当前位置:首页>文档>湖南省永州市2024-2025学年高三上学期一模地理试题Word版含答案_2024-2025高三(6-6月题库)_2024年09月试卷_0912湖南省永州市2024-2025学年高三上学期一模

湖南省永州市2024-2025学年高三上学期一模地理试题Word版含答案_2024-2025高三(6-6月题库)_2024年09月试卷_0912湖南省永州市2024-2025学年高三上学期一模

  • 2026-04-17 16:17:25 2026-02-19 03:15:09

文档预览

湖南省永州市2024-2025学年高三上学期一模地理试题Word版含答案_2024-2025高三(6-6月题库)_2024年09月试卷_0912湖南省永州市2024-2025学年高三上学期一模
湖南省永州市2024-2025学年高三上学期一模地理试题Word版含答案_2024-2025高三(6-6月题库)_2024年09月试卷_0912湖南省永州市2024-2025学年高三上学期一模
湖南省永州市2024-2025学年高三上学期一模地理试题Word版含答案_2024-2025高三(6-6月题库)_2024年09月试卷_0912湖南省永州市2024-2025学年高三上学期一模
湖南省永州市2024-2025学年高三上学期一模地理试题Word版含答案_2024-2025高三(6-6月题库)_2024年09月试卷_0912湖南省永州市2024-2025学年高三上学期一模
湖南省永州市2024-2025学年高三上学期一模地理试题Word版含答案_2024-2025高三(6-6月题库)_2024年09月试卷_0912湖南省永州市2024-2025学年高三上学期一模
湖南省永州市2024-2025学年高三上学期一模地理试题Word版含答案_2024-2025高三(6-6月题库)_2024年09月试卷_0912湖南省永州市2024-2025学年高三上学期一模
湖南省永州市2024-2025学年高三上学期一模地理试题Word版含答案_2024-2025高三(6-6月题库)_2024年09月试卷_0912湖南省永州市2024-2025学年高三上学期一模
湖南省永州市2024-2025学年高三上学期一模地理试题Word版含答案_2024-2025高三(6-6月题库)_2024年09月试卷_0912湖南省永州市2024-2025学年高三上学期一模
湖南省永州市2024-2025学年高三上学期一模地理试题Word版含答案_2024-2025高三(6-6月题库)_2024年09月试卷_0912湖南省永州市2024-2025学年高三上学期一模

