当前位置:首页>文档>2024高三下学期开学测试数学答案_2024年3月_013月合集_2024届江苏省扬州中学高三下学期阶段练习_江苏省扬州中学2024届高三下学期阶段练习数学

2024高三下学期开学测试数学答案_2024年3月_013月合集_2024届江苏省扬州中学高三下学期阶段练习_江苏省扬州中学2024届高三下学期阶段练习数学

  • 2026-03-31 22:17:01 2026-02-14 09:00:17

文档预览

2024高三下学期开学测试数学答案_2024年3月_013月合集_2024届江苏省扬州中学高三下学期阶段练习_江苏省扬州中学2024届高三下学期阶段练习数学
2024高三下学期开学测试数学答案_2024年3月_013月合集_2024届江苏省扬州中学高三下学期阶段练习_江苏省扬州中学2024届高三下学期阶段练习数学
2024高三下学期开学测试数学答案_2024年3月_013月合集_2024届江苏省扬州中学高三下学期阶段练习_江苏省扬州中学2024届高三下学期阶段练习数学
2024高三下学期开学测试数学答案_2024年3月_013月合集_2024届江苏省扬州中学高三下学期阶段练习_江苏省扬州中学2024届高三下学期阶段练习数学
2024高三下学期开学测试数学答案_2024年3月_013月合集_2024届江苏省扬州中学高三下学期阶段练习_江苏省扬州中学2024届高三下学期阶段练习数学

文档信息

文档格式
docx
文档大小
0.483 MB
文档页数
5 页
上传时间
2026-02-14 09:00:17

文档内容

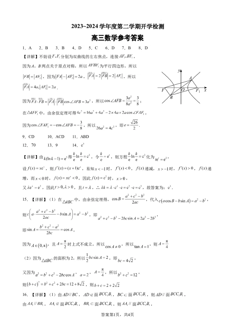
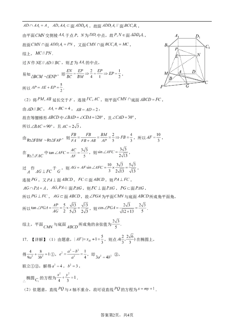
2023~2024学年度第二学期开学检测 高三数学参考答案 1.A 2.B 3.B 4.D 5.C 6.D 7.B 8.D 【详解】不妨设 分别为双曲线的左右焦点,连接 , 因为A,B两点关于原点对称,所以 为平行四边形,所以 ,因为 , ,所以 . 因为 ,所以 ; 在 中,由余弦定理可得 , 因为 ,所以 ,即 . 9.CD 10.ACD 11.ABD 12. 13.9 14. 【详解】由 得 ,令 ,则方程 化为 , 设 ,则 ,易知 时, , 递减, 时, , 递 增,而 时, ,因此 时, , 又 ,因此 ,且 ,∴ ,故答案为: . 15.【详解】(1)在 中,由余弦定理得, ,代入 , 则 ,即 , 即 , 因为 ,且 时上式不成立,所以 ,所以 ,则 (2)因为 的面积为2,所以 ,即 , 又因为 , , ,所以 , 则 ,则 16.【详解】(1)由 , 面 , 面 ,则 面 , 由 , 面 , 面 ,则 面 , 答案第1页,共4页 学科网(北京)股份有限公司, 面 ,故面 面 , 由平面 交侧棱 于点P,N为 中点,故 面 , 故面 面 ,又面 面 , 综上, . 过 作 ,则 为 的中点, 易知 ,即 , 所以 . (2)将 延长交于 ,连接 ,则平面 底面 , 由 , , , 故在等腰梯形 中 ,且 , 所以 ,且 , 由 ,则 ,所以 , 在 中 ,则 , 过 作 于 ,则 , 连接 ,又 面 , 面 ,则 , , 面 ,则 面 , 面 , 所以 , 面 ,故 为平面 与底面 所成角平面角, 所以 ,则 . 综上,平面 与底面 所成角的余弦值为 . 17.【详解】(1)由题意, ,则点 在椭圆上, 得 ①, ,即 ②, 联立①②,解得 , , 椭圆 的方程为 . (2)依题意,直线 与 轴不重合,故可设直线 的方程为 . 答案第2页,共4页联立 ,消去 得 . 设 , , , ,则有 ,且 . 设 , , 的面积分别为 , , , , , 成等差数列, ,即 , 则 ; 即 ,得 , 又 , , 于是, , ,解得 ,即 或 . 所以实数 的取值范围为 . 18.【详解】(1)设“回答问题1”记为事件 ,“回答问题2”记为事件 ,回答“是”记为事件 , 则 , , , 因为 , 所以 , 即该城市沉迷手机的中学生所占 ; (2)(ⅰ) ; (ⅱ)由题意知 ,第 天不玩手机的概率是 , 第 天玩手机的概率是 , 所以 ,即 , 所以 ,又 , 所以数列 是以 为首项, 为公比的等比数列, 所以 ,所以 . 答案第3页,共4页 学科网(北京)股份有限公司19.【详解】(1)当 时, , 设 ,则 , 所以当 时, 单调递增,当 时, 单调递减, 当 时, 取得极大值 ,所以 , 所以 在 上单调递减; (2) , 设 ,则 , (i)当 时,二次函数 开口向上,对称轴为 , 当 时, 单调递增, 因为 ,所以当 时, 单调递减, 当 时, 单调递增,所以 是 的极小值点. 当 时, ,又 , 所以存在 ,使得 ,所以当 时, 单调递增, 又 ,所以当 时, 单调递减, 当 时, 单调递增,所以 是 的极小值点; (ii)当 时, ,当 时, 单调递减, 当 时, , 单调递增,所以 是 的极小值点; (iii)当 时, 开口向下,对称轴为 , 此时 ,故 ,使 , 当 时, ,因此 在 上单调递增, 又 ,当 时, 单调递减, 当 时, 单调递增,所以 为 的极小值点; (iv)当 时, ,使 , 答案第4页,共4页当 时, ,因此 在 上单调递减, 又 ,当 时, 单调递增, 当 时, 单调递减,所以 为 的极大值点; (v)当 时,由(1)知 非极小值点. 综上所述, . 答案第5页,共4页 学科网(北京)股份有限公司