当前位置:首页>文档>2010年高考数学试卷(文)(广东)(解析卷)_数学历年高考真题_新·PDF版2008-2025·高考数学真题_数学(按试卷类型分类)2008-2025_自主命题卷·数学(2008-2025)

2010年高考数学试卷(文)(广东)(解析卷)_数学历年高考真题_新·PDF版2008-2025·高考数学真题_数学(按试卷类型分类)2008-2025_自主命题卷·数学(2008-2025)

  • 2026-03-22 02:24:35 2026-02-11 23:35:57

文档预览

2010年高考数学试卷(文)(广东)(解析卷)_数学历年高考真题_新·PDF版2008-2025·高考数学真题_数学(按试卷类型分类)2008-2025_自主命题卷·数学(2008-2025)
2010年高考数学试卷(文)(广东)(解析卷)_数学历年高考真题_新·PDF版2008-2025·高考数学真题_数学(按试卷类型分类)2008-2025_自主命题卷·数学(2008-2025)
2010年高考数学试卷(文)(广东)(解析卷)_数学历年高考真题_新·PDF版2008-2025·高考数学真题_数学(按试卷类型分类)2008-2025_自主命题卷·数学(2008-2025)
2010年高考数学试卷(文)(广东)(解析卷)_数学历年高考真题_新·PDF版2008-2025·高考数学真题_数学(按试卷类型分类)2008-2025_自主命题卷·数学(2008-2025)
2010年高考数学试卷(文)(广东)(解析卷)_数学历年高考真题_新·PDF版2008-2025·高考数学真题_数学(按试卷类型分类)2008-2025_自主命题卷·数学(2008-2025)
2010年高考数学试卷(文)(广东)(解析卷)_数学历年高考真题_新·PDF版2008-2025·高考数学真题_数学(按试卷类型分类)2008-2025_自主命题卷·数学(2008-2025)
2010年高考数学试卷(文)(广东)(解析卷)_数学历年高考真题_新·PDF版2008-2025·高考数学真题_数学(按试卷类型分类)2008-2025_自主命题卷·数学(2008-2025)
2010年高考数学试卷(文)(广东)(解析卷)_数学历年高考真题_新·PDF版2008-2025·高考数学真题_数学(按试卷类型分类)2008-2025_自主命题卷·数学(2008-2025)
2010年高考数学试卷(文)(广东)(解析卷)_数学历年高考真题_新·PDF版2008-2025·高考数学真题_数学(按试卷类型分类)2008-2025_自主命题卷·数学(2008-2025)
2010年高考数学试卷(文)(广东)(解析卷)_数学历年高考真题_新·PDF版2008-2025·高考数学真题_数学(按试卷类型分类)2008-2025_自主命题卷·数学(2008-2025)
2010年高考数学试卷(文)(广东)(解析卷)_数学历年高考真题_新·PDF版2008-2025·高考数学真题_数学(按试卷类型分类)2008-2025_自主命题卷·数学(2008-2025)
2010年高考数学试卷(文)(广东)(解析卷)_数学历年高考真题_新·PDF版2008-2025·高考数学真题_数学(按试卷类型分类)2008-2025_自主命题卷·数学(2008-2025)
2010年高考数学试卷(文)(广东)(解析卷)_数学历年高考真题_新·PDF版2008-2025·高考数学真题_数学(按试卷类型分类)2008-2025_自主命题卷·数学(2008-2025)
2010年高考数学试卷(文)(广东)(解析卷)_数学历年高考真题_新·PDF版2008-2025·高考数学真题_数学(按试卷类型分类)2008-2025_自主命题卷·数学(2008-2025)
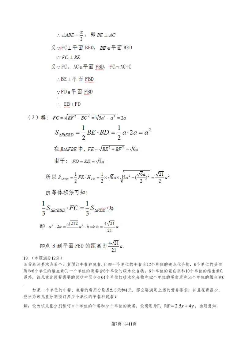
2010年高考数学试卷(文)(广东)(解析卷)_数学历年高考真题_新·PDF版2008-2025·高考数学真题_数学(按试卷类型分类)2008-2025_自主命题卷·数学(2008-2025)

