当前位置:首页>文档>2011年高考数学试卷(文)(广东)(解析卷)_数学历年高考真题_新·PDF版2008-2025·高考数学真题_数学(按试卷类型分类)2008-2025_自主命题卷·数学(2008-2025)

2011年高考数学试卷(文)(广东)(解析卷)_数学历年高考真题_新·PDF版2008-2025·高考数学真题_数学(按试卷类型分类)2008-2025_自主命题卷·数学(2008-2025)

  • 2026-03-02 22:42:47 2026-02-12 02:49:53

文档预览

2011年高考数学试卷(文)(广东)(解析卷)_数学历年高考真题_新·PDF版2008-2025·高考数学真题_数学(按试卷类型分类)2008-2025_自主命题卷·数学(2008-2025)
2011年高考数学试卷(文)(广东)(解析卷)_数学历年高考真题_新·PDF版2008-2025·高考数学真题_数学(按试卷类型分类)2008-2025_自主命题卷·数学(2008-2025)
2011年高考数学试卷(文)(广东)(解析卷)_数学历年高考真题_新·PDF版2008-2025·高考数学真题_数学(按试卷类型分类)2008-2025_自主命题卷·数学(2008-2025)
2011年高考数学试卷(文)(广东)(解析卷)_数学历年高考真题_新·PDF版2008-2025·高考数学真题_数学(按试卷类型分类)2008-2025_自主命题卷·数学(2008-2025)
2011年高考数学试卷(文)(广东)(解析卷)_数学历年高考真题_新·PDF版2008-2025·高考数学真题_数学(按试卷类型分类)2008-2025_自主命题卷·数学(2008-2025)
2011年高考数学试卷(文)(广东)(解析卷)_数学历年高考真题_新·PDF版2008-2025·高考数学真题_数学(按试卷类型分类)2008-2025_自主命题卷·数学(2008-2025)
2011年高考数学试卷(文)(广东)(解析卷)_数学历年高考真题_新·PDF版2008-2025·高考数学真题_数学(按试卷类型分类)2008-2025_自主命题卷·数学(2008-2025)
2011年高考数学试卷(文)(广东)(解析卷)_数学历年高考真题_新·PDF版2008-2025·高考数学真题_数学(按试卷类型分类)2008-2025_自主命题卷·数学(2008-2025)
2011年高考数学试卷(文)(广东)(解析卷)_数学历年高考真题_新·PDF版2008-2025·高考数学真题_数学(按试卷类型分类)2008-2025_自主命题卷·数学(2008-2025)
2011年高考数学试卷(文)(广东)(解析卷)_数学历年高考真题_新·PDF版2008-2025·高考数学真题_数学(按试卷类型分类)2008-2025_自主命题卷·数学(2008-2025)
2011年高考数学试卷(文)(广东)(解析卷)_数学历年高考真题_新·PDF版2008-2025·高考数学真题_数学(按试卷类型分类)2008-2025_自主命题卷·数学(2008-2025)
2011年高考数学试卷(文)(广东)(解析卷)_数学历年高考真题_新·PDF版2008-2025·高考数学真题_数学(按试卷类型分类)2008-2025_自主命题卷·数学(2008-2025)
2011年高考数学试卷(文)(广东)(解析卷)_数学历年高考真题_新·PDF版2008-2025·高考数学真题_数学(按试卷类型分类)2008-2025_自主命题卷·数学(2008-2025)

文档信息

文档格式
pdf
文档大小
0.271 MB
文档页数
13 页
上传时间
2026-02-12 02:49:53

文档内容

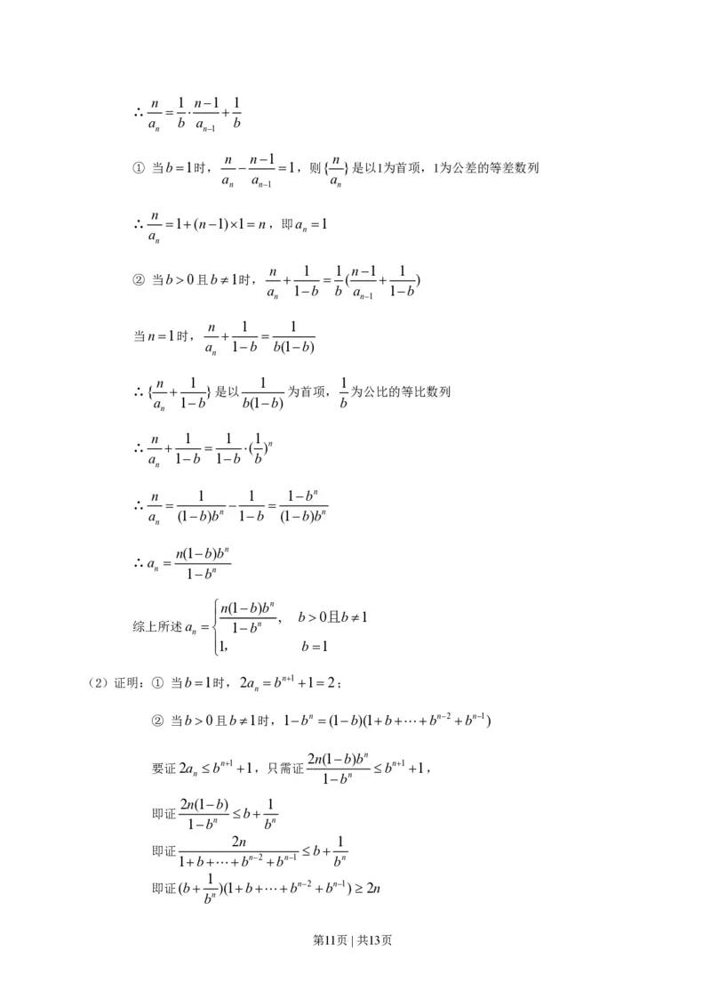
试卷类型:B 绝密★启用前 2011年普通高等学校招生全国统一考试(广东卷) 数学(文科) 本试题共4页,21小题,满分150分,考试用时120分钟。 注意事项:1.答卷前,考生务必用黑色字迹的钢笔或签字笔将自己的姓名和考生号、试室号、座 位号填写在答题卡上。用2B铅笔将试卷类型(A)填涂在答题卡相应位置上。将条形 码横贴在答题卡右上角“条形码粘贴处”。 2.选择题每小题选出答案后,用2B铅笔把答题卡上对应题目选项的答案信息点涂黑。 如需改动,用橡皮擦干净后,再选涂其他答案,答案不能答在试卷上。 3.非选择题必须用黑色字迹钢笔或签字笔作答,答案必须写在答题卡各题目指定区域 内相应位置上;如需改动,先划掉原来的答案,然后再写上新的答案;不准使用铅 笔和涂改液。不按以上要求作答的答案无效。 4.作答选做题时,请先用2B铅笔填涂选做题的题号对应的信息点,再作答。漏涂、错 涂、多涂的,答案无效。 5.考生必须保持答题卡的整洁。考试结束后,将试卷和答题卡一并交回。 1 参考公式:锥体体积公式V = Sh,其中S为锥体的底面积,h为锥体的高. 3 n å(x -x)(y - y) i i 线性回归方程y =bx+a 中系数计算公式b = i=1 ,a = y-bx, n å(x -x)2 i i=1 1 样本数据x ,x , ,x 的标准差,s = [(x -x)2 +(x -x)2 + +(x -x)2], 1 2 L n n 1 2 L n 其中x,y表示样本均值. n是正整数,则an -bn =(a-b)(an-1+an-2b+ +abn-2 +bn-1). L 一、选择题:本大题共10小题,每小题5分,满分50分,在每小题给出的四个选项中,只有一项是 符合题目要求的. 1.设复数z满足iz =1,其中i为虚数单位,则z = A.-i B.i C.-1 D.1 1 -i 【解析】A.由题得z = = =-i所以选A. i i´(-i) 2.已知集合A={(x,y)|x,y为实数,且x2 + y2 =1},B={(x,y)|x,y为实数,且x+ y =1}, 则AÇB的元素个数为 A.4 B.3 C.2 D.1 第1页 | 共13页x2 + y2 =1 x =1 x =0 【解析】C.方法一:由题得  或  ,A  B ={(x,y)|(1,0),(0,1)},所 x+ y =1 y =0 y =1 以选C. 方法二:直接作出单位圆x2 + y2 =1和直线x+ y =1,观察得两曲线有两个交点,所以选C. 3.已知向量a =(1,2),b=(1,0),c =(3,4).若l为实数,(a+lb)∥c,则l= 1 1 A. B. C.1 D.2 4 2 r r r 【解析】B.a+lb =(1,2)+(l,0) =(1+l,2),(a+lb)//c 1 (1+l)´4-2´3=0 l= 2 所以选B. 1 4.函数 f(x)= +lg(1+x)的定义域是 1-x A.(-¥,-1) B.(1,+¥) C.(-1,1)È(1,+¥) D.(-¥,+¥) 1-x  0 【解析】C.由题得 x  -1且x 1 函数的定义域为(-1,1)  (1,+¥),所以选 x+10 C. 5.