当前位置:首页>文档>江苏省如皋中学2024-2025学年高三上学期期初考试数学详细答案_2024-2025高三(6-6月题库)_2024年09月试卷_09212025江苏省如皋中学高三上学期期初考试

江苏省如皋中学2024-2025学年高三上学期期初考试数学详细答案_2024-2025高三(6-6月题库)_2024年09月试卷_09212025江苏省如皋中学高三上学期期初考试

  • 2026-03-22 10:20:16 2026-02-18 19:51:15

文档预览

江苏省如皋中学2024-2025学年高三上学期期初考试数学详细答案_2024-2025高三(6-6月题库)_2024年09月试卷_09212025江苏省如皋中学高三上学期期初考试
江苏省如皋中学2024-2025学年高三上学期期初考试数学详细答案_2024-2025高三(6-6月题库)_2024年09月试卷_09212025江苏省如皋中学高三上学期期初考试
江苏省如皋中学2024-2025学年高三上学期期初考试数学详细答案_2024-2025高三(6-6月题库)_2024年09月试卷_09212025江苏省如皋中学高三上学期期初考试
江苏省如皋中学2024-2025学年高三上学期期初考试数学详细答案_2024-2025高三(6-6月题库)_2024年09月试卷_09212025江苏省如皋中学高三上学期期初考试
江苏省如皋中学2024-2025学年高三上学期期初考试数学详细答案_2024-2025高三(6-6月题库)_2024年09月试卷_09212025江苏省如皋中学高三上学期期初考试
江苏省如皋中学2024-2025学年高三上学期期初考试数学详细答案_2024-2025高三(6-6月题库)_2024年09月试卷_09212025江苏省如皋中学高三上学期期初考试
江苏省如皋中学2024-2025学年高三上学期期初考试数学详细答案_2024-2025高三(6-6月题库)_2024年09月试卷_09212025江苏省如皋中学高三上学期期初考试
江苏省如皋中学2024-2025学年高三上学期期初考试数学详细答案_2024-2025高三(6-6月题库)_2024年09月试卷_09212025江苏省如皋中学高三上学期期初考试
江苏省如皋中学2024-2025学年高三上学期期初考试数学详细答案_2024-2025高三(6-6月题库)_2024年09月试卷_09212025江苏省如皋中学高三上学期期初考试
江苏省如皋中学2024-2025学年高三上学期期初考试数学详细答案_2024-2025高三(6-6月题库)_2024年09月试卷_09212025江苏省如皋中学高三上学期期初考试
江苏省如皋中学2024-2025学年高三上学期期初考试数学详细答案_2024-2025高三(6-6月题库)_2024年09月试卷_09212025江苏省如皋中学高三上学期期初考试
江苏省如皋中学2024-2025学年高三上学期期初考试数学详细答案_2024-2025高三(6-6月题库)_2024年09月试卷_09212025江苏省如皋中学高三上学期期初考试
江苏省如皋中学2024-2025学年高三上学期期初考试数学详细答案_2024-2025高三(6-6月题库)_2024年09月试卷_09212025江苏省如皋中学高三上学期期初考试
江苏省如皋中学2024-2025学年高三上学期期初考试数学详细答案_2024-2025高三(6-6月题库)_2024年09月试卷_09212025江苏省如皋中学高三上学期期初考试
江苏省如皋中学2024-2025学年高三上学期期初考试数学详细答案_2024-2025高三(6-6月题库)_2024年09月试卷_09212025江苏省如皋中学高三上学期期初考试

