当前位置:首页>文档>数学(新高考Ⅰ卷01)(全解全析)_2024年4月_其他_一模备考备战2024年高考数学第一次模拟资源精选_数学(新高考Ⅰ卷01)-学易金卷:2024年高考第一次模拟考试

数学(新高考Ⅰ卷01)(全解全析)_2024年4月_其他_一模备考备战2024年高考数学第一次模拟资源精选_数学(新高考Ⅰ卷01)-学易金卷:2024年高考第一次模拟考试

  • 2026-05-04 03:20:04 2026-02-17 01:47:12

文档预览

数学(新高考Ⅰ卷01)(全解全析)_2024年4月_其他_一模备考备战2024年高考数学第一次模拟资源精选_数学(新高考Ⅰ卷01)-学易金卷:2024年高考第一次模拟考试
数学(新高考Ⅰ卷01)(全解全析)_2024年4月_其他_一模备考备战2024年高考数学第一次模拟资源精选_数学(新高考Ⅰ卷01)-学易金卷:2024年高考第一次模拟考试
数学(新高考Ⅰ卷01)(全解全析)_2024年4月_其他_一模备考备战2024年高考数学第一次模拟资源精选_数学(新高考Ⅰ卷01)-学易金卷:2024年高考第一次模拟考试
数学(新高考Ⅰ卷01)(全解全析)_2024年4月_其他_一模备考备战2024年高考数学第一次模拟资源精选_数学(新高考Ⅰ卷01)-学易金卷:2024年高考第一次模拟考试
数学(新高考Ⅰ卷01)(全解全析)_2024年4月_其他_一模备考备战2024年高考数学第一次模拟资源精选_数学(新高考Ⅰ卷01)-学易金卷:2024年高考第一次模拟考试
数学(新高考Ⅰ卷01)(全解全析)_2024年4月_其他_一模备考备战2024年高考数学第一次模拟资源精选_数学(新高考Ⅰ卷01)-学易金卷:2024年高考第一次模拟考试
数学(新高考Ⅰ卷01)(全解全析)_2024年4月_其他_一模备考备战2024年高考数学第一次模拟资源精选_数学(新高考Ⅰ卷01)-学易金卷:2024年高考第一次模拟考试
数学(新高考Ⅰ卷01)(全解全析)_2024年4月_其他_一模备考备战2024年高考数学第一次模拟资源精选_数学(新高考Ⅰ卷01)-学易金卷:2024年高考第一次模拟考试
数学(新高考Ⅰ卷01)(全解全析)_2024年4月_其他_一模备考备战2024年高考数学第一次模拟资源精选_数学(新高考Ⅰ卷01)-学易金卷:2024年高考第一次模拟考试
数学(新高考Ⅰ卷01)(全解全析)_2024年4月_其他_一模备考备战2024年高考数学第一次模拟资源精选_数学(新高考Ⅰ卷01)-学易金卷:2024年高考第一次模拟考试
数学(新高考Ⅰ卷01)(全解全析)_2024年4月_其他_一模备考备战2024年高考数学第一次模拟资源精选_数学(新高考Ⅰ卷01)-学易金卷:2024年高考第一次模拟考试
数学(新高考Ⅰ卷01)(全解全析)_2024年4月_其他_一模备考备战2024年高考数学第一次模拟资源精选_数学(新高考Ⅰ卷01)-学易金卷:2024年高考第一次模拟考试
数学(新高考Ⅰ卷01)(全解全析)_2024年4月_其他_一模备考备战2024年高考数学第一次模拟资源精选_数学(新高考Ⅰ卷01)-学易金卷:2024年高考第一次模拟考试