文档信息

文档格式
docx
文档大小
2.608 MB
文档页数
9 页
上传时间
2026-02-19 03:15:09

文档内容

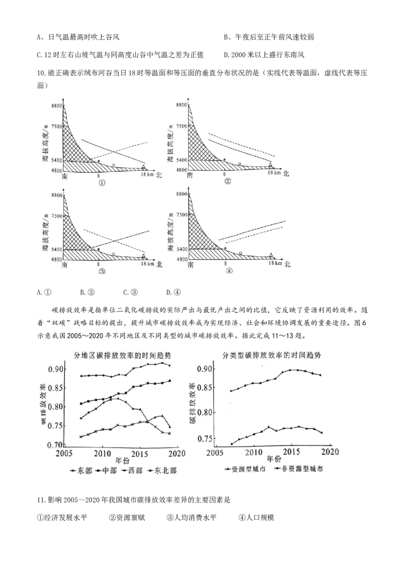
永州市 2025 年高考第一次模拟考试 地理 命题人:李伟(永州三中)邓石军(新田一中)何晓梅(永州四中) 审题人:满仁勇(市教科院) 注意事项: 1.答卷前,考生务必将自己的姓名、准考证号填写在答题卡上。 2.回答选择题时,选出每小题答案后,用铅笔把答题卡上对应题目的答案标号涂黑。如需改 动,用橡皮擦干净后,再选涂其他答案标号。回答非选择题时,将答案写在答题卡上。写在 本试卷上无效。 3.考试结束后,将本试题卷和答题卡一并交回。 一、选择题:本题共16小题,每小题3分,共48分。在每小题给出的四个选项中,只有一 项是符合题目要求的。 夜间经济是以服务业为主体的城市经济的延伸,通常指从当日18:00至次日6:00所发生的集夜间餐 饮、购物、住宿、游览、娱乐、体育、教育等活动于一体的现代消费经济。天津市自2018年开始大力发展 夜间经济,目前已建成多个市级和区级夜间经济示范街区。下图示意天津市中心城区夜间经济业态总体核 密度。据此完成1~2题。 1.天津市中心城区夜间经济的空间分布特征是 A.总体分散,局部集中 B.各行政区分布较均匀 C.从市中心向四周递减 D.沿交通干线分布 2.影响天津市中心城区夜间餐饮分布的主导因素是A.经济水平 B.地租水平 C.人口密度 D.交通通达度 走廊南山地区河流演化与构造隆升和气候变化密切相关。在距今4.5~2.75百万年(Ma)时,强烈的 地壳抬升和全球气候变的共同作用便得走廊南山南、北坡侵蚀速率增大,从而导致分水岭南和流经走廊南 山两侧河流发生袭夺。形成现今流域水系格局。图2示意走廊南山流域的演化过程。据此完成3~5题。 3.全球气候变冷导致走廊南山侵蚀速率增大的原因是 ①植被退化,导致坡面裸露 ②降水增多,流水侵蚀增强 ③冰川发育,冰川侵蚀增强 ④温差增大,风化作用增强 A.①② B.②③ C.①③ D.③④ 4.图中断裂带的运动特点是 A.垂直运动,北侧相对上升 B.垂直运动,南侧相对上升 C.水平运动,北侧向西北移动 D.水平运动,南侧向西北移动 5.与4.5~2.75百万年相比,2.75百万年以来流量明显增大的河流是 A.① B.② C.③ D.④ 革命老区南康位于江西省南部,自古以来木匠技术世代相传,木匠文化浓郁。改革开放后,10万南康 人南下广东家具厂打工,积累了资金、技术和管理经验后回乡创业。202年,南康家具企业成为南康的主 导、富民产业,家具产业集群产值达两千亿元。下图示南康家具产业集群演化过程。据此完成6~7题。6.南康家具产业起步发展阶段 A.小作坊数量多,分布集中 B.选料讲究 C.传统工艺为主,创新不足 D.监管严格 7.南康家具产业集群演化过程中 A.主要依靠规模化发展提高市场竞争力 B.生产空间日趋分散 C.品牌联盟有力地推动了销售网络的形成 D.政府只作指导意见 绒布河谷位于珠峰北侧,几乎全为冰川覆盖。科考探测发现绒布河谷离地面1000m以下多盛行下谷风, 人们称之为冰川风。研究发现,绒布河谷南北向的上、下谷风的形成,与山坡气温和同高度山谷中气温之 差密切相关。图1示意绒布河谷南北向地形剖面;图2示意1975年5月某日绒布寺观测站风向风速垂直分 布的变化情况。据此完成8~10题。 图1 图2 8.绒布河谷冰川风形成的主要原因是 A.气压场东高西低 B.气压场南高北低 C.气温值东高西低 D.气温值南高北低 9.绒布寺观测站当日A、日气温最高时吹上谷风 B、午夜后至正午前风速较弱 C.12时左右山坡气温与同高度山谷中气温之差为正值 D.2000米以上盛行东南风 10.