当前位置:首页>文档>数学参考答案及解析_2023年7月_01每日更新_30号_2023届湖北高三新起点9月联考_答案

数学参考答案及解析_2023年7月_01每日更新_30号_2023届湖北高三新起点9月联考_答案

  • 2026-04-14 23:26:56 2026-02-13 00:38:16

文档预览

数学参考答案及解析_2023年7月_01每日更新_30号_2023届湖北高三新起点9月联考_答案
数学参考答案及解析_2023年7月_01每日更新_30号_2023届湖北高三新起点9月联考_答案
数学参考答案及解析_2023年7月_01每日更新_30号_2023届湖北高三新起点9月联考_答案
数学参考答案及解析_2023年7月_01每日更新_30号_2023届湖北高三新起点9月联考_答案
数学参考答案及解析_2023年7月_01每日更新_30号_2023届湖北高三新起点9月联考_答案
数学参考答案及解析_2023年7月_01每日更新_30号_2023届湖北高三新起点9月联考_答案
数学参考答案及解析_2023年7月_01每日更新_30号_2023届湖北高三新起点9月联考_答案
数学参考答案及解析_2023年7月_01每日更新_30号_2023届湖北高三新起点9月联考_答案
数学参考答案及解析_2023年7月_01每日更新_30号_2023届湖北高三新起点9月联考_答案
数学参考答案及解析_2023年7月_01每日更新_30号_2023届湖北高三新起点9月联考_答案