文档信息

文档格式
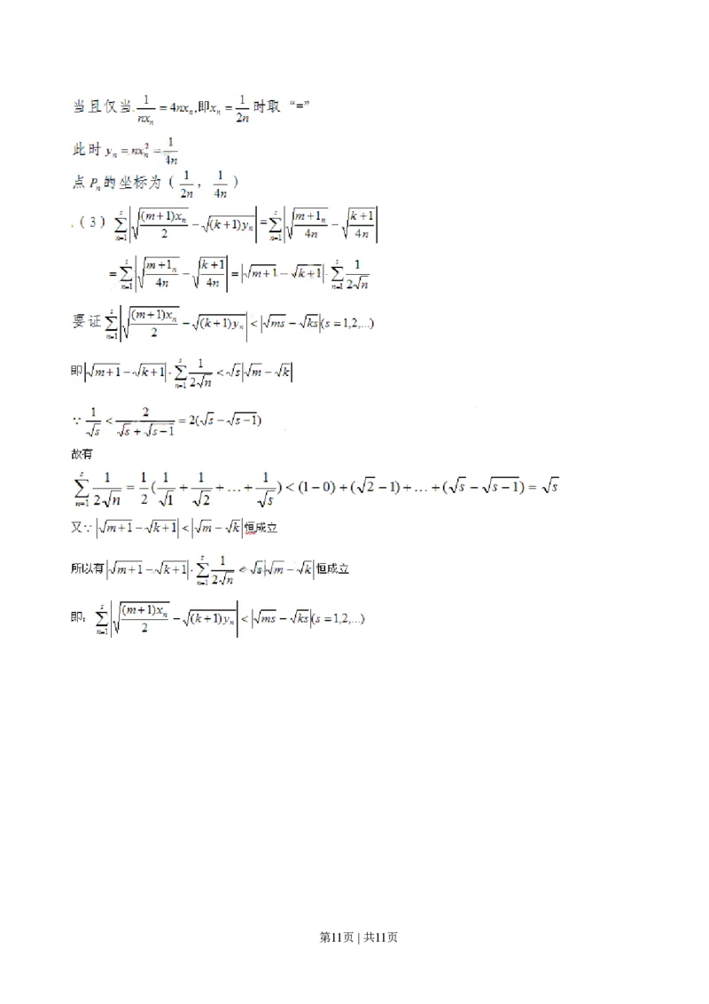
pdf
文档大小
0.957 MB
文档页数
11 页
上传时间
2026-02-11 23:35:57