数学(新高考Ⅰ卷01)(全解全析)_2024年4月_其他_一模备考备战2024年高考数学第一次模拟资源精选_数学(新高考Ⅰ卷01)-学易金卷:2024年高考第一次模拟考试
数学(新高考Ⅰ卷01)(全解全析)_2024年4月_其他_一模备考备战2024年高考数学第一次模拟资源精选_数学(新高考Ⅰ卷01)-学易金卷:2024年高考第一次模拟考试
数学(新高考Ⅰ卷01)(全解全析)_2024年4月_其他_一模备考备战2024年高考数学第一次模拟资源精选_数学(新高考Ⅰ卷01)-学易金卷:2024年高考第一次模拟考试
数学(新高考Ⅰ卷01)(全解全析)_2024年4月_其他_一模备考备战2024年高考数学第一次模拟资源精选_数学(新高考Ⅰ卷01)-学易金卷:2024年高考第一次模拟考试
数学(新高考Ⅰ卷01)(全解全析)_2024年4月_其他_一模备考备战2024年高考数学第一次模拟资源精选_数学(新高考Ⅰ卷01)-学易金卷:2024年高考第一次模拟考试
数学(新高考Ⅰ卷01)(全解全析)_2024年4月_其他_一模备考备战2024年高考数学第一次模拟资源精选_数学(新高考Ⅰ卷01)-学易金卷:2024年高考第一次模拟考试
数学(新高考Ⅰ卷01)(全解全析)_2024年4月_其他_一模备考备战2024年高考数学第一次模拟资源精选_数学(新高考Ⅰ卷01)-学易金卷:2024年高考第一次模拟考试
数学(新高考Ⅰ卷01)(全解全析)_2024年4月_其他_一模备考备战2024年高考数学第一次模拟资源精选_数学(新高考Ⅰ卷01)-学易金卷:2024年高考第一次模拟考试
数学(新高考Ⅰ卷01)(全解全析)_2024年4月_其他_一模备考备战2024年高考数学第一次模拟资源精选_数学(新高考Ⅰ卷01)-学易金卷:2024年高考第一次模拟考试
数学(新高考Ⅰ卷01)(全解全析)_2024年4月_其他_一模备考备战2024年高考数学第一次模拟资源精选_数学(新高考Ⅰ卷01)-学易金卷:2024年高考第一次模拟考试
数学(新高考Ⅰ卷01)(全解全析)_2024年4月_其他_一模备考备战2024年高考数学第一次模拟资源精选_数学(新高考Ⅰ卷01)-学易金卷:2024年高考第一次模拟考试

文档信息

文档格式
docx
文档大小
1.905 MB
文档页数
24 页
上传时间
2026-02-17 01:47:12

文档内容

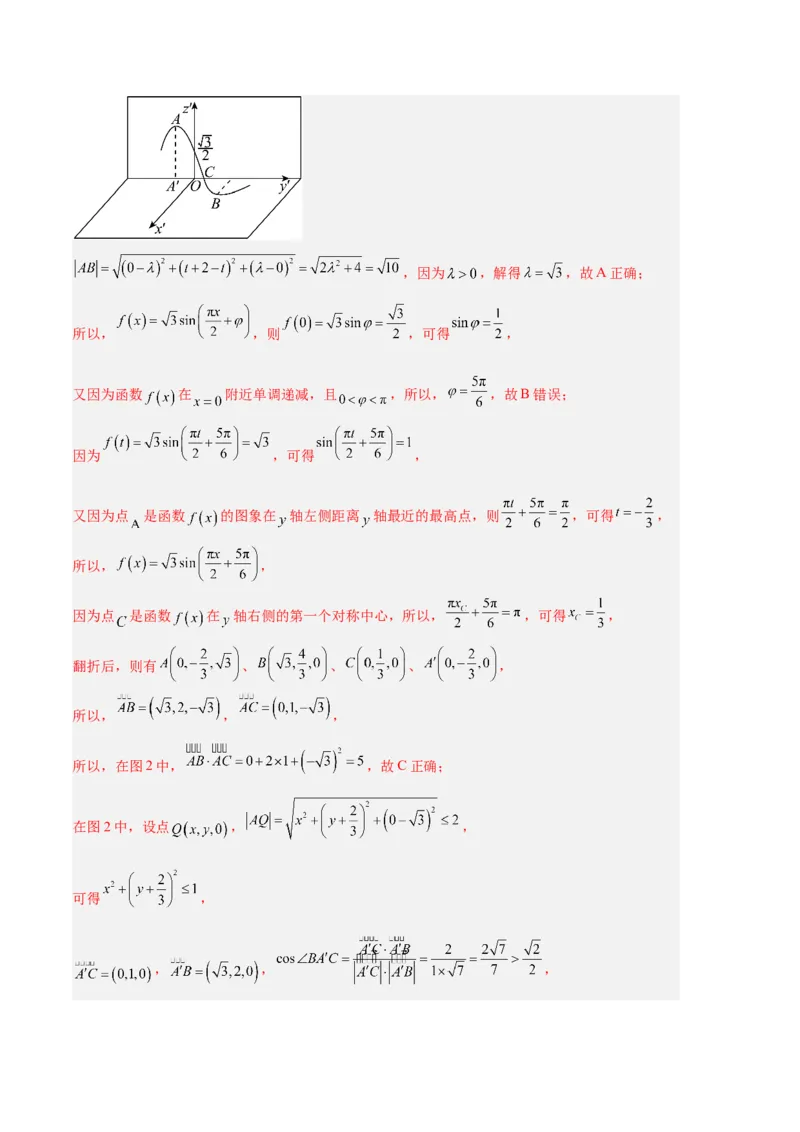
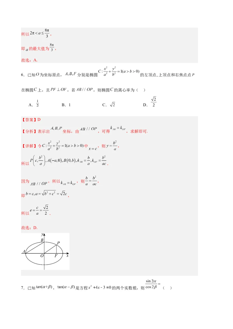
2024 年高考数学第一次模拟考试 数学(新高考 I 卷)·全解全析 (考试时间:120分钟 试卷满分:150分) 注意事项: 1.本试卷分第Ⅰ卷(选择题)和第Ⅱ卷(非选择题)两部分.答卷前,考生务必将自己的姓 名、准考证号填写在答题卡上. 2.回答第Ⅰ卷时,选出每小题答案后,用2B铅笔把答题卡上对应题目的答案标号涂黑.如 需改动,用橡皮擦干净后,再选涂其他答案标号.写在本试卷上无效. 3.回答第Ⅱ卷时,将答案写在答题卡上.写在本试卷上无效. 4.测试范围:高考全部内容 5.考试结束后,将本试卷和答题卡一并交回. 第 I 卷(选择题) 一、单项选择题:本题共8小题,每小题5分,共40分,在每小题给出的四个选项中,只有一项 是符合要求的。 