当前位置:首页>文档>甘谷六中2024届高三数学第二次检测考试参考答案(1)_2023年10月_0210月合集_2024届甘肃省天水市甘谷县第二中学高三上学期第二次检测考试(10月)

甘谷六中2024届高三数学第二次检测考试参考答案(1)_2023年10月_0210月合集_2024届甘肃省天水市甘谷县第二中学高三上学期第二次检测考试(10月)

  • 2026-04-09 20:56:46 2026-02-13 10:02:22

文档预览

甘谷六中2024届高三数学第二次检测考试参考答案(1)_2023年10月_0210月合集_2024届甘肃省天水市甘谷县第二中学高三上学期第二次检测考试(10月)
甘谷六中2024届高三数学第二次检测考试参考答案(1)_2023年10月_0210月合集_2024届甘肃省天水市甘谷县第二中学高三上学期第二次检测考试(10月)
甘谷六中2024届高三数学第二次检测考试参考答案(1)_2023年10月_0210月合集_2024届甘肃省天水市甘谷县第二中学高三上学期第二次检测考试(10月)
甘谷六中2024届高三数学第二次检测考试参考答案(1)_2023年10月_0210月合集_2024届甘肃省天水市甘谷县第二中学高三上学期第二次检测考试(10月)
甘谷六中2024届高三数学第二次检测考试参考答案(1)_2023年10月_0210月合集_2024届甘肃省天水市甘谷县第二中学高三上学期第二次检测考试(10月)
甘谷六中2024届高三数学第二次检测考试参考答案(1)_2023年10月_0210月合集_2024届甘肃省天水市甘谷县第二中学高三上学期第二次检测考试(10月)
甘谷六中2024届高三数学第二次检测考试参考答案(1)_2023年10月_0210月合集_2024届甘肃省天水市甘谷县第二中学高三上学期第二次检测考试(10月)
甘谷六中2024届高三数学第二次检测考试参考答案(1)_2023年10月_0210月合集_2024届甘肃省天水市甘谷县第二中学高三上学期第二次检测考试(10月)
甘谷六中2024届高三数学第二次检测考试参考答案(1)_2023年10月_0210月合集_2024届甘肃省天水市甘谷县第二中学高三上学期第二次检测考试(10月)