不等式2x2 -x-10的解集是 1 1 A.(- ,1) B.(1,+¥) C.(-¥,1)È(2,+¥) D.(-¥,- )È(1,+¥) 2 2 1 【解析】D由题得2x2 -x-10Þ(x-1)(2x+1)0Þ x<- 或x1,则不等式的解集为 2 1 (-¥,- )È(1,+¥) 2 0≤x≤ 2 ï 6.已知平面直角坐标系xOy上的区域D由不等式组y≤2 给定.若M(x,y)为D上的动 ï x≤ 2y  uuuur uuur 点,点A 的坐标为( 2,1),则z =OM ×OA的最大值为 A.3 B.4 C.3 2 D.4 2 【解析】B由题知不等式组表示的平面区域D是如图中的梯形OABC, uuuur uuur uuuur uuur uuuur uuur z =OM ×OA=|OM |×|OA|cosÐAOM = 3|OM |cosÐAOM = 3|ON |,所以就是求|ON | 第2页 | 共13页的最大值,|ON |表示OM在OA方向上的投影,数形结合观察得当点M在点B的地方时,|ON |才 最大。 2 2 2 2 3 + 6 -12 2 在DAOM中,OA= 2 +1= 3,OB= 2 +4= 6,AB=2-1=1,cosÐAOM = = 2 2 3 6 3 g g 2 ,所以z = 3 6 2 = 4,所以选择B max 3 7.正五棱柱中,不同在任何侧面且不同在任何底面的两顶点的连线称为它的对角线,那么一个正 五棱柱对角线的条数共有 A.20 B.15 C.12 D.10 【解析】D正五棱柱中,上底面中的每一个顶点均可与下底面中的两个顶点构成对角线,所以一个 正五棱柱对角线的条数共有5´2=10条 8.设圆C与圆x2 +(y-3)2 =1外切,与直线y =0相切,则C的圆心轨迹为 A.抛物线 B.双曲线 C.椭圆 D.圆 【解析】A.设圆C圆心C(x,y),半径为R,A(0,3),点C到直线y=0的距离为|CB|,由题得 1 |CA|= R+1= y+1  x2 +(y-3)2 = y+1 y = x2 +1,所以圆C的圆心C轨迹是抛物线, 8 所以选A. 9.如图1 ~ 3,某几何体的正视图(主视图),侧视图 (左视图)和俯视图分别 是等边三角形,等腰三角形和菱形,则该 几何体的 体积为 2 3 A.4 3 B.4 C.2 3 D.2 2 正视图 侧视图 图1 图2 2 第3页 | 共13页 俯视图 图3【解析】C.由题得该几何体是如图所示的四棱锥P-ABCD, 2 1 1 AO = 22 -1 = 3,棱锥的高h = PO = 2 3 -3 = 12-3 =3 V = ´ ´2´ 3´2´3= 2 3, 3 2 所以选择C. 10.设 f(x),g(x),h(x)是R上的任意实值函数,如下定义两个函数(f g) (x)和(f g) (x):对 o g 任意xÎR,(f g) (x) = f(g(x));(f g) (x) = f(x)g(x),则下列等式恒成立的是 o g A.( (f g) h ) (x) = ( (f h) (g h) ) (x) o g g o g B.( (f g) h ) (x) = ( (f h) (g h) ) (x) g o o g o C.( (f g) h ) (x) = ( (f g) (g h) ) (x) o o o o o D.( (f g) h ) (x) = ( (f g) (g h) ) (x) g g g g g 【解析】B.对A选项 ( (f g) h ) (x) = (f g) (x)h(x) = f(g(x))h(x) o g o ( (f h) (g h) ) (x) = (f h) ( (g h)(x) ) = (f h) ( (g(x) h(x) ) g o g g g g g = f(g(x) h(x))h(g(x) h(x)),故排除A g g 对B选项 ( (f g) h ) (x) = (f g)(h(x))= f(h(x))g(h(x)) g o g ( (f h) (g h) ) (x) = (f h)(x)(g h)(x) = f(h(x))g(h(x)),故选B o g o o o 对C选项 ( (f g) h ) (x) = (f g)(h(x)) = f(g(h(x))) o o o ( (f g) (g h) ) (x) = (f g)((g h)(x))=(f g)(g(h(x))) o o o o o o = f(g(g(h(x)))),故排除C 对D选项 ( (f g) h ) (x) = (f g)(x)h(x)= f(x)g(x)h(x) g g g ( (f g) (g h) ) (x) = (f g)(x)(g h)(x)= f(x)g(x)g(x)h(x),故排除D g g g g g 二、填空题:本大题共5小题,考生作答4小题,每小题5分,满分20分. (一)必做题(9 ~ 13题) 第4页 | 共13页11.已知{a }是递增的等比数列,若a =2,a -a =4,则此数列的公比q= n 2 4 3 . 【解析】2. a -a =4Þa q2 -a q =4Þ2q2 -2q-4=0Þ2(q-2)(q+1)=0 Þq =2或q=-1 4 3 2 2 ∵{a }是递增的等比数列,∴q=2 n 12.设函数 f(x)= x3cosx+1.若 f(a)=11,则 f(-a)= . 【解析】-9 f(a)=a3cosa+1=11,即 f(a)=a3cosa =10, 则 f(-a)=(-a)3cos(-a)+1=-a3cosa+1=-10+1=-9 13.为了解篮球爱好者小李的投篮命中率与打篮球时间之间的关系,下表记录了小李某月1号到5号 每天打篮球时间x(单位:小时)与当天投篮命中率y之间的关系: 时间x 1 2 3 4 5 命中率y 0.4 0.5 0.6 0.6 0.4 小李这5天的平均投篮命中率为 ;用线性回归分析的方法,预测小李该月6号打6小时篮球的投篮命中率为 . 0.4+0.5+0.6+0.6+0.4 【解析】0.5;0.53由题得小李这 5天的平均投篮命中率为 =0.5 5 1+2+3+4+5 0.4+0.5+0.6+0.6+0.4 x = =3,y = =0.5 5 5 Ù (1-3)(0.4-0.5)+(2-3)(0.5-0.5)+(3-3)(0.6-0.5)+(4-3)(0.6-0.5)+(5-3)(0.4-0.5) b= =0.01 (1-3)2 +(2-3)2 +(3-3)2 +(4-3)2 +(5-3)2 Ù Ù Ù Ù Ù Ù a= y-bx=0.5-0.013=0.47 y =bx+a=0.01x+0.47 x=6时,y =0.016+0.47=0.53 g g 第6个同学6号打篮球6个小时投篮的命中率为0.53. (二)选做题(14 ~ 15题,考生只能从中选做一题) ïx = 5cosq 14.(坐标系与参数方程选做题)已知两曲线参数方程分别为 (0≤q