能正确表示绒布河谷当日18时等温面和等压面的垂直分布状况的是(实线代表等温面,虚线代表等压 面) A.① B.② C.③ D.④ 碳排放效率是指单位二氧化碳排放的实际严出与最优产出之间的比值,它反映了资源利用的效率。随 着“双碳”战略目标的提出,提升城市碳排放效率成为实现经济、社会和环境协调发展的重要途径。图6 示意我国2005~2020年不同地区及不同类型的城市碳排放效率。据此完成11~13题。 11.影响2005~2020年我国城市碳排放效率差异的主要因素是 ①经济发展水平 ②资源禀赋 ③人均消费水平 ④人口规模A.①② B.①③ C.②③ D.③④ 12.2012年以后西部地区城市碳排放效率开始降低的原因可能是 A.产业结构优化升级 B.承接中东部产业转移 C.经济发展衰退 D.人才流失加剧 13.为提高我国资源型城市碳排放效率的措施,最合理的是 A.向国外进行产业转移 B.进行技术改造和设备更新 C.全面淘汰高耗能企业 D.大力发展高新技术产业 科研团队通过实地考察,对长白山自然保护区进行气候变化与森林碳库的研究,发现其中针阔混交林 植被碳库量呈增加趋势,暗针叶林植被碳库量呈下降趋势。图1为保护区年平均气温及降水的变化图,图 2为保护区等高线图。据此完成14~16题。 图1 图2 14.推断长白山山麓基带可能是 A.落叶阔叶林带 B.针叶林带 C.针阔混交林带 D.常绿阔叶林带 15.导致针阔混交林植被碳库量增加的主要原因是 A.气温升高 B.降水增加 C.风力加大 D.光照增强 16.对长白山自然保护区内生态环境变化的推测,可信的是 A.群落结构明显改变 B.岳桦林带上限上升 C.生物多样性显著降低 D.暗针叶林适生环境改善 二、非选择题:本题4小题,共52分。 17.阅读图文材料,完成下列要求。(14分)黄河下游的铁谢至高村河段,是典型的游荡型河段。河道内洲滩密布,汊道纵横,主流摆动频繁,河 势演变剧烈。小浪底水库修建后,下游冲淤发生明显变化,河床处于再造过程中,河段游荡特性发生改变。 研究发现:水库修建后,下游河岸约束性强的河段游荡特性趋于减弱,而河岸约束性较弱的河段游荡特性 可能存在不减反增。图1示意黄河部分流域及下游某游荡性河道。图2示意黄河全下游及游荡段累计冲淤 量(冲淤量=淤积量-冲刷量)变化。 图1 图2 (1)说出黄河下游游荡型河段形成的自然条件。(4分) (2)指出小浪底水库运行后游荡型河段游荡特性的变化,并分析其原因。(6分) (3)从流水侵蚀的角度,分析约束性强弱不同的河段游荡特性变化的原因。(4分) 18.阅读图文材料,完成下列要求。(12分) 在北半球的中高纬度地区,西风气流常常产生波动,形成槽和脊,当西风槽加深,的南部逐渐脱离母 体,携带冷空气形成冷涡。按照有关监测标准,将出现在35°N-60°N115°E-145°E,厚度从地面至6000 米左右的冷性气柱,且持续时间在3天以上的冷涡,为东北冷涡,它对东北乃至中国北方地区的天气气候 有重大影响。2022年5月26日古、辽宁、吉林三省交界附近形成一个中等尺度的冷涡,受其影响,华北 天空出现“冷涡东北强对流多发。下图为5月26日新闻报道截图。(1)判断“冷涡”所属天气系统的类型,并说明依据。(4分) (2)受此次冷涡影响,分析华北天空出现“冷涡蓝”、东北强对流多发的原因。(8分) 19.阅读图文材料,完成下列要求。(12分) 随着国家“一带一路”倡议,中企“智造”逐渐走出国门。佩列沙茨大桥位于克罗地亚,跨越亚得里 亚海小斯通湾,是中国企业首次中标欧盟基金项目,也是中企承建的由欧盟基金出资的克罗地亚单体最大 项目,于2022年7月通车。大桥大大缩短了通往克罗地亚南部杜布罗夫尼克的时间,带动了克罗地亚的物 流、旅游等产业的发展。