当前位置:首页>文档>数学参考答案(1)_2023年10月_0210月合集_2024届河南省焦作市博爱县第一中学高三上学期10月月考_河南省焦作市博爱县第一中学2024届高三上学期10月月考数学

数学参考答案(1)_2023年10月_0210月合集_2024届河南省焦作市博爱县第一中学高三上学期10月月考_河南省焦作市博爱县第一中学2024届高三上学期10月月考数学

  • 2026-04-02 00:17:26 2026-02-13 00:38:05

文档预览

数学参考答案(1)_2023年10月_0210月合集_2024届河南省焦作市博爱县第一中学高三上学期10月月考_河南省焦作市博爱县第一中学2024届高三上学期10月月考数学
数学参考答案(1)_2023年10月_0210月合集_2024届河南省焦作市博爱县第一中学高三上学期10月月考_河南省焦作市博爱县第一中学2024届高三上学期10月月考数学
数学参考答案(1)_2023年10月_0210月合集_2024届河南省焦作市博爱县第一中学高三上学期10月月考_河南省焦作市博爱县第一中学2024届高三上学期10月月考数学
数学参考答案(1)_2023年10月_0210月合集_2024届河南省焦作市博爱县第一中学高三上学期10月月考_河南省焦作市博爱县第一中学2024届高三上学期10月月考数学
数学参考答案(1)_2023年10月_0210月合集_2024届河南省焦作市博爱县第一中学高三上学期10月月考_河南省焦作市博爱县第一中学2024届高三上学期10月月考数学
数学参考答案(1)_2023年10月_0210月合集_2024届河南省焦作市博爱县第一中学高三上学期10月月考_河南省焦作市博爱县第一中学2024届高三上学期10月月考数学
数学参考答案(1)_2023年10月_0210月合集_2024届河南省焦作市博爱县第一中学高三上学期10月月考_河南省焦作市博爱县第一中学2024届高三上学期10月月考数学
数学参考答案(1)_2023年10月_0210月合集_2024届河南省焦作市博爱县第一中学高三上学期10月月考_河南省焦作市博爱县第一中学2024届高三上学期10月月考数学
数学参考答案(1)_2023年10月_0210月合集_2024届河南省焦作市博爱县第一中学高三上学期10月月考_河南省焦作市博爱县第一中学2024届高三上学期10月月考数学
数学参考答案(1)_2023年10月_0210月合集_2024届河南省焦作市博爱县第一中学高三上学期10月月考_河南省焦作市博爱县第一中学2024届高三上学期10月月考数学
数学参考答案(1)_2023年10月_0210月合集_2024届河南省焦作市博爱县第一中学高三上学期10月月考_河南省焦作市博爱县第一中学2024届高三上学期10月月考数学
数学参考答案(1)_2023年10月_0210月合集_2024届河南省焦作市博爱县第一中学高三上学期10月月考_河南省焦作市博爱县第一中学2024届高三上学期10月月考数学
数学参考答案(1)_2023年10月_0210月合集_2024届河南省焦作市博爱县第一中学高三上学期10月月考_河南省焦作市博爱县第一中学2024届高三上学期10月月考数学
数学参考答案(1)_2023年10月_0210月合集_2024届河南省焦作市博爱县第一中学高三上学期10月月考_河南省焦作市博爱县第一中学2024届高三上学期10月月考数学
数学参考答案(1)_2023年10月_0210月合集_2024届河南省焦作市博爱县第一中学高三上学期10月月考_河南省焦作市博爱县第一中学2024届高三上学期10月月考数学
数学参考答案(1)_2023年10月_0210月合集_2024届河南省焦作市博爱县第一中学高三上学期10月月考_河南省焦作市博爱县第一中学2024届高三上学期10月月考数学