基本 文件 流程 错误 SQL 调试
  1. 请求信息 : 2026-03-10 04:33:07 HTTP/1.1 GET : https://www.yeyulingfeng.com/wendang/202832.html
  2. 运行时间 : 0.100181s [ 吞吐率:9.98req/s ] 内存消耗:5,951.03kb 文件加载:144
  3. 缓存信息 : 0 reads,0 writes
  4. 会话信息 : SESSION_ID=5d5dc6d6c83d01929fdb2cf88add97fe
  1. /yingpanguazai/ssd/ssd1/www/wwww.yeyulingfeng.com/public/index.php ( 0.79 KB )
  2. /yingpanguazai/ssd/ssd1/www/wwww.yeyulingfeng.com/vendor/autoload.php ( 0.17 KB )
  3. /yingpanguazai/ssd/ssd1/www/wwww.yeyulingfeng.com/vendor/composer/autoload_real.php ( 2.49 KB )
  4. /yingpanguazai/ssd/ssd1/www/wwww.yeyulingfeng.com/vendor/composer/platform_check.php ( 0.90 KB )
  5. /yingpanguazai/ssd/ssd1/www/wwww.yeyulingfeng.com/vendor/composer/ClassLoader.php ( 14.03 KB )
  6. /yingpanguazai/ssd/ssd1/www/wwww.yeyulingfeng.com/vendor/composer/autoload_static.php ( 6.05 KB )
  7. /yingpanguazai/ssd/ssd1/www/wwww.yeyulingfeng.com/vendor/topthink/think-helper/src/helper.php ( 8.34 KB )
  8. /yingpanguazai/ssd/ssd1/www/wwww.yeyulingfeng.com/vendor/topthink/think-validate/src/helper.php ( 2.19 KB )
  9. /yingpanguazai/ssd/ssd1/www/wwww.yeyulingfeng.com/vendor/ralouphie/getallheaders/src/getallheaders.php ( 1.60 KB )
  10. /yingpanguazai/ssd/ssd1/www/wwww.yeyulingfeng.com/vendor/topthink/think-orm/src/helper.php ( 1.47 KB )
  11. /yingpanguazai/ssd/ssd1/www/wwww.yeyulingfeng.com/vendor/topthink/think-orm/stubs/load_stubs.php ( 0.16 KB )
  12. /yingpanguazai/ssd/ssd1/www/wwww.yeyulingfeng.com/vendor/topthink/framework/src/think/Exception.php ( 1.69 KB )
  13. /yingpanguazai/ssd/ssd1/www/wwww.yeyulingfeng.com/vendor/topthink/think-container/src/Facade.php ( 2.71 KB )
  14. /yingpanguazai/ssd/ssd1/www/wwww.yeyulingfeng.com/vendor/symfony/deprecation-contracts/function.php ( 0.99 KB )
  15. /yingpanguazai/ssd/ssd1/www/wwww.yeyulingfeng.com/vendor/symfony/polyfill-mbstring/bootstrap.php ( 8.26 KB )
  16. /yingpanguazai/ssd/ssd1/www/wwww.yeyulingfeng.com/vendor/symfony/polyfill-mbstring/bootstrap80.php ( 9.78 KB )
  17. /yingpanguazai/ssd/ssd1/www/wwww.yeyulingfeng.com/vendor/symfony/var-dumper/Resources/functions/dump.php ( 1.49 KB )
  18. /yingpanguazai/ssd/ssd1/www/wwww.yeyulingfeng.com/vendor/topthink/think-dumper/src/helper.php ( 0.18 KB )
  19. /yingpanguazai/ssd/ssd1/www/wwww.yeyulingfeng.com/vendor/symfony/var-dumper/VarDumper.php ( 4.30 KB )
  20. /yingpanguazai/ssd/ssd1/www/wwww.yeyulingfeng.com/vendor/guzzlehttp/guzzle/src/functions_include.php ( 0.16 KB )
  21. /yingpanguazai/ssd/ssd1/www/wwww.yeyulingfeng.com/vendor/guzzlehttp/guzzle/src/functions.php ( 5.54 KB )
  22. /yingpanguazai/ssd/ssd1/www/wwww.yeyulingfeng.com/vendor/topthink/framework/src/think/App.php ( 15.30 KB )
  23. /yingpanguazai/ssd/ssd1/www/wwww.yeyulingfeng.com/vendor/topthink/think-container/src/Container.php ( 15.76 KB )
  24. /yingpanguazai/ssd/ssd1/www/wwww.yeyulingfeng.com/vendor/psr/container/src/ContainerInterface.php ( 1.02 KB )
  25. /yingpanguazai/ssd/ssd1/www/wwww.yeyulingfeng.com/app/provider.php ( 0.19 KB )
