线 与平面 所成角的正弦值. 18. 已知椭圆 经过点 ,且离心率 . 为 (1)求 的方程. (2)若 的右顶点为 ,左焦点为 ,点 是 上的两个动点,直线 的斜率存在且不为0. (i)若直线 关于 轴对称,证明:直线 过定点; (ii)若 为坐标原点,直线 过点 ,直线 与直线 分别交于点 ,证明: . 19. 已知函数 . (1)若 ,判断 的单调性. (2)若 有3个不同的零点 ,且 . (i)求 的取值范围; (ii)证明: . 参考答案 1-8.BDBCD CAB 9-11.CD ABC BCD 12. 13.14.4 15. 16.17.18.19.