当前位置:首页>文档>2024化学二模答案_2024年3月_013月合集_2024届江西省九江市高三下学期二模(九江二模)_2024届江西省九江市高三下学期二模(九江二模)化学

2024化学二模答案_2024年3月_013月合集_2024届江西省九江市高三下学期二模(九江二模)_2024届江西省九江市高三下学期二模(九江二模)化学

  • 2026-03-31 15:41:15 2026-02-13 03:30:43

文档预览

2024化学二模答案_2024年3月_013月合集_2024届江西省九江市高三下学期二模(九江二模)_2024届江西省九江市高三下学期二模(九江二模)化学
2024化学二模答案_2024年3月_013月合集_2024届江西省九江市高三下学期二模(九江二模)_2024届江西省九江市高三下学期二模(九江二模)化学
2024化学二模答案_2024年3月_013月合集_2024届江西省九江市高三下学期二模(九江二模)_2024届江西省九江市高三下学期二模(九江二模)化学
2024化学二模答案_2024年3月_013月合集_2024届江西省九江市高三下学期二模(九江二模)_2024届江西省九江市高三下学期二模(九江二模)化学

文档信息

文档格式
pdf
文档大小
0.181 MB
文档页数
2 页
上传时间
2026-02-13 03:30:43

文档内容

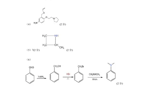
九江市2024 年第二次高考模拟统一考试 化 学 参考答案及评分标准 一、选择题:本题共14小题,每小题3分,共42分。在每小题给出的四个选项中,只有 一项是符合题目要求的。 题号 1 2 3 4 5 6 7 答案 B D C D A A B 题号 8 9 10 11 12 13 14 答案 C A C D C B A 二、非选择题:本题共4小题,共58分。 15.(1)第六周期第ⅢB族(2分) (2) 加快反应速率(2分) (3)BaSO SiO (2分,漏一个或错一个均扣1分) 4 2 (4)小于(2分) 2CH N S +2CeF2+=2F-+ 2HF +C H N S +2Ce3+(2分)(写成结构式也给分) 4 2 2 2 6 4 2 (5)2Ce3+ +6HCO-=Ce (CO ) ↓+3CO ↑ +3H O (2分) 6(2分) 3 2 3 3 2 2 16.(1)分液漏斗(1分) A(1分) (2)氨水挥发和分解;双氧水分解 (2分,少一个扣1分) 活性炭 (炭或碳不给分)(2分) (3)重结晶 (2分)降低[Co(NH ) ]Cl 溶解度,便于[Co(NH ) ]Cl 析出(2分) 3 6 3 3 6 3 (4)A(2分) (5)adhc(2分) 17.(1)sp2(1分)(2)-31.4kJ·mol-1 (2分,没有单位扣1分) (3) ①BiIn (2分) ②大于(2分) K(T )=0.8α<K(T ),该反应ΔH<0,温度越高,K越小(2分) 2 1 ③ CO 的转化率(2分) 2 升高温度,反应Ⅰ逆向移动程度大于反应Ⅱ正向移动程度 (2分) (2分) 様თ⒘Է﯈ 高考二模 化学 参考答案及评分标准 第 1 页 (共2页) 様თ⒘﯈ {#{QQABCQoAgggIAIJAARgCUQFACkIQkAEAAIoOQEAIMAAAyQFABAA=}#}18.(1)硝基、醛基;(2分) 3-溴丙烯(3-溴-1-丙烯)(2分) (2) (2分) (3)还原反应 (1分) (4) (2分) (5)7(2分) (2分) (6) (2分) 高考二模 化学 参考答案及评分标准 第 2 页 (共2页) {#{QQABCQoAgggIAIJAARgCUQFACkIQkAEAAIoOQEAIMAAAyQFABAA=}#}