  26. /yingpanguazai/ssd/ssd1/www/wwww.yeyulingfeng.com/vendor/topthink/framework/src/think/Http.php ( 6.04 KB )
  27. /yingpanguazai/ssd/ssd1/www/wwww.yeyulingfeng.com/vendor/topthink/think-helper/src/helper/Str.php ( 7.29 KB )
  28. /yingpanguazai/ssd/ssd1/www/wwww.yeyulingfeng.com/vendor/topthink/framework/src/think/Env.php ( 4.68 KB )
  29. /yingpanguazai/ssd/ssd1/www/wwww.yeyulingfeng.com/app/common.php ( 0.03 KB )
  30. /yingpanguazai/ssd/ssd1/www/wwww.yeyulingfeng.com/vendor/topthink/framework/src/helper.php ( 18.78 KB )
  31. /yingpanguazai/ssd/ssd1/www/wwww.yeyulingfeng.com/vendor/topthink/framework/src/think/Config.php ( 5.54 KB )
  32. /yingpanguazai/ssd/ssd1/www/wwww.yeyulingfeng.com/config/alipay.php ( 3.59 KB )
  33. /yingpanguazai/ssd/ssd1/www/wwww.yeyulingfeng.com/vendor/topthink/framework/src/think/facade/Env.php ( 1.67 KB )
  34. /yingpanguazai/ssd/ssd1/www/wwww.yeyulingfeng.com/config/app.php ( 0.95 KB )
  35. /yingpanguazai/ssd/ssd1/www/wwww.yeyulingfeng.com/config/cache.php ( 0.78 KB )
  36. /yingpanguazai/ssd/ssd1/www/wwww.yeyulingfeng.com/config/console.php ( 0.23 KB )
  37. /yingpanguazai/ssd/ssd1/www/wwww.yeyulingfeng.com/config/cookie.php ( 0.56 KB )
  38. /yingpanguazai/ssd/ssd1/www/wwww.yeyulingfeng.com/config/database.php ( 2.48 KB )
  39. /yingpanguazai/ssd/ssd1/www/wwww.yeyulingfeng.com/config/filesystem.php ( 0.61 KB )
  40. /yingpanguazai/ssd/ssd1/www/wwww.yeyulingfeng.com/config/lang.php ( 0.91 KB )
  41. /yingpanguazai/ssd/ssd1/www/wwww.yeyulingfeng.com/config/log.php ( 1.35 KB )
  42. /yingpanguazai/ssd/ssd1/www/wwww.yeyulingfeng.com/config/middleware.php ( 0.19 KB )
  43. /yingpanguazai/ssd/ssd1/www/wwww.yeyulingfeng.com/config/route.php ( 1.89 KB )
  44. /yingpanguazai/ssd/ssd1/www/wwww.yeyulingfeng.com/config/session.php ( 0.57 KB )
  45. /yingpanguazai/ssd/ssd1/www/wwww.yeyulingfeng.com/config/trace.php ( 0.34 KB )
  46. /yingpanguazai/ssd/ssd1/www/wwww.yeyulingfeng.com/config/view.php ( 0.82 KB )
  47. /yingpanguazai/ssd/ssd1/www/wwww.yeyulingfeng.com/app/event.php ( 0.25 KB )
  48. /yingpanguazai/ssd/ssd1/www/wwww.yeyulingfeng.com/vendor/topthink/framework/src/think/Event.php ( 7.67 KB )
  49. /yingpanguazai/ssd/ssd1/www/wwww.yeyulingfeng.com/app/service.php ( 0.13 KB )
  50. /yingpanguazai/ssd/ssd1/www/wwww.yeyulingfeng.com/app/AppService.php ( 0.26 KB )
  51. /yingpanguazai/ssd/ssd1/www/wwww.yeyulingfeng.com/vendor/topthink/framework/src/think/Service.php ( 1.64 KB )
  52. /yingpanguazai/ssd/ssd1/www/wwww.yeyulingfeng.com/vendor/topthink/framework/src/think/Lang.php ( 7.35 KB )
  53. /yingpanguazai/ssd/ssd1/www/wwww.yeyulingfeng.com/vendor/topthink/framework/src/lang/zh-cn.php ( 13.70 KB )
  54. /yingpanguazai/ssd/ssd1/www/wwww.yeyulingfeng.com/vendor/topthink/framework/src/think/initializer/Error.php ( 3.31 KB )
  55. /yingpanguazai/ssd/ssd1/www/wwww.yeyulingfeng.com/vendor/topthink/framework/src/think/initializer/RegisterService.php ( 1.33 KB )