文档信息

文档格式
pdf
文档大小
1.423 MB
文档页数
6 页
上传时间
2026-02-13 00:38:16

文档内容

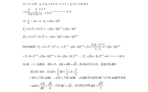
届高三( 月)起点考试 2023 9 数学参考答案 一、选择题: 题号 1 2 3 4 5 6 7 8 答案 D C C B A B A D 8【. 解析】①计第一步取出两个白球为事件A,则P(A)= ,P(X=0|A)=1,P(X=1|A)=P(X=2|A)=0 1 ②计第一步取出两球为一黑一白为事件B,则P(B)= ,P6(X=0|B)= ,P(X=1|B)= ,P(X=2|B)=0 2 1 1 ③计第一步取出两个黑球为事件C,则P(C)= ,P(X3=0|C)= ,P(X2=1|C)= ,P(X2=2|C)= 1 1 2 1 故由全概率公式,P(X=0)=P(A)P(X=0|A)+P(B6)P(X=0|B)+P(6C)P(X=0|C)= 3×1+ × + ×6 = , 1 2 1 1 1 19 同理P(X=1)= ,P(X=2)= ∴E(X)= . 6 3 2 6 6 36 16 1 1 另解:在第一3步6 完成之后,36X服从超几何分2 布,故E(X)=P(A)∙2× +P(B)∙2× +P(C)∙2× = 0 1 2 1 二、选择题: 4 4 4 2 题号 9 10 11 12 答案 BC ACD BCD BCD 12.【解析】由导数的几何意义及 f(x)的对称性, f(x)在x和x处的切线也关于原点对 称,其斜率总相等,故g(x) g(x),g(x)是偶函数,g(x2)对称轴为x2,A错; 由g(x)的对称性,g(x)在x和x处的切线关于纵轴对称,其斜率互为相反数,故 g(x)g(x),g(x)为奇函数,又定义域为R,g(0)0,B对; h(x) f(x4)(x4)4,由 f(x)为奇函数知u(x) f(x)x为奇函数,图像关于 (0,0)对称,h(x)可以看作由u(x)按向量(4,4)平移而得,故C对; 由C选项知,当x x 8时,h(x )h(x )8, 1 2 1 2 由等差数列性质a a 8,h(a )h(a )8,以此类推倒序相加,D正确。 1 11 1 11 三、填空题:13. 14.80 15.(0, 16.8 6 1 3 2 16.【解析】:正 −AB3C中,M 为 A C的中点,则3B]M  AC,而PA平面ABC,BM 平面 ABC,即BM PA,而PAAC A,PA,AC平面PAC,则BM 平面 PAC,PM 平面PAC,有BM PM ,又PA AB,因此,Rt△PBM 与 Rt PAB的斜边PB中点到点A,B,M,P的距离相等,即三棱锥PABM 外 接球球心为PB中点,从而,点O是三棱锥PABM 外接球球心,设球O的 半径为R,有R2 4a2,△PAM 的外接圆圆心为PM的中点,设为F ,连 接OF ,则OF 平面PAF,如图, 3 3 则有OF  a,即O到平面PAC的距离为 a,因此D到平面PAC距离 2 23 1 1  3  的最大值为 a2  4a2 ,又S  42a4a,即有 4a a2  4a2 4 3, 4 △PAC 2 3   4   4 解得a2 2,R2 4a2 6,R 6,所以球O的体积为 R3 8 6.故答案为:8 6 3 四、解答题: 17.解:(1) ∵ an =−2Sn−1Sn,∴ Sn−Sn−1 =−2Sn−1Sn 1 1 ∴Sn−1−Sn =2SnSn−1 ∴ − =2 数列 为等差数列,S且n S=n−1 …………3分 1 1 1 ∴又 Sn 时, Sn S1+2(n−1=)2=n-11(+n2n−2=2n−1 ∗ ∵ n=1 a1 =S1 =2×1−1=1 ∴ Sn ∈N ) = ………………5分 1, n= 1 −2 ∴an (2n−1)(2n−3), n≥ 2 (2) = b (2n1)2n n 1 Sn 2n−1∴ T 121322 (2n3)2n1(2n1)2n n 2T 122 323 (2n3)2n (2n1)2n1 n 23(12n1) 两式相减得T 223 24 2n1(2n1)2n1 2 (2n1)2n1 n 12 282n2 (2n1)2n1 6(2n3)2n1,T (2n3)2n16…………10分 n 18..解:(1)由题意,SO 3,OAOB  3,取OA的中点D,连接CD,BD。 1 1 3 则CD//SO,且CD  SO  3 , 2 2 2 SO 平面AOB,CD 平面AOB,CBD即为直线BC与平面AOB所成角 CD 6 15 sin  ,从而BC  6,由勾股定理得BD  BC 4 2 3 15 在BOD中,OB2 OD2 3   BD2,所以OB OA………3分 4 4 SO 平面AOB,SO OB, OB OA 由 OB 平面SOA,所以BO  SA…………6分 OB  SO (2)以O为原点,OB,OA,OS 分别为x,y,z轴建立空间直角坐标系   3 3   则B 3,0,0 ,T  0,0,1  ,C0, , ,A0,3,0 ,    2 2      3 1 得BT   3,0,1 ,AB  3, 3,0 ,TC 0, ,     2 2     设平面ABT 、CBT 的法向量分别为m x ,y ,z ,n x ,y ,z 。 1 1 1 2 2 2  mBT 0   3x z 0 z  3x   由  1 1  1 1,令x 1得m 1,1, 3 , 1  mAB 0   3x 1  3y 1 0 y 1  x 1  3x z 0  nBT 0  2 2  z  3x   由   2 2 ,令x 1得n 1,1, 3 。 3 1 2  nTC 0  y  z 0  z  3y  2 2 2 2 2 2 mn 3 所以cos m,n   ,…………10分 m n 5 4 则二面角ABT C的正弦值为 …………12分 5 1 19.