文档信息

文档格式
docx
文档大小
0.244 MB
文档页数
5 页
上传时间
2026-02-13 10:02:22

文档内容

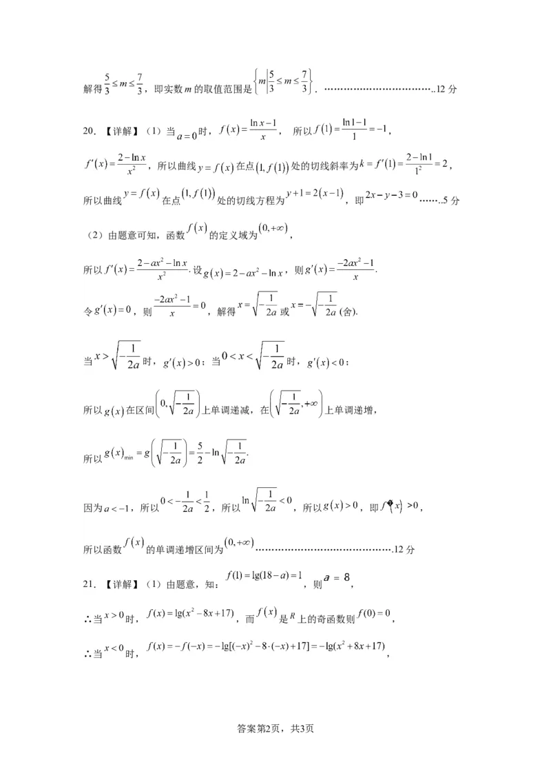
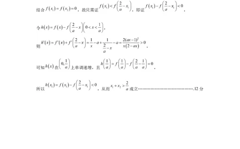
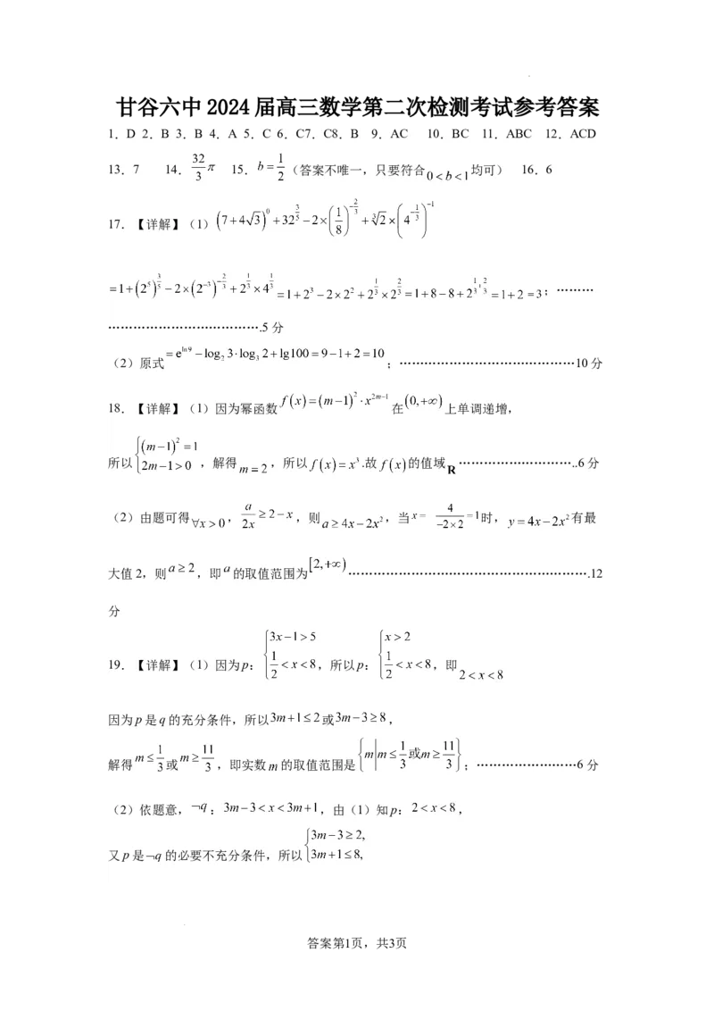
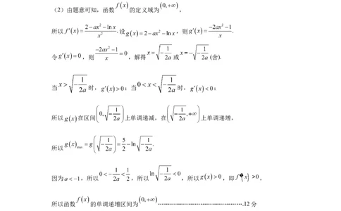
甘谷六中 2024 届高三数学第二次检测考试参考答案 1.D 2.B 3.B 4.A 5.C 6.C7.C8.B 9.AC 10.BC 11.ABC 12.ACD 13.7 14. 15. (答案不唯一,只要符合 均可) 16.6 17.【详解】(1) ;……… ……………………………….5分 (2)原式 ;……………………………………10分 18.【详解】(1)因为幂函数 在 上单调递增, 所以 ,解得 ,所以 .故 的值域 ………………………..6分 (2)由题可得 , ,则 ,当 时, 有最 大值2,则 ,即 的取值范围为 ………………………………………………….12 分 19.【详解】(1)因为p: ,所以p: ,即 因为p是q的充分条件,所以 或 , 解得 或 ,即实数 的取值范围是 ;……………………6分 (2)依题意, : ,由(1)知p: , 又p是 的必要不充分条件,所以 答案第1页,共3页 学科网(北京)股份有限公司解得 ,即实数m的取值范围是 .……………………………..12分 20.【详解】(1)当 时, , 所以 , ,所以曲线 在点 处的切线斜率为 , 所以曲线 在点 处的切线方程为 ,即 ……..5分 (2)由题意可知,函数 的定义域为 , 所以 设 ,则 令 ,则 ,解得 或 (舍). 当 时, ;当 时, ; 所以 在区间 上单调递减,在 上单调递增, 所以 因为 ,所以 ,所以 ,所以 ,即 , 所以函数 的单调递增区间为 …………………………………….12分 21.【详解】(1)由题意,知: ,则 , ∴当 时, ,而 是 上的奇函数则 , ∴当 时, , 答案第2页,共3页综上,有 ……………………………………………..5分 (2)由 可化为 ,而 有 时 为增函数,∵ 在 上的奇函数, ∴ 且 时 也是增函数,又 , ∴题设不等式恒成立,即为 ,有 恒成立, 令 ,则 当且仅当 时等号成立, 故 .∴ 的取值范围 ………………………………………….12分 22.【详解】(1)由题意可知: 的定义域为 ,且 , 当 时, ,所以 在 上单调递增, 当 时,令 ,解得 ;令 ,解得 ; 所以 在 上单调递增,在 上单调递减; 综上所述:当 时,则 在 上单调递增, 当 时,则 在 上单调递增,在 上单调递减………………….5分 (2)由(1)可知:当 时, 在 上单调递增,可知 至多1个零点,不 合题意, 所以 ,且 在 上单调递增,在 上单调递减, 答案第3页,共3页 学科网(北京)股份有限公司可知:当 趋近于0时, 趋近于 ;当 趋近于 时, 趋近于 ; 可得 ,解得 , 且 ,要证 ,只需证 ,注意到 , 又因为 在 上单调递减,故只需证 , 结合 ,故只需证 ,即证 , 令 , 则 , 可知 在 上单调递增,且 , 所以 ,从而 成立………………………………….12分 答案第4页,共3页答案第5页,共3页 学科网(北京)股份有限公司