  56. /yingpanguazai/ssd/ssd1/www/wwww.yeyulingfeng.com/vendor/services.php ( 0.14 KB )
  57. /yingpanguazai/ssd/ssd1/www/wwww.yeyulingfeng.com/vendor/topthink/framework/src/think/service/PaginatorService.php ( 1.52 KB )
  58. /yingpanguazai/ssd/ssd1/www/wwww.yeyulingfeng.com/vendor/topthink/framework/src/think/service/ValidateService.php ( 0.99 KB )
  59. /yingpanguazai/ssd/ssd1/www/wwww.yeyulingfeng.com/vendor/topthink/framework/src/think/service/ModelService.php ( 2.04 KB )
  60. /yingpanguazai/ssd/ssd1/www/wwww.yeyulingfeng.com/vendor/topthink/think-trace/src/Service.php ( 0.77 KB )
  61. /yingpanguazai/ssd/ssd1/www/wwww.yeyulingfeng.com/vendor/topthink/framework/src/think/Middleware.php ( 6.72 KB )
  62. /yingpanguazai/ssd/ssd1/www/wwww.yeyulingfeng.com/vendor/topthink/framework/src/think/initializer/BootService.php ( 0.77 KB )
  63. /yingpanguazai/ssd/ssd1/www/wwww.yeyulingfeng.com/vendor/topthink/think-orm/src/Paginator.php ( 11.86 KB )
  64. /yingpanguazai/ssd/ssd1/www/wwww.yeyulingfeng.com/vendor/topthink/think-validate/src/Validate.php ( 63.20 KB )
  65. /yingpanguazai/ssd/ssd1/www/wwww.yeyulingfeng.com/vendor/topthink/think-orm/src/Model.php ( 23.55 KB )
  66. /yingpanguazai/ssd/ssd1/www/wwww.yeyulingfeng.com/vendor/topthink/think-orm/src/model/concern/Attribute.php ( 21.05 KB )
  67. /yingpanguazai/ssd/ssd1/www/wwww.yeyulingfeng.com/vendor/topthink/think-orm/src/model/concern/AutoWriteData.php ( 4.21 KB )
  68. /yingpanguazai/ssd/ssd1/www/wwww.yeyulingfeng.com/vendor/topthink/think-orm/src/model/concern/Conversion.php ( 6.44 KB )
  69. /yingpanguazai/ssd/ssd1/www/wwww.yeyulingfeng.com/vendor/topthink/think-orm/src/model/concern/DbConnect.php ( 5.16 KB )
  70. /yingpanguazai/ssd/ssd1/www/wwww.yeyulingfeng.com/vendor/topthink/think-orm/src/model/concern/ModelEvent.php ( 2.33 KB )
  71. /yingpanguazai/ssd/ssd1/www/wwww.yeyulingfeng.com/vendor/topthink/think-orm/src/model/concern/RelationShip.php ( 28.29 KB )
  72. /yingpanguazai/ssd/ssd1/www/wwww.yeyulingfeng.com/vendor/topthink/think-helper/src/contract/Arrayable.php ( 0.09 KB )
  73. /yingpanguazai/ssd/ssd1/www/wwww.yeyulingfeng.com/vendor/topthink/think-helper/src/contract/Jsonable.php ( 0.13 KB )
  74. /yingpanguazai/ssd/ssd1/www/wwww.yeyulingfeng.com/vendor/topthink/think-orm/src/model/contract/Modelable.php ( 0.09 KB )
  75. /yingpanguazai/ssd/ssd1/www/wwww.yeyulingfeng.com/vendor/topthink/framework/src/think/Db.php ( 2.88 KB )
  76. /yingpanguazai/ssd/ssd1/www/wwww.yeyulingfeng.com/vendor/topthink/think-orm/src/DbManager.php ( 8.52 KB )
  77. /yingpanguazai/ssd/ssd1/www/wwww.yeyulingfeng.com/vendor/topthink/framework/src/think/Log.php ( 6.28 KB )
  78. /yingpanguazai/ssd/ssd1/www/wwww.yeyulingfeng.com/vendor/topthink/framework/src/think/Manager.php ( 3.92 KB )
  79. /yingpanguazai/ssd/ssd1/www/wwww.yeyulingfeng.com/vendor/psr/log/src/LoggerTrait.php ( 2.69 KB )
  80. /yingpanguazai/ssd/ssd1/www/wwww.yeyulingfeng.com/vendor/psr/log/src/LoggerInterface.php ( 2.71 KB )