1.已知全集 ,集合 , ,则 等于( ) A. B. C. D. 【答案】D 【分析】解不等式得集合 ,求值域得集合 ,然后由集合的运算法则计算. 【详解】因为 , , 或 , 所以 故选:D. 2.已知复数z满足 ,则 ( ) A. B.C. D. 【答案】A 【分析】根据复数的运算法则和模的定义即可求出复数z,再根据共轭复数定义即可得结果. 【详解】由 ,得 , 所以 , 故选:A. 3.函数 的图象大致为( ) A. B. C. D. 【答案】C 【分析】根据奇偶性和赋值即可判断选项. 【详解】由 , 可知 是奇函数,且定义域为 ,排除BD; 当 时, ,排除A. 故选:C 4.已知 是公差为 ( )的无穷等差数列 的前 项和,设甲:数列 是递增数列,乙:对任意 ,均有 ,则( ) A.甲是乙的充分条件但不是必要条件 B.甲是乙的必要条件但不是充分条件 C.甲是乙的充要条件 D.甲既不是乙的充分条件也不是乙的必要条件 【答案】B 【分析】利用定义法直接判断 【详解】充分性:因为数列 是递增数列,取数列为: , , , 符合数列 为无穷 等差数列, 且 是递增数列,但 ,故充分性不满足; 必要性:因为对于任意的 ,均有 ,所以得 ,又因为数列 为无穷等差数 列, 所以公差大于零,所以可得数列 为递增数列,故必要性满足. 综上所述:甲是乙的必要不充分条件,故B项正确. 故选:B. 5.己知函数 在 上有 个零点,则实数 的最大值为( ) A. B. C. D. 【答案】A 【分析】根据三角恒等变换可得 ,可得函数零点,进而可得 的最值. 【详解】由 , 令 ,解得 , ,或 , 或 , , 又 , 所以函数的零点从小到大依次为 , , , , , , 又函数 在 上有 个零点,所以 , 即 的最大值为 , 故选:A. 6.已知 为坐标原点, 分别是椭圆 的左顶点、上顶点和右焦点点 在椭圆 上,且 ,若 ,则椭圆 的离心率为( ) A. B.1 C. D. 【答案】D 【分析】表示出 坐标,由 ,可得 ,求解即可. 【详解】令 中 ,则 , 所以 . 因为 ,所以 ,则 , 即 , 所以 . 故选:D. 7.已知 , 是方程 的两个实数根,则 ( )A. B. C. D. 【答案】D 【分析】由题意可求出 和 的值,将 中 与 表示为 , ,然后利用两角和差的正余弦公式展开后,化为齐 次式求值即可. 【详解】因为 , 是方程 的两个实数根, 所以 , , 因为 . 故选:D 8.已知 ,则( ) A. B. C. D. 【答案】A 【分析】根据题意构造函数,利用导数研究其单调性,代入数值,可得答案. 【详解】设函数 , 因为 上 , 上 , 所以 在 上单调递减,在 上单调递增, 则 ,所以 ,当且仅当 时,等号成立.令 ,则 . 设函数 , 因为 上 , 上 , 所以 在 上单调递增,在 上单调递减, 则 ,所以 ,即 ,所以 . 综上可得: . 故选:A. 二、多项选择题:本题共4小题,每小题5分,共20分,在每小题给出的四个选项中,有多项符 合题目的要求,全部选对的得5分,部分选对的得2分,有选错的得0分。 9.已知一组样本数据 ,其中 为正实数.