当前位置:首页>文档>精品解析:山东省济南市2024届高三上学期开学摸底考历史试题(原卷版)_2023年9月_01每日更新_14号_2024届山东省济南市高三上学期开学摸底考

精品解析:山东省济南市2024届高三上学期开学摸底考历史试题(原卷版)_2023年9月_01每日更新_14号_2024届山东省济南市高三上学期开学摸底考

  • 2026-03-20 18:01:28 2026-02-13 11:53:04

文档预览

精品解析:山东省济南市2024届高三上学期开学摸底考历史试题(原卷版)_2023年9月_01每日更新_14号_2024届山东省济南市高三上学期开学摸底考
精品解析:山东省济南市2024届高三上学期开学摸底考历史试题(原卷版)_2023年9月_01每日更新_14号_2024届山东省济南市高三上学期开学摸底考
精品解析:山东省济南市2024届高三上学期开学摸底考历史试题(原卷版)_2023年9月_01每日更新_14号_2024届山东省济南市高三上学期开学摸底考
精品解析:山东省济南市2024届高三上学期开学摸底考历史试题(原卷版)_2023年9月_01每日更新_14号_2024届山东省济南市高三上学期开学摸底考
精品解析:山东省济南市2024届高三上学期开学摸底考历史试题(原卷版)_2023年9月_01每日更新_14号_2024届山东省济南市高三上学期开学摸底考
精品解析:山东省济南市2024届高三上学期开学摸底考历史试题(原卷版)_2023年9月_01每日更新_14号_2024届山东省济南市高三上学期开学摸底考
精品解析:山东省济南市2024届高三上学期开学摸底考历史试题(原卷版)_2023年9月_01每日更新_14号_2024届山东省济南市高三上学期开学摸底考
精品解析:山东省济南市2024届高三上学期开学摸底考历史试题(原卷版)_2023年9月_01每日更新_14号_2024届山东省济南市高三上学期开学摸底考
精品解析:山东省济南市2024届高三上学期开学摸底考历史试题(原卷版)_2023年9月_01每日更新_14号_2024届山东省济南市高三上学期开学摸底考
精品解析:山东省济南市2024届高三上学期开学摸底考历史试题(原卷版)_2023年9月_01每日更新_14号_2024届山东省济南市高三上学期开学摸底考
精品解析:山东省济南市2024届高三上学期开学摸底考历史试题(原卷版)_2023年9月_01每日更新_14号_2024届山东省济南市高三上学期开学摸底考