  81. /yingpanguazai/ssd/ssd1/www/wwww.yeyulingfeng.com/vendor/topthink/framework/src/think/Cache.php ( 4.92 KB )
  82. /yingpanguazai/ssd/ssd1/www/wwww.yeyulingfeng.com/vendor/psr/simple-cache/src/CacheInterface.php ( 4.71 KB )
  83. /yingpanguazai/ssd/ssd1/www/wwww.yeyulingfeng.com/vendor/topthink/think-helper/src/helper/Arr.php ( 16.63 KB )
  84. /yingpanguazai/ssd/ssd1/www/wwww.yeyulingfeng.com/vendor/topthink/framework/src/think/cache/driver/File.php ( 7.84 KB )
  85. /yingpanguazai/ssd/ssd1/www/wwww.yeyulingfeng.com/vendor/topthink/framework/src/think/cache/Driver.php ( 9.03 KB )
  86. /yingpanguazai/ssd/ssd1/www/wwww.yeyulingfeng.com/vendor/topthink/framework/src/think/contract/CacheHandlerInterface.php ( 1.99 KB )
  87. /yingpanguazai/ssd/ssd1/www/wwww.yeyulingfeng.com/app/Request.php ( 0.09 KB )
  88. /yingpanguazai/ssd/ssd1/www/wwww.yeyulingfeng.com/vendor/topthink/framework/src/think/Request.php ( 55.78 KB )
  89. /yingpanguazai/ssd/ssd1/www/wwww.yeyulingfeng.com/app/middleware.php ( 0.25 KB )
  90. /yingpanguazai/ssd/ssd1/www/wwww.yeyulingfeng.com/vendor/topthink/framework/src/think/Pipeline.php ( 2.61 KB )
  91. /yingpanguazai/ssd/ssd1/www/wwww.yeyulingfeng.com/vendor/topthink/think-trace/src/TraceDebug.php ( 3.40 KB )
  92. /yingpanguazai/ssd/ssd1/www/wwww.yeyulingfeng.com/vendor/topthink/framework/src/think/middleware/SessionInit.php ( 1.94 KB )
  93. /yingpanguazai/ssd/ssd1/www/wwww.yeyulingfeng.com/vendor/topthink/framework/src/think/Session.php ( 1.80 KB )
  94. /yingpanguazai/ssd/ssd1/www/wwww.yeyulingfeng.com/vendor/topthink/framework/src/think/session/driver/File.php ( 6.27 KB )
  95. /yingpanguazai/ssd/ssd1/www/wwww.yeyulingfeng.com/vendor/topthink/framework/src/think/contract/SessionHandlerInterface.php ( 0.87 KB )
  96. /yingpanguazai/ssd/ssd1/www/wwww.yeyulingfeng.com/vendor/topthink/framework/src/think/session/Store.php ( 7.12 KB )
  97. /yingpanguazai/ssd/ssd1/www/wwww.yeyulingfeng.com/vendor/topthink/framework/src/think/Route.php ( 23.73 KB )
  98. /yingpanguazai/ssd/ssd1/www/wwww.yeyulingfeng.com/vendor/topthink/framework/src/think/route/RuleName.php ( 5.75 KB )
  99. /yingpanguazai/ssd/ssd1/www/wwww.yeyulingfeng.com/vendor/topthink/framework/src/think/route/Domain.php ( 2.53 KB )
  100. /yingpanguazai/ssd/ssd1/www/wwww.yeyulingfeng.com/vendor/topthink/framework/src/think/route/RuleGroup.php ( 22.43 KB )
  101. /yingpanguazai/ssd/ssd1/www/wwww.yeyulingfeng.com/vendor/topthink/framework/src/think/route/Rule.php ( 26.95 KB )
  102. /yingpanguazai/ssd/ssd1/www/wwww.yeyulingfeng.com/vendor/topthink/framework/src/think/route/RuleItem.php ( 9.78 KB )
  103. /yingpanguazai/ssd/ssd1/www/wwww.yeyulingfeng.com/route/app.php ( 3.82 KB )
  104. /yingpanguazai/ssd/ssd1/www/wwww.yeyulingfeng.com/vendor/topthink/framework/src/think/facade/Route.php ( 4.70 KB )
  105. /yingpanguazai/ssd/ssd1/www/wwww.yeyulingfeng.com/vendor/topthink/framework/src/think/route/dispatch/Controller.php ( 4.74 KB )