满足 , 下列说法正确的是( ) A.样本数据的第50百分位数为 B.去掉样本的一个数据,样本数据的极差可能不变 C.若数据的频率分布直方图为单峰不对称,且在左边“拖尾”,则样本数据的平均数小于中 位数 D.样本数据的方差 ,则这组样本数据的总和等于80 【答案】BCD 【分析】A应用百分位数的求法判断;B去掉数据为 ,结合极差定义判断;C根据 “拖尾”图分析即可;D应用方差公式分析判断. 【详解】A: ,故第50百分位数为 ,错; B:若去掉的数据为 ,则数据的极差不变,对; C:数据的频率分布直方图为单峰不对称,向右边“拖尾”,大致如下图,由于“右拖”时最高峰偏左,中位数靠近高峰处,平均数靠近中点处,此时平均数大于中位数, 同理,向“左拖”时最高峰偏右,那么平均数小于中位数,对; D:由 ,则 , 所以 ,故这组样本数据的总和等于 ,对. 故选:BCD 10.如图,有一组圆 都内切于点 ,圆 ,设直线 与圆 在第二象限的交点为 ,若 ,则下列结论正确的是( ) A.圆 的圆心都在直线 上 B.圆 的方程为 C.若圆 与 轴有交点,则 D.设直线 与圆 在第二象限的交点为 ,则 【答案】ABD 【分析】求出连心线所在直线方程判断A;求出圆 的方程判断B;求出圆 的圆心到y轴的距离,结合直线与圆相交判断C;求出点 的纵坐标判断D. 【详解】圆 的圆心 ,直线 的方程为 ,即 , 由两圆内切连心线必过切点,得圆 的圆心都在直线 上,即圆 的圆心都在直线 上,A正确; 显然 ,设点 ,则 ,而 , 解得 ,因此圆 的圆心 ,半径为 , 圆 的方程为 ,则圆 的方程为 ,B 正确; 圆 的圆心到y轴距离为 ,若圆 与 轴有交点,则 , 解得 ,而 ,因此 ,C错误; 在 中,令 ,得点 的纵坐标为 ,因此 ,D 正确. 故选:ABD 11.已知函数 的定义域为 是奇函数, 分别是函数 的导函数, 在 上单调递减,则( ) A. B. C. 的图象关于直线 对称 D. 【答案】ACD 【分析】根据 的奇函数性质,得出解析式并求导即得A项正确,结合 解析式,求导后比较两式即得B项错误, 运用函数的轴对称特征式计算即得C项正确,构造函数,利用函数的单调性和对称性即得D项正 确. 【详解】对于A选项,因 是奇函数,故有 则 ,故A项正确; 对于B选项,因 故 ,从而 ,而 ,则 , 故B项错误; 对于C选项,因 ,故 的图象关于 直线 对称,故C项正确; 对于D选项,因 的图象关于直线 对称,故 设 则 又设 则有 从而 在 上递增,则 即 在 上 递增, , 故有 恒成立,则 , 又因 在 上单调递减,则 在 上单调递增,又 , 故 即: 故D项正确. 故选:ACD. 12.已知函数 的部分图象如图1所示, 分别为图象的最高 点和最低点,过 作 轴的垂线,交 轴于 ,点 为该部分图象与 轴的交点.将绘有该图象的纸片沿 轴折成直二面角,如图2所示,此时 ,则下列四个结论正确的有( ) A. B. C.图2中, D.图2中, 是 及其内部的点构成的集合.设集合 ,则 表示的区域 的面积大于 【答案】AC 【分析】在图2中,以点 为坐标原点, 、 的方向分别为 、 轴的正方向建立空间直角 坐标系 ,根据已知条件求出 的值,即可判断A;结合 的取值范围求出 的值,可判断 B;利用空间向量数量积的坐标运算可判断C;求出 ,结合扇形的面积公式可判断D. 