文档内容

绝密★启用前 试卷类型:B 2010年普通高等学校招生全国统一考试(广东卷) 数学(文科) 本试卷共4页,21小题,满分150分。考试用时120分钟。 注意事项:1.答卷时,考生务必用黑色字迹的钢笔或签字笔将自己的姓名和考生号、试室、座位号填写在 答题卡上。用2B铅笔将试卷类型(B)填涂在答题卡相应位置上。将条形码横贴在答题卡右上 角“条形码粘贴处”。 2.选择题每小题选出答案后,用2B铅笔把答题卡上对应题目选项的答案信息点涂黑,如需改动,用橡皮擦 干净后,再选涂其他答案,答案不能答在试卷上。 3.非选择题必须用黑色字迹钢笔或签字笔作答,答案必须写在答题卡各题指定区域内相应位置上;如需改 动,先划掉原来的答案,然后再写上新的答案;不准使用铅笔和涂改液。不按以上要求作答的答案无效 。 4.作答选作题时,请先用2B铅笔填涂选做题的题号对应的信息点,再作答。 5.考生必须保持答题卡的整洁。考试结束后,将试卷和答题卡一并交回。 1 参考公式:锥体的体积公式V  Sh,其中S 是锥体的底面积,h是锥体的高. 3 一、选择题:本大题共10小题,每小题5分,满分50分.在每小题给出的四个选项中,只有一 项是符合题目要求的.     1.若集合A 0,1,2,3 ,B  1,2,4 则集合AB  A.  0,1,2,3,4  B.  1,2,3,4  C.  1,2  D.  0  解:并集,选A. 2.函数 f(x) lg(x1)的定义域是 A.(2,) B. (1,) C. [1,) D. [2,) 解:x10,得x 1,选B. 3.若函数 f(x) 3x 3x与g(x) 3x 3x的定义域均为R,则 A. f(x)与g(x)与均为偶函数 B. f(x)为奇函数,g(x)为偶函数 C. f(x)与g(x)与均为奇函数 D. f(x)为偶函数,g(x)为奇函数 解:由于 f(x) 3x 3(x)  f(x),故 f(x)是偶函数,排除B、C 由题意知,圆心在y轴左侧,排除A、C OA 1 0A 5 1 在Rt0AO,  k  ,故   0O 5,选D 0A 2 0O 0O 5 第1页 | 共11页7.若一个椭圆长轴的长度、短轴的长度和焦距成等差数列,则该椭圆的离心率是 4 3 2 1 A. B. C. D. 5 5 5 5 第2页 | 共11页  10.在集合 a,b,c,d 上定义两种运算○+ 和○* 如下 ○+ a b c d a a b c d b b b b b c c b c b d d b b d 那么d ○* (a ○+ c)  A.a B.b C.c D.d 解:由上表可知:(a ○+ c) c,故d ○* (a ○+ c)  d ○* c  a,选A 第3页 | 共11页二、填空题:本大题共5小题,考生作答4小题,每小题5分,满分20分。 (一)必做题(11~13题) 11.某城市缺水问题比较突出,为了制定节水管 理办法,对全市居民某年的月均用水量进行了 抽样调查,其中4位居民的月均用水量分别为 (单位:吨)。根据图2所示的程序框图,若分 3 别为1,1.5,1.5,2,则输出的结果s为 . 2 第一(i 1)步:s  s  x 011 1 1 i 第二(i  2)步:s  s  x 11.5 2.5 1 1 i 第三(i 3)步:s  s  x  2.51.5 4 1 1 i 1 3 第四(i  4)步:s  s  x  426,s  6  1 1 i 3 4 2 第五(i 5)步:i 5 4,输出s  2 (二)选做题(14、15题,考生只能从中选做一题) 14.(几何证明选讲选做题)如图3,在直角 a 梯形ABCD中,DC∥AB,CB AB,AB=AD=a,CD= ,点E,F分别为 2 a 线段AB,AD的中点,则EF= 2 第4页 | 共11页a 解:连结DE,可知AED为直角三角形。则EF是RtDEA斜边上的中线,等于斜边的一半,为 . 2 15.(坐标系与参数方程选做题)在极坐标系(,) (02)中,曲线(cossin) 1与 (cossin) 1的交点的极坐标为 . 17.(本小题满分12分) 某电视台在一次对收看文艺节目和新闻节目观众的抽样调查中,随机抽取了100名电视观众,相关的数据如 下表所示: 文艺节目 新闻节目 总计 20至40岁 40 18 58 大于40岁 15 27 42 总计 55 45 100 第5页 | 共11页18.(本小题满分14分) 如图4,弧AEC是半径为a的半圆,AC为直径,点E为弧AC的中点,点B和点C为线段AD的三等分点,平面AEC 外一点F满足FC平面BED,FB= 5a (1)证明:EBFD (2)求点B到平面FED的距离. (1)证明: 点E为弧AC的中点  第6页 | 共11页19.(本题满分12分) 某营养师要求为某个儿童预订午餐和晚餐.已知一个单位的午餐含12个单位的碳水化合物,6个单位的蛋白 质和6个单位的维生素C;一个单位的晚餐含8个单位的碳水化合物,6个单位的蛋白质和10个单位的维生素C. 另外,该儿童这两餐需要的营状中至少含64个单位的碳水化合物和42个单位的蛋白质和54个单位的维生素C . 如果一个单位的午餐、晚餐的费用分别是2.5元和4元,那么要满足上述的营养要求,并且花费最少, 应当为该儿童分别预订多少个单位的午餐和晚餐? 解:设为该儿童分别预订x个单位的午餐和 y个单位的晚餐,设费用为F,则F 2.5x4y,由题意知: 第7页 | 共11页12x8y 64 6x6y  42 6x10y 54 x 0,y 0 画出可行域: 5 F 变换目标函数:y   x 8 4 (2)当2 x 3时,0 x21 f(x2) (x2)(x4) f(x)   (2 x 3) k k 第8页 | 共11页当2 x 0时,0 x2 2 f(x)  kf(x2)  kx(x2)(2 x 0) 当3 x  2时,1 x20 f(x)  kf(x2)  kk(x2)(x4)  k2(x2)(x4)(3 x  2) k2(x2)(x4),(3 x  2) kx(x2)(2 x0) f(x)= x(x2)(0 x  2) (x2)(x4) (2 x3) k 1 c. 当k  1时k2  1,k   k 此时: f(x)  f(1)  k, f(x)  f(3)  k2 max min 第9页 | 共11页21.(本小题满分14分) 已知曲线C : y  nx2,点P (x ,y ) (x 0,y 0)是曲线C 上的点(n 1,2,...), n n n n n n n 第10页 | 共11页第11页 | 共11页