文档信息

文档格式
docx
文档大小
0.510 MB
文档页数
7 页
上传时间
2026-02-13 11:53:04

文档内容

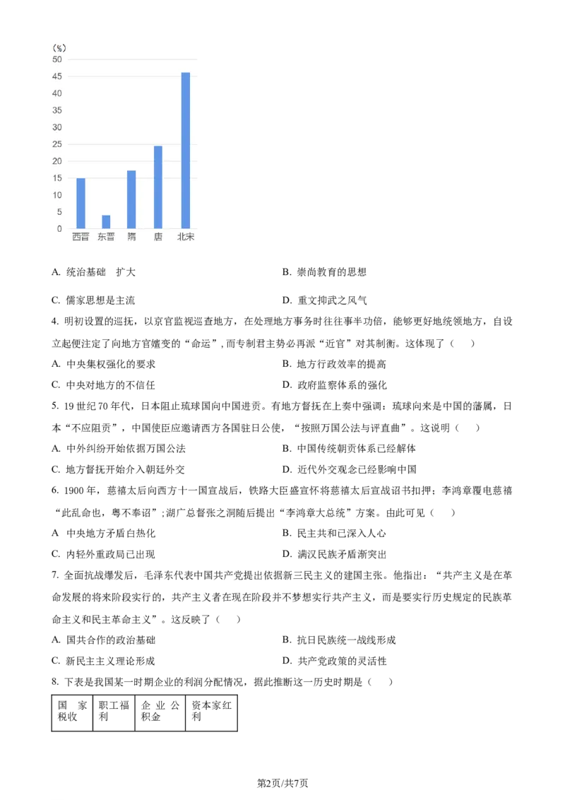
2023— 2024 学年高中三年级摸底考试历史试题 注意事项: 1.答卷前,先将自己的考生号等信息填写在试卷和答题纸上,并在答题纸规定位置贴条形码。 2.本试卷满分100分,分为第I 卷(选择题)和第Ⅱ卷(非选择题)两部分,第I 卷为第1页至 第4页,第Ⅱ卷为第5页至第8页。 3.选择题的作答:每小题选出答案后,用2B 铅笔把答题卡上对应题目的答案标号涂黑。如需 改动,用橡皮擦干净后,再选涂其他答案标号。 4.非选择题的作答:用0.5mm黑色签字笔直接答在答题卡上对应的答题区域内。写在试卷、 草稿纸和答题卡上的非答题区域均无效。 一、选择题:本大题共15小题,每小题3分,共45分。在每小题给出的四个选项中,只有 一项是符合题目要求的。 1. 《孔氏家语》记载:孔子任鲁国大司寇时提出“隳三都”的政治主张:“家不藏甲,邑无百雉之城,古 之制也。今三家,过制,请皆损之。乃使季氏宰仲由隳三都。”孔子“隳三都”旨在( ) A. 贯彻家国一体的政治理念 B. 遵守天下共主的分封制度 C. 维护等级森严的礼乐秩序 D. 缔造四方臣服的专制主义 2. 下面两图为中国古代重要工程建设。它们的修筑( ) A. 抵御了外族侵扰 B. 有利于小农经济 C. 促进了南北交流 D. 加强了皇权专制 3. 下图呈现的是西晋至北宋出身寒门子弟入朝为官的比例。这反映了( ) 第1页/共7页 学科网(北京)股份有限公司的 A. 统治基础 扩大 B. 崇尚教育的思想 C. 儒家思想是主流 D. 重文抑武之风气 4. 明初设置的巡抚,以京官监视巡查地方,在处理地方事务时往往事半功倍,能够更好地统领地方,自设 立起便注定了向地方官嬗变的“命运”,而专制君主势必再派“近官”对其制衡。这体现了( ) A. 中央集权强化的要求 B. 地方行政效率的提高 C. 中央对地方的不信任 D. 政府监察体系的强化 5. 19世纪70年代,日本阻止琉球国向中国进贡。有地方督抚在上奏中强调:琉球向来是中国的藩属,日 本“不应阻贡”,中国使臣应邀请西方各国驻日公使,“按照万国公法与评直曲”。这说明( ) A. 中外纠纷开始依据万国公法 B. 中国传统朝贡体系已经解体 C. 地方督抚开始介入朝廷外交 D. 近代外交观念已经影响中国 6. 1900年,慈禧太后向西方十一国宣战后,铁路大臣盛宣怀将慈禧太后宣战诏书扣押;李鸿章覆电慈禧 “此乱命也,粤不奉诏”;湖广总督张之洞随后提出“李鸿章大总统”方案。由此可见( ) . A 中央地方矛盾白热化 B. 民主共和已深入人心 C. 内轻外重政局已出现 D. 满汉民族矛盾渐突出 7. 全面抗战爆发后,毛泽东代表中国共产党提出依据新三民主义的建国主张。他指出:“共产主义是在革 命发展的将来阶段实行的,共产主义者在现在阶段并不梦想实行共产主义,而是要实行历史规定的民族革 命主义和民主革命主义”。这反映了( ) A. 国共合作的政治基础 B. 抗日民族统一战线形成 C. 新民主主义理论形成 D. 共产党政策的灵活性 8. 下表是我国某一时期企业的利润分配情况,据此推断这一历史时期是( ) 国 家 职工福 企 业 公 资本家红 税收 利 积金 利 第2页/共7页 学科网(北京)股份有限公司34.5% 15% 30% 20.5% A. 公私合营的合作方式 B. 国家至上的经营理念 C. 计划经济的管理体制 D. 关注民生的企业文化 9. 新中国工资制度自1956年改革以后,在近30年中基本没有大的变动。1978年9月,中共中央发出通知, 要求各地区、各部门组织力量调查研究,提出工资改革意见……随后,中央决定于1985年进行工资改革, 其原则:企业职工的工资和奖金要同企业的经济效益高低、个人贡献大小挂钩,职工工资总额同企业经济 效益按比例浮动等等。