  106. /yingpanguazai/ssd/ssd1/www/wwww.yeyulingfeng.com/vendor/topthink/framework/src/think/route/Dispatch.php ( 10.44 KB )
  107. /yingpanguazai/ssd/ssd1/www/wwww.yeyulingfeng.com/app/controller/Index.php ( 9.69 KB )
  108. /yingpanguazai/ssd/ssd1/www/wwww.yeyulingfeng.com/app/BaseController.php ( 2.05 KB )
  109. /yingpanguazai/ssd/ssd1/www/wwww.yeyulingfeng.com/vendor/topthink/think-orm/src/facade/Db.php ( 0.93 KB )
  110. /yingpanguazai/ssd/ssd1/www/wwww.yeyulingfeng.com/vendor/topthink/think-orm/src/db/connector/Mysql.php ( 5.44 KB )
  111. /yingpanguazai/ssd/ssd1/www/wwww.yeyulingfeng.com/vendor/topthink/think-orm/src/db/PDOConnection.php ( 52.47 KB )
  112. /yingpanguazai/ssd/ssd1/www/wwww.yeyulingfeng.com/vendor/topthink/think-orm/src/db/Connection.php ( 8.39 KB )
  113. /yingpanguazai/ssd/ssd1/www/wwww.yeyulingfeng.com/vendor/topthink/think-orm/src/db/ConnectionInterface.php ( 4.57 KB )
  114. /yingpanguazai/ssd/ssd1/www/wwww.yeyulingfeng.com/vendor/topthink/think-orm/src/db/builder/Mysql.php ( 16.58 KB )
  115. /yingpanguazai/ssd/ssd1/www/wwww.yeyulingfeng.com/vendor/topthink/think-orm/src/db/Builder.php ( 24.06 KB )
  116. /yingpanguazai/ssd/ssd1/www/wwww.yeyulingfeng.com/vendor/topthink/think-orm/src/db/BaseBuilder.php ( 27.50 KB )
  117. /yingpanguazai/ssd/ssd1/www/wwww.yeyulingfeng.com/vendor/topthink/think-orm/src/db/Query.php ( 15.71 KB )
  118. /yingpanguazai/ssd/ssd1/www/wwww.yeyulingfeng.com/vendor/topthink/think-orm/src/db/BaseQuery.php ( 45.13 KB )
  119. /yingpanguazai/ssd/ssd1/www/wwww.yeyulingfeng.com/vendor/topthink/think-orm/src/db/concern/TimeFieldQuery.php ( 7.43 KB )
  120. /yingpanguazai/ssd/ssd1/www/wwww.yeyulingfeng.com/vendor/topthink/think-orm/src/db/concern/AggregateQuery.php ( 3.26 KB )
  121. /yingpanguazai/ssd/ssd1/www/wwww.yeyulingfeng.com/vendor/topthink/think-orm/src/db/concern/ModelRelationQuery.php ( 20.07 KB )
  122. /yingpanguazai/ssd/ssd1/www/wwww.yeyulingfeng.com/vendor/topthink/think-orm/src/db/concern/ParamsBind.php ( 3.66 KB )
  123. /yingpanguazai/ssd/ssd1/www/wwww.yeyulingfeng.com/vendor/topthink/think-orm/src/db/concern/ResultOperation.php ( 7.01 KB )
  124. /yingpanguazai/ssd/ssd1/www/wwww.yeyulingfeng.com/vendor/topthink/think-orm/src/db/concern/WhereQuery.php ( 19.37 KB )
  125. /yingpanguazai/ssd/ssd1/www/wwww.yeyulingfeng.com/vendor/topthink/think-orm/src/db/concern/JoinAndViewQuery.php ( 7.11 KB )
  126. /yingpanguazai/ssd/ssd1/www/wwww.yeyulingfeng.com/vendor/topthink/think-orm/src/db/concern/TableFieldInfo.php ( 2.63 KB )
  127. /yingpanguazai/ssd/ssd1/www/wwww.yeyulingfeng.com/vendor/topthink/think-orm/src/db/concern/Transaction.php ( 2.77 KB )
  128. /yingpanguazai/ssd/ssd1/www/wwww.yeyulingfeng.com/vendor/topthink/framework/src/think/log/driver/File.php ( 5.96 KB )
  129. /yingpanguazai/ssd/ssd1/www/wwww.yeyulingfeng.com/vendor/topthink/framework/src/think/contract/LogHandlerInterface.php ( 0.86 KB )
  130. /yingpanguazai/ssd/ssd1/www/wwww.yeyulingfeng.com/vendor/topthink/framework/src/think/log/Channel.php ( 3.89 KB )