解:(1)由正弦定理有2a2 b2 2c2,从而c2 a2  b2, 2 a2 b2 c2 b sinB 则cosC    , 2ab 4a 4sin A   所以4sin AcosC sinB sin AC sin AcosCcosAsinC, 即有3sin AcosC cosAsinC,tanC 3tan A………………6分 tan AtanC 4tan A   (2)由(1)tanC 3tan A,有tanB tan AC   , tan AtanC1 3tan2 A1 1 2 3 1 3tan2 A1 1 3(tan2 A1) 则       ,……10分 tan A tanB tanC tan A 2tan A tan A 2tan A 1 2 3 3 1  3 1 故    tan A  2 tan A 3, tan A tanB tanC 2 tan A 2 tan A 1  当且仅当tan A ,即tan A1,A 时取等。 tan A 4 1 2 3 所以   的最小值为3………………12分 tan A tanB tanC 20.解:(1) …………2分 = + (2)令 ,则 ,根据已知数据表得到如下表: = = + 1 4 9 16 25 36 49 = 1 2 3 4 5 6 7 0 4 7 9 11 12 13 , …………4分 1+2+3+4+5+6+7 = 7 =4 =8 …………6分 283−7×4×8 59 = 140−7×16 =28 , 3 = − =−7 故 关于 的经验回归方程 …………7分 59 3 y =28 −7 令 (cm)………………8分 289 (3 x ) = 这 100 天 ,y 中 = 幼14苗 ≈ 高 2 度 0. 大 64 于 的有 天,X服从超几何分布,其中N=7,M=4,n=4 7 ; y;=8 4 ; ; 4 18 12 1 所 P(X 以 = 随 1 机 ) 变 = 量35 的 P( 分 X 布 = 列 2) 为 = :35 P(X=3)= 35 P(X=4)= 35 X 1 2 3 4 ………………10分 4 18 12 1 35 35 35 35 随机变量X的期望值 ……………………12分 4 16 21.解:(1)因为双曲线 E(X C ) 与 = 已 4 知 ×7双 = 曲7线有相同的渐近线, 设双曲线C的标准方程为 2 2 代入点A坐标,解得 −4 = 所以双曲线C的标准方 =程4为 ………………4分 2 2 4 − =1 (2)(i)当直线EF 斜率存在时,设EF : y kxm 设 , , ,联立 与双曲线 2 2 化简 得 1 1 2 2 = + ………4…−5 分=1 2 2 2 4 −1 +8 +4 +1 =0 ,即 ,则有 8 , 2 2 2 2 2 1+ 2 =−4 2 −1 2 △= 8 −4 4 +4 4 −1 >0 4 − −1<0 4 +4 又 1 2 = 4 2 −1 因为 2 …………6分 2 1 2 = 1+ 2+ = 1 2+ 1+ 2 + ⋅ =( 1−2)( 2−2)+ 1 2 =0所以 , 2 2 所以 +1 ⋅ 1 2+ −2 ⋅ 1+ 2 + +4=,0 2 2 4 +4 −8 2 2 2 +1 ⋅ 4 −1 + −2 ⋅4 −1+ +4=0 化简,得 ,即 所以 , , 2 2 10 且均满足3 +16 +20 ,=0 (3 +10 )( +2 )=0 1 =−2 2 =− 3 当 2时,直2线 的方程为 ,直线过定点 , ,与已知矛盾 4 − −1<0 当 1 =−2 时,直线 的方程为 = −2 ,过定点 ,2 0…………9分 10 10 10 2 =− 3 = − 3 3 0 (ii)当直线EF斜率不存在时,由对称性不妨设直线DE:y  x2,与双曲线C方程联立解 10 得x  x  ,此时EF 也过点M , E F 3 10 3 0 综上,直线EF 过定点M , .……………10分 10 3 0 由于DG  EF ,所以点G 在以DM 为直径的圆上,H 为该圆圆心,|GH |为该圆半径, 8 2 所以存在定点H( ,0),使|GH |为定值 .…………12分 3 3 1 22.解:(1)当k 1时, f(x)ex lnx, f(x)ex  (x0)…………1分 x 1 1 1 由于 f( ) e 20, f(1)e10,故存在x ( ,1),使得 f(x )ex 0  0 2 0 2 0 x 0 由基本初等函数性质知,f(x)在(0,)递增,所以当0 x x 时,f(x)0,f(x)递 0 减;当x x 时, f(x)0, f(x)递增, 0 1 所以m[f(x)]  f(x )ex 0 lnx  x …………3分 min 0 0 x 0 0 1 1 x2 1 设函数g(x) x,x( ,1),g(x) 0, x 2 x2 1 1 5 5 故g(x)在( ,1)递减,g(x) g( ) ,所以m .…………6分 2 2 2 2 1 1 (2)方法一: f(x)kekx  k(ekx  )…………7分 kx k2x 1 当k  时,由基本初等函数性质知, f(x)在(0,)递增, e 1 1 1 1 f( )ke10, f( )kek1 (k1)k (k1)0 k k2 k 1 1 k11 1 所以存在x (0,)使得 f(x )k(ekx 1  )0,即:ekx 1  1 1 k2x k2x 1 1 kx 2lnklnx 0,klnx k2x 2klnk…………9分 1 1 1 1 当0 x x 时, f(x)0, f(x)递减;当x x 时, f(x)0, f(x)递增……10分 1 1 lnx 1 lnx 1 1 1 1 [f(x)]  f(x )ekx 1  1   1  ( klnx ) ( k2x 2klnk) min 1 k k2x k k2 x 1 k2 x 1 1 1 1 1 2  (2k2klnk) (1lnk) k2 k 1 因为k  ,故lnk 1,[f(x)] 0, f(x)0.…………12分 e min lnx 1 1 1 x 方法二:ekx  0 kekx lnx0,由于k  ,所以kekx lnx ee lnx, k e e 1 1 x 1 x 1 x 1 1 x e 故只需证 ee lnx0,即ee elnx0,设g(x)ee elnx,g(x) ee  , e e x g(x)在(0,)增,且g(e)0,故x(0,e)时g(x)0,g(x)减;x(e,)时 g(x)0,g(x)增,所以g(x)  g(e)0,g(x)0,原不等式成立. min 1 1 x 1 方法三:证明不等式kekx  ee  xlnx(如图). e e lnx lnx 方法四:ekx  0ekx  ,注意到y ekx与 k k lnx y  互为反函数,其图像关于 y  x对称,故只需证 k 1 lnx 当k  时,ekx  x . e k