【详解】函数 的最小正周期为 , 在图2中,以点 为坐标原点, 、 的方向分别为 、 轴的正方向建立如下图所示的空间 直角坐标系 , 设点 ,则点 、 ,,因为 ,解得 ,故A正确; 所以, ,则 ,可得 , 又因为函数 在 附近单调递减,且 ,所以, ,故B错误; 因为 ,可得 , 又因为点 是函数 的图象在 轴左侧距离 轴最近的最高点,则 ,可得 , 所以, , 因为点 是函数 在 轴右侧的第一个对称中心,所以, ,可得 , 翻折后,则有 、 、 、 , 所以, , , 所以,在图2中, ,故C正确; 在图2中,设点 , , 可得 , , , ,易知 为锐角,则 , 所以,区域 是坐标平面 内以点 为圆心,半径为 ,且圆心角为 的扇形及其 内部, 故区域 的面积 ,故D错误. 故选:AC 第 II 卷(非选择题) 三、填空题:本题共4小题,每小题5分,共20分。 13.若将5名志愿者安排到三个学校进行志愿服务,每人只去一个学校,每个学校至少去一人,则 不同的分配方案共有 种.(用数字作答) 【答案】150 【分析】分三个学校可分得的志愿者人数分别为 或 两种情况,求出对应的方案数,相加 即可. 【详解】由题意得,三个学校可分得的志愿者人数分别为 或 , 当三个学校可分得的志愿者人数分别为 时,分配方案有 种, 当三个学校可分得的志愿者人数分别为 时,分配方案有 种, 综上,不同的分配方案有 种. 故答案为:150 14.等差数列 中的 是函数 的极值点,则 . 【答案】 / 【分析】先由题意求出 ,再利用等差中项求出 ,最后利用对数的运算法则即可求 解. 【详解】函数 的定义域为 , ,因为 是函数 的极值点, 所以 是方程 的两根, 所以 , 因为 是等差数列, 所以 , 所以 . 故答案为: . 15.在三棱锥 中, 是边长为2的等边三角形, 平面 ,若P,A,B,C四 点都在表面积为 的球的球面上,则三棱锥 的体积为 . 【答案】 / 【分析】由题意确定三棱锥外接球球心位置,根据外接球表面积求得外接球半径,即可求得PA的 长,利用三棱锥体积公式即可求得答案. 【详解】设 为正 的中心,M为 的中点, 过点 作平面 的垂线l,由于 平面 ,故 , 在 确定的平面内作 ,垂足为O,则四边形 为矩形, 连接 ,则 , 故 ,则O即为三棱锥 外接球的球心,因为P,A,B,C四点都在表面积为 的球的球面上, 设外接球半径为R,故 , 是边长为2的等边三角形,故 , 故 , 所以三棱锥 的体积 , 故答案为: 16.如图,在 中, , ,CD与BE交于点P, , , ,则 的值为 ;过点P的直线l交AB,AC于点M,N,设 , ( , ),则 的最小值为 . 【答案】 2【分析】选取向量 为基底,把 用基底表示出来,再求出数量积即可;用 表 示出 ,再利用共线向量的推论结合基本不等式求出最小值. 【详解】在 中, , ,设 , 则 , 由 三点共线,得 ,解得 ,因此 , 因为 , , ,于是 ,解得 ; 因为 , , ,则有 , 而 三点共线,因此 ,则 ,当且仅当 ,即 取等号, 所以当 时, 取得最小值 . 