文档信息

文档格式
docx
文档大小
1.064 MB
文档页数
15 页
上传时间
2026-02-18 19:51:15

文档内容

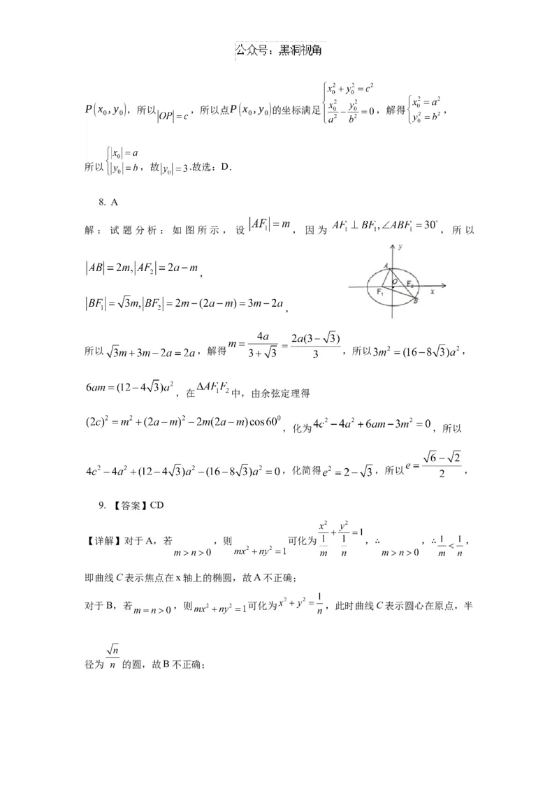
江苏省如皋中学2024—2025学年度高三年级测试 数学答案 1.【答案】A 【详解】因为 , , 所以 ,所以 , 即图中阴影部分表示的集合为 .故选:A 2. 【答案】B 【详解】设圆锥母线长为 ,高为 ,底面半径为 , 则由 ,得 ,所以 , 所以 .故选:B. 3. 【答案】C 【详解】设抛物线方程为 或 , 依题意知 ,∴ .∴抛物线方程为 .故选:C. 4. 【答案】C 【详解】 ,所以 或 ,所以 或 , 所以方程 的实数解有2个.故选:C. 5. 【答案】B【详解】设A(x ,y ),B(x ,y ),由题可知 , , 1 1 2 2 则 ,所以 ,即 ,解得 , 所以 ,则 ,所以 ,故选:B. 6. 【答案】B 【详解】由圆 的方程为 可得圆心 ,半径 , 若圆与函数 相交,则圆心到直线 的距离 , 的 即 ,若函数 图象与圆 有四个公共点,则原点在圆的外部, 即 ,解得 , 综上函数 的图象与圆 有四个公共点则 , 所以“ ”是“函数 的图象与圆 有四个公共点”的必要不充分条件,故选:B 7. 【答案】D 【详解】因为点M,N分别在双曲线C的右支和左支上,所以 .又 , , ,所以 , 解得 , , 所以 ,所以 是直角. 在 中, ,所以 ,解得 , 所以 ,即 .又 的外接圆交双曲线 的一条渐近线于点P(x ,y ),所以 ,所以点P(x ,y )的坐标满足 ,解得 , 0 0 0 0 所以 ,故 .故选:D. 8. A 解:试题分析:如图所示,设 ,因为 ,所以 , , 所以 ,解得 ,所以 , ,在 中,由余弦定理得 ,化为 ,所以 ,化简得 ,所以 , 9. 【答案】CD 【详解】对于A,若 ,则 可化为 , , , ∴ ∴ 即曲线C表示焦点在x轴上的椭圆,故A不正确; 对于B,若 ,则 可化为 ,此时曲线C表示圆心在原点,半 径为 的圆,故B不正确;对于C,若 ,则 可化为 ,此时曲线C表示双曲线,由 可得 ,故C正确; 对于D,若 , ,则 可化为 , ,此时曲线C表示平行 于x轴的两条直线,故D正确. 故选: CD. 10. 【答案】BC 【详解】对于A,在正方体 中,可得 平面 , 因为 平面 , 平面 ,所以 , 所以二面角 的平面角为 ,其中 ,所以A错误; 对于B,如图所示,当M为 中点, 为 中点时, 在正方体 中,可得 , 因为 平面 ,且 平面 ,所以 平面 , 又因为 ,且 平面 ,且 平面 ,所以 平面 , 因为 ,且 平面 ,所以平面 平面 ,所以B正确; 对于C,如图所示,取 中点 ,连接 , , , 在正方体 中, 平面 ,且 , 所以 平面 ,因为 平面 ,可得 ,则 , 则点 在侧面 内运动轨迹是以 为圆心、半径为2的劣弧, 分别交 , 于 ,如图所示,则 , 结合对称性可知, , 则 ,劣弧 的长为 ,所以C正确; 对于D,当 为 中点时,可得 为等腰直角三角形,且平面 平面 , 连接 与 交于点 ,可得 , 所以四棱锥 外接球的球心即为 与 的交点 , 所以四棱锥 外接球的半径为 ,其外接球的体积为 ,所以 D错误.故选:BC. 11. 【答案】ACD 【详解】由抛物线 ,可得焦点坐标 ,准线方程为 , 因为抛物线 上存在一点 到其焦点的距离为 , 由抛物线的定义可得 ,可得 , 所以抛物线的方程为 ,所以A正确;设 ,显然直线 的斜率存在且不为0,设斜率为 , 可得 的方程为 , 联立方程组 ,整理得 , 因为 是抛物线的切线,所以 ,即 , 且点 的纵坐标为 ,代入抛物线方程,可得 横坐标为 ,即 , 设直线 的斜率存在且不为0,设斜率为 , 同理可得: ,且 , 所以 是方程 的两个不等式的实数根,所以 , 因为 , 所以 ,所以D正确; 由 ,且 ,可得 , 则直线 的方程为 ,即 , 又由 ,可得 , 所以 ,即 , 所以直线 一定过定点 ,该点不是抛物线的焦点,所以B不正确. 由直线 的斜率不为0,设直线 的方程为 ,且 ,联立方程组 ,整理得 ,所以 , 则 ,当且仅当 时,等号成立, 即 的最小值为 ,所以C正确.故选:ACD. 三、填空题:本题共3小题,每小题5分,共15分。 12. 过点 的等轴双曲线的方程为 . 13. 过点 的直线l与曲线 有且仅有两个不同的交点,则l斜率的取值范围 为 . 【答案】 . 