  131. /yingpanguazai/ssd/ssd1/www/wwww.yeyulingfeng.com/vendor/topthink/framework/src/think/event/LogRecord.php ( 1.02 KB )
  132. /yingpanguazai/ssd/ssd1/www/wwww.yeyulingfeng.com/vendor/topthink/think-helper/src/Collection.php ( 16.47 KB )
  133. /yingpanguazai/ssd/ssd1/www/wwww.yeyulingfeng.com/vendor/topthink/framework/src/think/facade/View.php ( 1.70 KB )
  134. /yingpanguazai/ssd/ssd1/www/wwww.yeyulingfeng.com/vendor/topthink/framework/src/think/View.php ( 4.39 KB )
  135. /yingpanguazai/ssd/ssd1/www/wwww.yeyulingfeng.com/vendor/topthink/framework/src/think/Response.php ( 8.81 KB )
  136. /yingpanguazai/ssd/ssd1/www/wwww.yeyulingfeng.com/vendor/topthink/framework/src/think/response/View.php ( 3.29 KB )
  137. /yingpanguazai/ssd/ssd1/www/wwww.yeyulingfeng.com/vendor/topthink/framework/src/think/Cookie.php ( 6.06 KB )
  138. /yingpanguazai/ssd/ssd1/www/wwww.yeyulingfeng.com/vendor/topthink/think-view/src/Think.php ( 8.38 KB )
  139. /yingpanguazai/ssd/ssd1/www/wwww.yeyulingfeng.com/vendor/topthink/framework/src/think/contract/TemplateHandlerInterface.php ( 1.60 KB )
  140. /yingpanguazai/ssd/ssd1/www/wwww.yeyulingfeng.com/vendor/topthink/think-template/src/Template.php ( 46.61 KB )
  141. /yingpanguazai/ssd/ssd1/www/wwww.yeyulingfeng.com/vendor/topthink/think-template/src/template/driver/File.php ( 2.41 KB )
  142. /yingpanguazai/ssd/ssd1/www/wwww.yeyulingfeng.com/vendor/topthink/think-template/src/template/contract/DriverInterface.php ( 0.86 KB )
  143. /yingpanguazai/ssd/ssd1/www/wwww.yeyulingfeng.com/runtime/temp/10a0c909b6afa23b5a52a2e2d58c3c0f.php ( 21.72 KB )
  144. /yingpanguazai/ssd/ssd1/www/wwww.yeyulingfeng.com/vendor/topthink/think-trace/src/Html.php ( 4.42 KB )
  1. CONNECT:[ UseTime:0.000505s ] mysql:host=127.0.0.1;port=3306;dbname=wenku;charset=utf8mb4
  2. SHOW FULL COLUMNS FROM `fenlei` [ RunTime:0.000884s ]
  3. SELECT * FROM `fenlei` WHERE `fid` = 0 [ RunTime:0.000377s ]
  4. SELECT * FROM `fenlei` WHERE `fid` = 63 [ RunTime:0.000295s ]
  5. SHOW FULL COLUMNS FROM `set` [ RunTime:0.000494s ]
  6. SELECT * FROM `set` [ RunTime:0.000203s ]
  7. SHOW FULL COLUMNS FROM `wendang` [ RunTime:0.000659s ]
  8. SELECT * FROM `wendang` WHERE `id` = 202832 LIMIT 1 [ RunTime:0.000581s ]
  9. UPDATE `wendang` SET `liulancishu` = 6 WHERE `id` = 202832 [ RunTime:0.013283s ]
  10. UPDATE `wendang` SET `lasttime` = 1773088387 WHERE `id` = 202832 [ RunTime:0.000541s ]
  11. SELECT * FROM `wendang` WHERE `id` < 202832 ORDER BY `id` DESC LIMIT 1 [ RunTime:0.000936s ]
  12. SELECT * FROM `wendang` WHERE `id` > 202832 ORDER BY `id` ASC LIMIT 1 [ RunTime:0.000553s ]
  13. SELECT * FROM `wendang` WHERE `id` <> 202832 ORDER BY `id` DESC LIMIT 10 [ RunTime:0.002560s ]
  14. SELECT * FROM `wendang` WHERE `id` <> 202832 ORDER BY `id` DESC LIMIT 10,10 [ RunTime:0.008015s ]
  15. SELECT * FROM `wendang` WHERE `id` <> 202832 ORDER BY `id` DESC LIMIT 20,10 [ RunTime:0.001835s ]
0.101861s