在大桥设计、建造中运用了一系列技术创新,建设了服务于施工和运营阶段全过 程的结构健康监测系统,为世界上首次在桥梁工程领域中全过程应用,确保了项目建设的实施。下图示意 佩列沙茨大桥位置所在区域。 (1)简述佩列沙茨大桥建成前,克罗地亚南北部联系不便的原。(4分) (2)指出中企承建佩列沙茨大桥的优势条件。(4分) (3)从自然条件方面,分析中企在佩列沙茨大桥建设过程中遇到的困难。(4分) 20.阅读图文材料,完成下列要求。(14分)咸海地处中亚干旱地区,曾为世界第四大湖泊。咸海为封闭湖泊,湖区年降水量约100~140mm,湖泊 主要由阿姆河和锡尔河补给。近几十年来,由于气候变化及流域不合理的水资源开发利用.湖泊面积快速 萎缩。1987年咸海分成了南咸海和北威海两片水域,2003年南咸海进一步分裂,使得咸海最终分裂为北、 东、西3个水域湖泊。下图为1960~2003年咸海面积变化示意。 (1)指出1985~2003年期间北咸海与南咸海面积变化差异,并分析其自然原因。(6分) (2)分析咸海面积的变化对区域自然地理环境的影响。(4分) (3)说出获取咸海面积变化的地理信息技术及应用(至少列举两种)。(4分) 永州市 2025 年高考第一次模拟考试 地理参考答案及评分标准 一、选择题(16道小题,每小题3分,共48分) 题 1 2 3 4 5 6 7 8 9 10 11 12 13 14 15 16 号 答 A C C B D C C B B C A B B A A B 案 二、非选择题(共52分) 17.(14分) (1)河流水量季节变化大;河流含沙量大;地形平坦,泥沙淤积多:河岸岩性脆弱,易被流水侵蚀等 (每点2分,共4分) (2)游荡特性减弱。(2分)水库运行后河流累计冲於量下降,河流冲刷大于淤积;水流持续冲刷下游河 道,河道洲滩和汉道数目逐渐减少,水流集中,河道游荡特性减弱(每点2分,共4分)(3)河岸约束性强的河段,下切侵蚀明显,河道断面由宽浅趋于窄深,促进了水流集中和对江滩的冲刷, 游荡特性减弱;河岸约束性较弱的河段,侧蚀明显,导致岸滩崩退、主流摆动,不利于河势的稳定(每点 2分,共4分) 18.(12分) (1)气旋(低压)(2分)气流呈逆时针方向辐合(2分) (2)华北位于冷涡西侧,盛行西北风(偏北风),水汽少,天气晴朗;波长较短蓝光易被散射而成蔚蓝 天空(每点2分,共4分)东北受冷涡控制或处于冷涡东侧,冷涡内部上冷下暖,多对流天气;冷涡东部 盛行东南风,来自海洋的暖湿气流与冷涡中的冷气流形成对流,产生强对流天气(每点2分,共4分) 19.(12分) (1)国土南北部没有连成一体,被海域或他国隔断(2分)选择水运航线长,速度慢,耗时长;选择公路 要经过其它国家,需要办理出入境手续,耗时长;选择水陆结合方式,增加换乘时间(每点2分,共2 分) (2)中企建桥经验丰富:工程质量高,服务意识强;技术水平高,创新能力强;国家政策支持等(每点2 分,共4分) (3)位于板块交界处,地质条件不稳定,增加施工难度;海域较封闭,海水盐度高,建筑材料要求高; 受西风影响,风浪大;为地中海气候,夏季炎热,冬季多雨,影响施工效率(每点2分,共4分) 20.(14分) (1)差异:北咸海面积变化比南咸海要小(2分) 原因:湖泊南北分离,南北湖泊之间湖水交换减少:南咸海仅有阿姆河补给,且湖盆面积大,水位下降较 多,面积缩小较快:北咸海湖盆面积小,受锡尔河补给更充分,湖泊面积较为稳定(每点2分,共4分) (2)湖滨湿地消失,土壤盐碱化加剧,土地荒漠化:气候变干;湖水咸化,水质下降;生物多样性减少; 湖泊调节功能减弱,生态坏境恶化(每点1分,共4分) (3)遥感技术(2分)气象监测、森林火灾监测、生态监测、土地资源调查等(每点1分,共2分)