【分析】根据题意,将曲线 ,变形为 , ,分析可得其为圆的上部 分, 结合直线与圆的位置关系即可. 【详解】由题意可设直线 ,又曲线 可化为 , , 作出直线l与曲线 的图象如图所示: 设图中直线 , , , 的斜率分别为 , , , , 则 , , , 又直线 的方程为 , 圆心 到直线 的距离为 ,解得 (舍去)或 ,要使两图象有两个不同的交点,则 .故答案为: 14. 已知过点 可作三条直线与曲线 相切,则实数a的取值范围为 . 【答案】 【详解】 ,设点 为曲线 的切点, 则切线方程为 ,整理得 , 将点 代入可得 . 令 ,则 , 当 时, , 单调递减;当 时, , 单调递增;当 时, , 单调递减. 又 , , 当 时,方程 有3个不同的实数根, 即当 时,有3个不同的 满足方程 , 即过点 可作三条直线与曲线 相切. 故答案为: . 四、解答题:本题共5小题,共77分。解答应写出文字说明、证明过程或演算步骤. 15. 已知函数 . (1)求函数 的极值; (2)求函数 在区间 上的最小值 .【详解】(1) , 由 ,得 ;由 ,得 . 在 上单调递增,在 上单调递减. 的极小值为 ,无极大值. (2)由(1)知 在 上单调递增,在 上单调递减. , . ①当 时, 在 上单调递减,在 上单调递增, ②当 时, 在 上单调递增, . . 16. 【详解】(1)依题意设点 ,因 ,且 , 由对称性知抛物线的准线 方程为 ,则 ,解得 , , , 于是 . 从而得椭圆的方程为 ,抛物线的方程为 . (2)由于准线 方程为 ,依题意设 ,则 . 因 ,则 ,得直线 方程为 ①, 将①式代入 中化简,得 , 设 ,由韦达定理得 ,则 ,即 ,则 ,于是得直线 方程为 , 令 ,解得 ,即 .则 , 于是 ,化简得 ,即得 , 代入①式化简,得直线 方程为 ,或 . 17. 【详解】(1)直三棱柱 的体积为: , 则 ,四边形 为正方形, 法一:在直棱柱 中, 面 , , 又 平面 ,则 , 因为 , , , 平面 , 所以 平面 ,又 平面 , 所以 , 因为 ,所以 , 在正方形 中,有 , 因为 , , , 平面 , 所以 平面 ,又 平面 , 所以 . 法二:直棱柱 , 平面 ,又 ,以 为原点, , , 所在直线为x轴,y轴, z轴,建立空间直角坐标系, 则 , , , , , , , ,所以 . (2)由(1)得 , 设 ,在 中,过 作 于 ,连接 , 因为 , , 平面 ,且 , 所以 平面 ,又 平面 , 所以 , 所以 为二面角 的平面角, 因为 , ,得 , 又在 中, ,得 , , 所以二面角 的余弦值为 . 法二: , , , , ,, ,设平面 的法向量: , 则 ,取 ,得 , , ,设面 的法向量 , 则 ,取 ,得 , 设二面角 的大小为 ,则: , 因为 为锐角,所以二面角 余弦值为 . 18.解:因为拋物线 的焦点为 ,所以直线 的斜率 , 因为双曲线 的一条渐近线与 平行,所以 ,即 .又因为双曲线 的焦距为 ,即 , 所以 ,所以双曲线 的方程为 . 【小问2详解】 双曲线 的右焦点为 , 由题意知直线 的斜率存在且不为0, 设直线 的方程为 ,联立 ,消去 得 , 且 ,所以 , 将 代入 得 ,所以 . 直线 方程为 ,与直线 联立, 可得 , 因为 ,所以 . 因为 ,所以 ,所以 为 的中点,即 . 19. 已知函数 ,其中 为自然对数的底数. (1)讨论 的单调性; (2)若方程 有两个不同的根 . (i)求 的取值范围; (ii)证明: . 【详解】(1)由题意得 , ,则 , 由 ,解得 .显然 , 若 ,则当 时, 单调递增,当 时, 单调递减;若 ,则当 时, 单调递减,当 时, 单调递增. 综上,当 时, 在区间 内单调递增,在区间 内单调递减; 当 时, 在区间 内单调递减,在区间 内单调递增. (2)(i)由 ,得 , 设 ,由(1)得 在区间 内单调递增,在区间 内单调递减, 又 ,当 时, ,且当 时, , 所以当 时,方程 有两个不同的根,即方程 有两个不同的根,故 的取值范围是 . (ii)不妨设 ,则 ,且 . 解法一: 当 时, ,即 ; 当 时, . 设 则 所以 在区间 内单调递增, 则 ,即 ,所以 又 在区间 内单调递减, 所以 ,即 , 又 ,所以 , 故 ,所以 ,得证. 解法二: 设 , , 则 , 所以 在区间 内单调递增, 又 , 所以 ,即 . 又 ,所以 , 又 在区间 内单调递减. 所以 ,即 , 又 ,所以 ,得证.