当前位置:首页>文档>黄金卷02(理科)(参考答案)-赢在高考·黄金8卷备战2024年高考数学模拟卷(全国卷专用)_2024高考押题卷_92024赢在高考全系列

黄金卷02(理科)(参考答案)-赢在高考·黄金8卷备战2024年高考数学模拟卷(全国卷专用)_2024高考押题卷_92024赢在高考全系列

  • 2026-03-25 00:19:57 2026-02-14 02:28:39

文档预览

黄金卷02(理科)(参考答案)-赢在高考·黄金8卷备战2024年高考数学模拟卷(全国卷专用)_2024高考押题卷_92024赢在高考全系列
黄金卷02(理科)(参考答案)-赢在高考·黄金8卷备战2024年高考数学模拟卷(全国卷专用)_2024高考押题卷_92024赢在高考全系列
黄金卷02(理科)(参考答案)-赢在高考·黄金8卷备战2024年高考数学模拟卷(全国卷专用)_2024高考押题卷_92024赢在高考全系列
黄金卷02(理科)(参考答案)-赢在高考·黄金8卷备战2024年高考数学模拟卷(全国卷专用)_2024高考押题卷_92024赢在高考全系列
黄金卷02(理科)(参考答案)-赢在高考·黄金8卷备战2024年高考数学模拟卷(全国卷专用)_2024高考押题卷_92024赢在高考全系列
黄金卷02(理科)(参考答案)-赢在高考·黄金8卷备战2024年高考数学模拟卷(全国卷专用)_2024高考押题卷_92024赢在高考全系列
黄金卷02(理科)(参考答案)-赢在高考·黄金8卷备战2024年高考数学模拟卷(全国卷专用)_2024高考押题卷_92024赢在高考全系列
黄金卷02(理科)(参考答案)-赢在高考·黄金8卷备战2024年高考数学模拟卷(全国卷专用)_2024高考押题卷_92024赢在高考全系列
黄金卷02(理科)(参考答案)-赢在高考·黄金8卷备战2024年高考数学模拟卷(全国卷专用)_2024高考押题卷_92024赢在高考全系列
黄金卷02(理科)(参考答案)-赢在高考·黄金8卷备战2024年高考数学模拟卷(全国卷专用)_2024高考押题卷_92024赢在高考全系列
黄金卷02(理科)(参考答案)-赢在高考·黄金8卷备战2024年高考数学模拟卷(全国卷专用)_2024高考押题卷_92024赢在高考全系列
黄金卷02(理科)(参考答案)-赢在高考·黄金8卷备战2024年高考数学模拟卷(全国卷专用)_2024高考押题卷_92024赢在高考全系列
黄金卷02(理科)(参考答案)-赢在高考·黄金8卷备战2024年高考数学模拟卷(全国卷专用)_2024高考押题卷_92024赢在高考全系列
黄金卷02(理科)(参考答案)-赢在高考·黄金8卷备战2024年高考数学模拟卷(全国卷专用)_2024高考押题卷_92024赢在高考全系列