故答案为: ; 四、解答题:本题共6小题,共70分,解答应写出必要的文字说明、证明过程及验算步骤。 17.(10分)在 中,内角 , , 所对的边分别为 , , ,满足 . (1)求角 的大小; (2)若 , 边上的中线 的长为 ,求 的面积. 【答案】(1) ;(2) .【分析】(1)由正弦边角关系及三角恒等变换可得 ,结合三角形内角性 质即可求 的大小; (2)由余弦定理可得 ,根据 ,结合数量积的运算律有 ,联立所得方程求得 ,最后应用三角形面积公式求面积. 【详解】(1)由已知及正弦定理得 , 则 , 在 中 ,故 ,又 ,故 . (2)由 ,得 , 由题意 ,则 , 即 ,解得 , 故 的面积为 . 18.(12分)在数列 中, . (1)证明:数列 为常数列. (2)若 ,求数列 的前 项和 . 【答案】(1)证明见解析(2) 【分析】(1)化简得 ,即可证明; (2)应用错位相减法即可求解. 【详解】(1)令 ,得 ,则 . 因为 ①,所以 ②. ①-②得 ,即 . 因为 ,所以数列 为常数列. (2)由(1)可得 ,所以 是公差为1的等差数列, 所以 . 因为 ,所以 ③, ④. ③-④得 , 所以 . 19.(12分)某单位组织“乡村振兴”知识竞赛,有甲、乙两类问题.每位参加比赛的选手先在两 类问题中选择一类并从中随机抽取一个问题回答,若回答错误,则该选手比赛结束;若回答正确, 则从另一类问题中再随机抽取一个问题回答,无论回答正确与否,该选手比赛结束.甲类问题中的 每个问题回答正确得30分,否则得0分;乙类问题中的每个问题回答正确得50分,否则得0分.已 知选手张某能正确回答甲类问题的概率为0.9,能正确回答乙类问题的概率为0.7,且能正确回答问 题的概率与回答次序无关. (1)若选甲、乙两类问题是等可能的,求张某至少答对一道问题的概率;(2)如果答题顺序由张某选择,以累计得分多为决策依据,说明张某应选择先回答哪类问题. 【答案】(1) (2)应选择先回答甲类问题 【分析】(1)根据全概率公式,先求得张某一题都没答对的概率,从而求得张某至少答对一道问 题的概率. (2)根据张某先回答甲类或乙类问题进行分类讨论,计算出两者累计得分的期望值,从而作出决 策. 【详解】(1)设 “张某选择甲类问题”, “张某答对所选问题”, “张某至少答对一道问题”, “张某选择乙类问题”, “张某未答对所选问题” “张某一道问题都没答对” 由题意得, , , , , , 由全概率公式,得 ∴ . (2)根据条件可知:若张某先回答甲类问题, 则张某的累计得分X的可能值为0,30,80, ∵张某能正确回答甲类问题的概率为0.9,能正确回答乙类问题的概率为0.7, ∴ ; ; , 则 的分布列为 0 30 80 0.1 0.27 0.63 当张某先回答甲类问题时,累计得分的期望为: , 若张某先回答乙类问题,则张某的累计得分 的可能值为 ,同理可求 ; ; , 则此时累计得分的期望为 , 因为 . 所以,以累计得分多为决策依据,张某应选择先回答甲类问题. 20.(12分)已知抛物线 的焦点为 ,且经过点 . (1)求抛物线C方程及其准线方程; (2)过 作斜率不为0的直线交抛物线 于 两点,直线 分别交 于 两点,求 证:以 为直径的圆经过 轴上的两个定点. 