文档信息

文档格式
docx
文档大小
0.629 MB
文档页数
12 页
上传时间
2026-02-13 00:38:05

文档内容

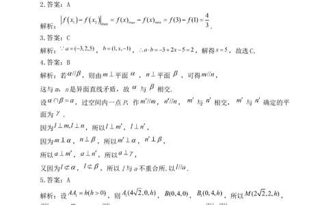
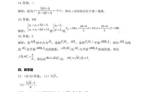
参 考 答 案 一、单项选择题 1.答案:D 解析:10以内的质数有2,3,5,7,故A错误;0是集合 中的一个元素,故B错 误;由集合元素的互异性可知 错误,故C错误;由集合元素的无序性可知D正 确.故选D. 2.答案:A 解析: . 3.答案:C 解析: , , ,解得 ,故选C. 4.答案:B 解析:若 ,则由 平面 , 平面 ,可得 , 这与m,n是异面直线矛盾,故 与 相交. 设 ,过空间内一点P,作 , , 与 相交, 与 确定的平 面为 . 因为 ,所以 , , 因为 , ,所以 , , 所以 , ,所以 , 又因为 , ,所以l与a不重合所.以 . 5.答案:A B(0,4,0) B (0,4,h) M(2 2,2,h) 解析:设 ,则 , , 1 ,所以 , (cid:2) (cid:2) AB(4 2,4,h) CB (0,4,h) AB CB 1 , 1 .因为 1 1,所以 ,解得 (cid:2) CM (2 2,2,4) ,所以 , , ,所以 (cid:2) (cid:2) (cid:2) (cid:2) ABCM 16816 3 7 cos AB,CM  (cid:2)1 (cid:2)   1 AB |CM | 82 7 14 AB 1 ,所以异面直线CM与 1 所成角的余 3 7 弦值为 14 . 6.答案:B 学科网(北京)股份有限公司解析: ,切点为 , , 所以切线方程为 ,即 . 7.答案:B 解析:因为复数z ai( ,i是虚数单位),若 z  10,所以 z  a2 1 10,解得 . a 3 1 1 3i 3 1     i 所以 , z 3i 3i3i 10 10 1 1 故 的虚部是 .故选:B. z 10 8.答案:C 解析:根据题意,设点G、H、P的位置如图所 示:要组成矩形则应从竖线中选出两条、横线中选出两条,可分为两种情况: ①矩形的边不在CD上,共有 个矩形;②矩形的一条边在CD上, 共有 个矩形;故图中共有 个矩形.故选:C. 二、多项选择题 9.答案:AC 解析:因为 , ,所以 ,则 ,故A正确;易 得 ,又 ,所以 ,则 ,故B错 误;易知 ,所以 ,故C正确;易知 ,所以 ,故D错误.故选AC. 学科网(北京)股份有限公司10.答案:ABC 解析:本题考查对数函数,指数函数、二次函数的图象与性质.因为 , ,所以 ,又 ,所以 ,因为函 数 在 上单调递增,所以 ,即A,B,C不正确,D正 确,故选ABC. 11.答案:ABD 解析:设 ,则 . A项,若 ,则 ,所以 或 ,若 ,则满足 ,此时z 为实数;若 ,则 ,此时 ,不合题意,所以只能 , ,故A项正确; B项,若 ,则 ,所以 或 ,若 ,则 ,不合题意; 若 ,则 ,此时 ,符合题意,即 是虚数,故B项正确; C项,若z是虚数,取 ,则 , ,不满足 ,故C项错误; D项,z是纯虚数,则 , ,z2 b2i2 b2 0,故D项正确. 12.答案:AC 解析:由题意,知 , , , , , , . , 平面 ,故A正确; ,且 , 不是平面 的法向量,故B 不正确; , , , ,又 , 是平面 的一个法向量,故C正确; ,且 , 不是平面 的法向量,故D不 正确. 三、填空题 13.答案:0 解析:由函数 的最小正周期为 ,得 ,所以 . 学科网(北京)股份有限公司将 的图象向左平移 个单位长度,所得图象对应的函数解析式为 ,再将所得图象上各点的横坐标缩短为原来 的 (纵坐标不变),所得图象对应的函数解析式为 ,则由题意知 , ,得 , ,又 ,所以 . 14.答案:二 2i1i 解析:因为z  1i,所以z对应的点位于第二象限. 1i1i 15.答案:100 a 1, 1  解析: 得d 2, 则 . 16.答案:3 解析:设 的中点为 ,连接 , ,显然 平面 ,所以 为线 段 在平面 内的射影, 为 与平面 所成的角,所以 ,所以在 中, . 四、解答题 17. (10分)答案:(1) ; (2) . 解析:(1)由 可得 , 结合正弦定理与余弦定理可得: , 即 ,即 ,解得 . (2)由余弦定理可得: , 学科网(北京)股份有限公司又 ,所以 , 故 . 18. (12分)答案:(1) (2) 解析:(1)设数列 的公差为d, , , , , , . (2)由(1)可知 , 数列 的前n项和为 , , 两式作差,得 , . 19.