文档信息

文档格式
docx
文档大小
0.443 MB
文档页数
10 页
上传时间
2026-02-14 02:28:39

文档内容

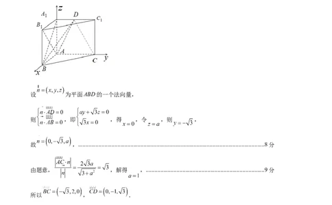
【赢在高考·黄金8卷】备战2024年高考数学模拟卷(全国卷专用) 黄金卷02 (考试时间:120分钟 试卷满分:150分) 第 I 卷(选择题) 一、选择题:本大题共12小题,每小题5分,共60分.在每小题给出的四个选项中,只有一项是符合题 目要求的. 1 2 3 4 5 6 7 8 9 10 11 12 B C D A C D B C D B C C 第 II 卷(非选择题) 二、填空题:本大题共4小题,每小题5分,共20分 13.7 14. 15. 16. 三、解答题:本大题共70分.解答应写出文字说明、证明过程或演算步骤.第17~21题为必考题,每个试 题考生都必须作答.第22、23题为选考题,考生根据要求作答. (一)必考题:共60分. 17. 【答案】(1) (2)随机变量 的分布列见解析;期望为 【详解】(1)记“至少有一人进入面试”为事件 ,由已知得: ,...........................1分 所以 ,..............................................................3分 则 ,.......................................................................................4分 即这 人中至少有一人进入面试的概率为 .............................................................................5分 (2) 的可能取值为 ,.............................................................................................................6分 ,, , ,......................................................................................................................9分 则随机变量 的分布列为: .................................................................................................................................................................11分 , ...........................................................................................12分 18.【答案】(1) (2) 【详解】(1)由余弦定理可得: ,则 , ,则 ,.............................................................................1分 所以 ,................................................3分 ∵ ,∴ ,.......................................4分 ∵ ,∴ ......................................................................................................................5分 ∵ ,∴ ..........................................................................................................................6分 (2) ....................................................8分..............................................................................................................................10分 ∵ ,∴ ,∴ ∴ ,∴ ..............................................................................................12分 19.【答案】(1)证明见解析 (2) . 【详解】(1) 连接 , 因为四边形 为正方形,所以 ..............................................................................1分 在直三棱柱 中,平面 平面 , 由 得 ,又平面 平面 ,所以 平面 ,....2分 又 平面 ,所以 ,.........................................................................................3分 又 , 平面 , 平面 ,所以 平面 ,................4分 又 平面 ,所以 .......................................................................................................................................5分 (2)以 为原点, , , 所在直线分别为 , , 轴建立如图所示的空间直角坐标系, .................................................................................................................................................................6分 设 ,则 , , , , , , . 设 为平面ABD的一个法向量, 则 ,即 ,得 ,令 ,则 , 故 ,................................................................................................................................8分 由题意, ,解得 ,.................................................................................9分 所以 , . 设 为平面BCD的一个法向量, 则 ,即 , 令 ,则 , ,即 ,.................................................................................10分 平面ABC的一个法向量为 ,设平面 和平面 的夹角为 , 则 ,....................................................................................11分 所以 , 所以平面 和平面 的夹角的正弦值为 ......................................................................12分 20.【答案】(1) (2) ,理由见解析 【详解】(1)设椭圆 的方程为 ,则 由椭圆的定义及 的周长为6,知 ①,....................................................................1分 由于 为椭圆 上异于左、右顶点的任意一点,得 到 轴距离最大为 , 因为 的面积的最大值为 , 所以 ②,..............................................................................................................2分 又 ③,.................................................................................................................................3分 联立①②③,得 , 所以椭圆 的方程为 .........................................................................................................4分 (2) 为定值 ,理由如下:.................................................................................................5分 根据已知条件作出图形如图所示,设 ,则 , 因为 在椭圆内部,则直线 与椭圆一定有两交点, 联立 消去 得: ,.................................................................7分 ,......................................................................................................8分 又 ,且 , 所以 ,同理 ....................................................................................................10分 所以 . 所以 为定值 ...........................................................................................................................12分 21.【答案】(1) ; (2) . 【详解】(1)由题设 ,则,.........................................1分 若 ,则 , ,可得 , 递增; 若 ,则 , ,可得 , 递减;.........................................3分 又 , 综上, ,值域为 .....................................................................................4分 (2)由 , ,则 ,.............................................5分 令 , ,则 ,且 , 当 , ,(舍);..........................................6分 当 ,则 ,故 , 令 ,则 , 又 ,对于 ,有 ,即 递增, 所以 ,故 恒成立,......................................................................8分 所以 ,即 在 上递增,又 ,则 , 所以 在 上递增,又 ,即 , ,符合题意;当 ,令 ,则 , ,........................10分 所以 (舍);.11分 综上,正整数a的取值集合 ..........................................................................................................12分 【点睛】关键点点睛:第二问,问题化为 在 上恒成立,再分类讨 论参数并结合导数研究函数值的符号,再 时令 ,构造出 为关键. (二)选考题:共10分.请考生在22、23题中任选一题作答,如果多做,则按所做的第一题计分. 选修4-4:坐标系与参数方程 22.【答案】(1)曲线 的普通方程为 ;曲线 的直角坐标方程为 (2) 【详解】(1)已知曲线 ( 为参数), 则 ,由 消参得 , 则曲线 的普通方程为 ..................................................................................................2分 由曲线 的极坐标方程为 , 变形得 ,............................................................................................3分 即 ,且满足 ,由互化公式 ,得 ,即 . 故曲线 的直角坐标方程为 ........................................................................................5分 (2)由于 在直线l上, 可设直线l的参数方程的标准形式为 (t为参数), 代入曲线 , 化简得 , ,............................................................................................7分 设A,B对应的参数分别为 , , 则 , ,................................................................................................................8分 由于 ,故 , 所以 . 故 的值为 .....................................................................................................................10分 选修4-5:不等式选讲 23.【答案】(1) (2)证明见解析 【详解】(1) ................................................................1分∴ 或 或 ,..................................................................3分 解得 或 或 , ∴不等式的解集为 ;...........................................................................................5分 (2)证明:由 ,可得 的最小值为 ,...........................................6分 则 , , ∴ ,当且仅当 时,等号成立,.............................................9分 ∴ ..................................................................................................................10分