【答案】(1) ,准线方程为 (2)证明见解析 【分析】(1)直接将点 代入 求得参数 即可得解. (2)设直线 的方程为 ,将其与抛物线方程联立,利用韦达定理有 ,将 两点的坐标也用含 的式子表示,再利用 即可得解. 【详解】(1)因为点 在 上, 所以 ,解得 , 所以 的方程为 ,准线方程为 . (2)易知直线 的斜率存在,设直线 的方程为 , 联立 ,得 , 设点 ,则 .直线 的方程为 ,令 , 得 ,所以 ,同理得 , 设以线段 为直径的圆与 轴的交点为 , 则 , 因为 ,则 , 即 , 所以 ,解得 或 . 故以线段 为直径的圆经过 轴上的两个定点 和 . 21.(12分)如图,在四棱锥 中,底面 为直角梯形, , , , , 为 的中点. (Ⅰ)求证: 平面 ; (Ⅱ)求二面角 的正弦值; (Ⅲ)记 的中点为 ,若 在线段 上,且直线 与平面 所成的角的正弦值为 , 求线段 的长.【答案】(Ⅰ)证明见解析;(Ⅱ) ;(Ⅲ) 或 . 【分析】(Ⅰ)连接 ,由勾股定理证得 ,由等腰三角形得性质证得 ,再结合 线面垂直得判定定理即可得证; (Ⅱ)建立如图所示得空间直角坐标系,求得平面 和平面 的法向量,再由空间向量的夹 角公式求出余弦值,进而根据同角的平方关系即可求出结果; (Ⅲ)设 ,求出 结合(Ⅱ)中平面 的法向量,进而由 列出方程,解之即可. 【详解】 (Ⅰ)连接 ,则 ,因为 ,所以四边形 为平行四边形;所以 ,因为 且 为 的中点,所以 ,所以 ,所以 ,即 ,又因为 ,所以 平面 ; (Ⅱ)以 为原点, 为 轴, 为 轴, 为 轴建立如图所示的空间直角坐标系,则 , 所以 , 设平面 的法向量为 ,则 ,即 ,取 ,设平面的法向量为 ,则 ,即 ,取 , 所以 , 所以二面角 的正弦值为 ; (Ⅲ)设 ,则 ,而 ,所以 ,由(Ⅱ)知平面 的法向量为 ,设直线与平面 所成的角为 ,则 , 化简得 ,解得: 或 ,故线段 的长度为 或 . 22.(12分)已知函数 . (1)求曲线 在 处切线的斜率; (2)当 时,比较 与x的大小; (3)若函数 ,且 ( ),证明: . 【答案】(1) (2) (3)证明见解析 【分析】(1)求得 ,得到 ,即可求得曲线 在 处切线的斜率;(2)设函数 ,求得 ,利用导数求得函数 的单调性,结合 ,即可求解; (3)设函数 ,当 时,得到 恒成立,进而转化为证明 ,结合分析法,要证 ,设 ,利用导数求得 在 上单调递增,结合 ,得到 ,即可得证. 【详解】(1)解:因为函数 ,可得 , 则 ,所以曲线 在 处切线的斜率为 . (2)解:设函数 , 可得 , 当 时, ,则 在 上单调递增, 所以 ,从而 ,所以 . (3)证明:设函数 , 当 时, , ,则 恒成立, 则由 ,得 , 又 ,所以 , 因为 ,可得 ,令 ,可得 , 所以 单调递增,即 在 单调递增,所以 , 所以 在 上单调递增, 又由 ,所以 ,同理得 , 要证 ,只需证 ,即证 , 因为 ,所以 , 设函数 ,则 ,所以 在 上单调递增, 因为 ,所以 ,所以 ,所以 , 所以 ,从而得证 .