(12分)答案:(1)见解析 (2) 解析:(1)在正方形ABCD中, , 又侧面 底面ABCD,侧面 底面 . 平面PAD. 平面PAD, . 是正三角形,M是PD的中点, . 又 , 平面PCD. (2)解:取AD,BC的中点分别为E,F,连接EF,PE,PF. 则 , . 又在正 中, . 学科网(北京)股份有限公司, 平面PEF. 正方形ABCD中, , 平面PEF. 是侧面PBC与底面ABCD所成二面角的平面角. 由 平面PAD, , 平面PAD. 平面PAD, .设正方形ABCD的边长 ,则 , . , , 即侧面PBC与底面ABCD所成二面角的余弦值为 . x y20 20.(12分)答案:(1) (x3)2 (y5)2 11 (x1)2 (y3)2 11 (2)圆E的标准方程为 或 130 532  4 10 G , G  ,     解析:(1)由A,B,C的坐标,得△ABC 的重心  3 3 ,即  3 3  . , , 边AB的高线所在直线方程为 ; 边AC的高线所在直线方程为 ,即 . 由 得 则 的垂心 . , 则 的欧拉线的方程为 ,即 . (2)设 ,圆E的半径为r, , , 学科网(北京)股份有限公司, 解得 或 . 当 时, , 圆心E到直线 的距离 , ,解得 . 圆E的方程为 . 当 时, , 圆心E到直线 的距离 , ,解得 . 圆E的方程为 . 综上所述,圆E的标准方程为 或 . 21.(12分)(1)答案:-84 解析:由题意得 . (2)答案:性质①不能推广,性质②能推广 C1 C 21 解析:性质①不能推广,如当x 2时, 2 有意义,但 2 无意义. 性质②能推广,它的推广形式是 Cm x Cm x 1 Cm x  1 1 (xR ,mN).证明如下: 当m0时,有 C0 x C1 x 1xC1 x1; 当m1时,有 Cm Cm1 x x x(x1)(xm1) x(x1)(x2)(xm)   m! (m1)! x(x1)(xm1) xm  1   m!  m1 (x1)x(x1)(xm1)  (m1)! Cm1 x1. 学科网(北京)股份有限公司综上,性质②的推广得证. 22.(12分)(1)答案:当 时,函数 在 上单调递增;当 时,函数 在 上单调递减,在 上单调递增 解析:因为 ,函数 的定义域为 , 所以 , . 当 时, , 所以函数 在 上单调递增. 当 时,由 ,得 (负根舍去), 当 时, ,当 时, , 所以函数 在 上单调递减;在 上单调递增. 综上所述,当 时,函数 在 上单调递增;当 时,函数 在 上单调递减,在 上单调递增.  1   ,0   (2)答案:k的取值范围是 2e ,证明见解析 f x 解析:方法1:由(1)知,当 时, 在 上单调递增,不可能有两个零 点,不满足条件.   0, 2k 当k 0时,函数 在 上单调递减,在 上单调递增,   1 f x  f 2k ln 2k  所以 min 2, 1 f x ln 2k  0 要使函数 有两个零点,首先 min 2 ,解得 . 2k  2k 1 因为 ,且 , 1 f 2kln2k 0 下面证明 4k . 1 1 4k1 gk   设 ,则 k 4k2 4k2 . 学科网(北京)股份有限公司2  1 gk 1  1  4k1  e 0 因为 ,所以 k 4k2 4k2 4k2 .  1   ,0   所以 在 2e 上单调递增, 所以 .  1   ,0   所以k的取值范围是 2e . 方法2:由 ,得到k  x2lnx. gx x2lnx1 设 ,则 . gx0 gx0 当 时, ,当 时, ,  1   0,e 2  所以函数 在 上单调递减,在 上单调递增.   1  1   gx   ge 2  min 2e 所以由   . gx0 因为 时, ,且 , f x 要使函数 有两个零点,必有 .  1   ,0   所以k的取值范围是 2e . 再证明 : x f x x tx 方法1:因为 1, 是函数 的两个零点,不妨设 ,令 2 1 ,则 .  k lnx  0,   1 x2 1  k  lnx  0,  2 x 2 所以 2 即 . 所以 ,即 , , . 要证 ,即证 . 学科网(北京)股份有限公司即证 ,即证 . 因为 ,所以即证 , 或证 . 设 , . 2 1 ht8lntt2 2t  即 t t2 , . 所以 . 所以 在 上单调递减, 所以 , . 所以 . 方法2:因为 , 是函数 有两个零点,不妨设 ,令 ,则 . 所以 即 . 所以 ,即 , , . 要证 ,需证 . 即证 ,即证 . 因为 ,所以即证 . 设 , 则 , . 学科网(北京)股份有限公司所以 在 上单调递减, 所以 . 所以 . 学科网(北京)股份有限公司学科网(北京)股份有限公司