据此可知( ) A. 现代企业制度已经建立 B. 社会主义市场经济体制确立 C. 国企改革注重价值规律 D. 改革开放后工作重心转移 10. 下图展示的是公元前4000年到公元5世纪的亚欧非文明的发展。这说明( ) A. 古代文明呈现多元特征 B. 地理环境决定文明类别 C. 世界市场已经初具雏形 D. 多种途径促进区域交流 11. 15世纪末,一些来自人们刚刚知道的地方的“奇物”出现在欧洲,刺激了学者们的研究欲望和收藏家 们的好奇心。17世纪,一些思想家和科学家纷纷倡议建立博物馆。18世纪40年代起,英、法等国相继建 立起自然史博物馆,当时的博物馆追求珍奇物品和标本的齐全,陈列繁杂。博物馆的建立( ) A. 源于近代自然科学的产生 B. 推动了启蒙运动不断深入 的 C. 反映了科学革命迅猛发展 D. 折射出西欧国家 殖民扩张 12. 玻利瓦尔在1819年委内瑞拉国会上的发言中说:“我们要牢记我们的人民既不是欧洲人,也不是北美 人,不是出自欧洲,而是更接近非洲和美洲的混合……无法肯定我们到底属于人类哪一个家庭。……委内 瑞拉一直是、仍然是、也必须永远是共和国。……可以这么说,为了将各个阶层、各种政治观点和各种公 共习俗重塑为一个整体,我们需要平等。”他力图( ) 第3页/共7页 学科网(北京)股份有限公司的 A. 实现美洲各国 独立 B. 实现美洲国家的联合 C. 传播欧洲的启蒙思想 D. 强调拉美的民族认同 13. “茶”的两大发音系统在亚、非、欧三大洲分布示意图,这种分布差异形成的主要原因是( ) 的 A. 茶叶贸易路线 不同 B. 地区方言发音的差异 C. 海陆丝绸之路的推动 D. 欧洲殖民扩张的影响 14. 1651年英国颁布了《航海条例》,对进出英国及其殖民地的货物的运输进行管控,这是近代英国议会通 过的第一个保护航海贸易垄断的法案;但在 1849年,英国议会却宣布废除了《航海条例》。这反映了( ) A. 代议制民主的发展完善 B. 英国国际地位的变化 C. 殖民地独立斗争的高涨 D. 英国海洋霸权的衰落 15. 自20世纪80年代末期起,美国政府武力入侵拉美的同时,更侧重于用“民主化”与“和平演变”的手 段干预拉美地区事务。1999年,美国政府推出“新干涉主义”,竭力推行美国的价值观和社会制度,充当 “世界法官”。这反映了美国( ) A. 战略重心从拉美转向世界 B. 冷战策略做出战略调整 C. 构筑利己的国际关系秩序 D. 制造统治拉美的合法性 二、非选择题(本大题包括4小题,共55分) 16. 主题探究是历史学习的一个重要方法。小明在历史学习中了解到“中国古代经济重心至宋元时期完成 南移”是史学界普遍认同的结论,为探究该主题,小明首先找到了以下材料。阅读材料,回答问题。 材料一 关中之地,于天下之三分之一,而人众不过什三。然量其富,什居其六。 ……楚越之地,地 广人稀。 ——(西汉)司马迁《史记·货殖列传》 材料二 西汉至北宋南方人口的变迁: 南方 北方 第4页/共7页 学科网(北京)股份有限公司朝 占全国户口数比例 人 口 占全国户口数比例 人口(户) 代 (%) (户) (%) 西 2470685 19.8 9985785 80.2 汉 唐 3920415 43.2 5148529 56.8 朝 北 11224760 62.9 6624296 37.1 宋 材料三 本朝文物之盛,自国初至昭陵(宋仁宗)时,并从江南来,庆历间人才彬彬,号称众多 …… 皆出于大江之南。 ——宋人笔记《曲洧旧闻》 材料四 天下岁入粮数,南方6890307石,北方5224393石。江浙行省、江西行省占全国比重尤高, 各约占37%和10%。 ——整理自(明)宋濂等《元史·食货志》 (1)谈谈材料一对于该主题研究的意义。 (2)相较于材料一,材料二至四提供了哪些探究该主题的新视角?并简要说明它们为什么可以做为该主题 研究的史料。 (3)你认为该主题研究应遵循哪些基本原则? 17. 致远舰是北洋海军主力巡洋舰,1894年9月在甲午海战中沉没。战争结束后清廷颁布上谕,大力褒扬 致远舰管带邓世昌,赐谥“壮节”,从优议恤。有挽联云“此日漫挥天下泪,有公足壮海军威”。阅读材 料,回答问题。 材料一 致远药弹尽,适与倭船吉野值。管带邓世昌……谓倭规专恃吉野,苟沉是船,则我军可以集 事(成事),遂鼓快车,向吉野冲突。吉野即驶避,而致远中其鱼雷,机器锅炉迸裂,船遂左倾,顷刻沉没, 世昌死之,船众尽殉。 ——姚锡光《东方兵事纪略》(1897年)(此书多参考当时的公文、电报、私人信函等) 材料二 (致远舰)被1枚重炮弹……命中了水线。总之不管怎样,它开始严重倾斜,显然是受到了重 创。该舰的管带……下定决心与敌人同归于尽,于是向一艘敌人最大的军舰冲锋, 准备实行撞击。一阵重 炮和机关炮弹的弹幕扫过他的军舰,倾斜更加严重了,就在即将撞上敌舰之际,他的船倾覆了。军舰从舰 首开始下沉……所有舰员与舰同沉。 ——镇远舰美籍雇员马吉芬的回忆(《世纪杂志》,1895年) 材料三 致远舰水下考古……由国家文物局水下文化遗产保护中心与辽宁省文物考古研究所通力合作, 汇集全国水下考古专业人员,在丹东市政府的支持下,联合海洋勘测、潜水打捞等行业的技术力量,于 2016年秋圆满完成致远舰考古调查任务。此次调查,也对致远舰的破损情况有了较准确的掌握,整体保存 第5页/共7页 学科网(北京)股份有限公司一般,钢板、锅炉零件因爆炸而抛离原来位置,火烧情况严重。考古发现外壳板保存完好……近艏部处发 现保存完好的鱼雷引信、一些完好的弹药,均说明并未发生被鱼雷直接击沉或鱼雷舱中炮发生殉爆。致远 舰……处于北洋舰队左翼最外围的位置,也是最容易成为日军集火攻击的对象……中炮进水后……一直坚 持在战场上(考古揭示出大面积的火烧痕迹)。 ——《致远舰水下考古调查报告》(2023年) (1)分析指出材料一、二的史料价值。 (2)结合材料三,说明你所能确认的历史史实。 18. 阅读材料,回答问题。 材料 1979-1988年中国公立医院改革进程(摘要) 时间 名称 备注 中华人民共和国建立后第一份明确 《关于加强医院经济管理 提出医院经济的文件。该《意见》 1979 管理试点工作的意见》 提出,医院试点方案与国企改革 年 “放权让利”有一定相似性。 建议实行价格改革,对公费医疗和 劳保医疗按不包括工资的成本收 《关于解决医院赔本问题 费,增加的开支由地方财政和企业 的报告》 单位负担;对城镇居民和农民的收 费标准可以保持不变。 1981 年 《医院经济管理暂行办法 进一步扩大医院财务管理自主权, (修改稿)》 调动医院职工积极性。 卫生部从官方层面认可了承包制的 《关于贯彻财政部关于控 做法,将“打破大锅饭”的改革意 1984 制行政事业经费和企业管 向写入了正式文件,特别指出“奖 年 理费开支的通知的意见》 金发放要克服平均主义”。 在坚持全民所有制基础上参照两权 《关于部属医院试行承包 分离原则,以承包合同的形式确定 1988 责任制的意见(试行)》 国家、医院的责权利关系。 年 —— 摘编自昝馨《历史的往复:1978~1992年的中国公立医院改革》 (1)中国公立医院的改革进程体现了怎样的特点? (2)作为历史的观察者,你认为中国公立医院改革的出路在哪里? 19. 阅读材料,回答问题 主要资本主义国家(英、美、法、德)国民生产总值年均增长率(%) 1870- 1913- 1950— 1960- 1913 1950 1960 1970 ① 1.6 0.7 5.0 5.8 第6页/共7页 学科网(北京)股份有限公司② 2.2 1.7 2.8 2.7 ③ 4.3 2.9 3.2 4.0 ④ 2.9 1.3 7.7 4.8 ——摘 编自J.M.阿尔贝蒂尼《国家报告》 从①②③④中任选两个,根据材料信息并结合所学知识,分析说明其所对应的国家。 第7页/共7页 学科网(北京)股份有限公司