当前位置:首页>文档>江苏省南通市海安市2024-2025学年高三上学期开学考试地理Word版含答案_2024-2025高三(6-6月题库)_2024年09月试卷_0916江苏省南通市海安市2024-2025学年高三上学期开学

江苏省南通市海安市2024-2025学年高三上学期开学考试地理Word版含答案_2024-2025高三(6-6月题库)_2024年09月试卷_0916江苏省南通市海安市2024-2025学年高三上学期开学

  • 2026-03-18 20:18:28 2026-02-18 19:43:57

文档预览

江苏省南通市海安市2024-2025学年高三上学期开学考试地理Word版含答案_2024-2025高三(6-6月题库)_2024年09月试卷_0916江苏省南通市海安市2024-2025学年高三上学期开学
江苏省南通市海安市2024-2025学年高三上学期开学考试地理Word版含答案_2024-2025高三(6-6月题库)_2024年09月试卷_0916江苏省南通市海安市2024-2025学年高三上学期开学
江苏省南通市海安市2024-2025学年高三上学期开学考试地理Word版含答案_2024-2025高三(6-6月题库)_2024年09月试卷_0916江苏省南通市海安市2024-2025学年高三上学期开学
江苏省南通市海安市2024-2025学年高三上学期开学考试地理Word版含答案_2024-2025高三(6-6月题库)_2024年09月试卷_0916江苏省南通市海安市2024-2025学年高三上学期开学
江苏省南通市海安市2024-2025学年高三上学期开学考试地理Word版含答案_2024-2025高三(6-6月题库)_2024年09月试卷_0916江苏省南通市海安市2024-2025学年高三上学期开学
江苏省南通市海安市2024-2025学年高三上学期开学考试地理Word版含答案_2024-2025高三(6-6月题库)_2024年09月试卷_0916江苏省南通市海安市2024-2025学年高三上学期开学
江苏省南通市海安市2024-2025学年高三上学期开学考试地理Word版含答案_2024-2025高三(6-6月题库)_2024年09月试卷_0916江苏省南通市海安市2024-2025学年高三上学期开学
江苏省南通市海安市2024-2025学年高三上学期开学考试地理Word版含答案_2024-2025高三(6-6月题库)_2024年09月试卷_0916江苏省南通市海安市2024-2025学年高三上学期开学
江苏省南通市海安市2024-2025学年高三上学期开学考试地理Word版含答案_2024-2025高三(6-6月题库)_2024年09月试卷_0916江苏省南通市海安市2024-2025学年高三上学期开学
江苏省南通市海安市2024-2025学年高三上学期开学考试地理Word版含答案_2024-2025高三(6-6月题库)_2024年09月试卷_0916江苏省南通市海安市2024-2025学年高三上学期开学

文档信息

文档格式
docx
文档大小
1.005 MB
文档页数
10 页
上传时间
2026-02-18 19:43:57

文档内容

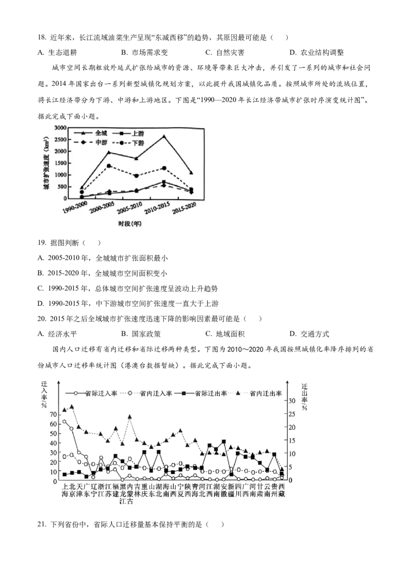
2025 届高三期初学业质量监测试卷 地 理 注意事项: 考生在答题前请认真阅读本注意事项及各题答题要求 1、本试卷共6页,满分100分,考试时间为75分钟。考试结束后,请将答题卷交回。 2.答题前,请您务必将条形码按要求粘贴在答题卷规定区内。 3.请监考员认真核对在答题卡上所粘贴的条形码上的姓名、考试证号与您本人的是否相符。 4.作答选择题必须用2B铅笔把答题卡对应题目的答案标号涂黑。如需改动,请用橡皮擦干净 后,再选涂其它答案。作答非选择题必须用书写黑色字迹的0.5毫米的签字笔写在答题卷上 的指定位置,在其它位置作答一律无效。 一、单项选择题:本大题共23小题,每题2分,共计46分。每题只有一个选项符合题意, 请将正确答案的代号涂在答题纸相应的位置上。 下图为海口市(20°N,110°E)某地理兴趣小组绘制的“当地四个日期正午太阳光线示意图”。读图完 成下面小题。 1. 四个日期中,太阳直射点最接近南回归线的是( ) A. ① B. ② C. ③ D. ④ 2. 图示时刻,北京时间为( ) A. 11:20 B. 11:40 C. 12:00 D. 12:40 . 3 与③日期相比,④日期该地( ) A. 正午太阳高度更高 B. 日落方位更为偏北 C. 白昼时间更短 D. 昼夜时差更小 下图为“某年5月1日北京时间14时亚洲部分地区海平面气压形势图”。据此完成下面小题。4. 图中四地( ) A. 甲气压最高 B. 乙吹西北风 C. 丙气压最低 D. 丁吹偏北风 5. 此时( ) A. 北京雨过天晴 B. 江苏大风降温 C. 陕西大雪纷飞 D. 广东风和日丽 6. 图示天气系统到来之前,北京气象台提醒( ) A. 出门带好雨具 B. 逛街做好防晒 C. 敞开蔬菜大棚 D. 防范城市内涝 天山西部的巴音布鲁克地区亿万年前曾是一片汪洋,后来逐渐形成了以砾岩为主的石林景观。图1为 “巴音布鲁克地区示意图”,图2为“云雾环绕的天山石林景观图”。据此完成下面小题。 7. 天山石林形成的主要地质作用过程依次是( ) A. 地壳运动——沉积作用——地壳运动——物理风化——流水侵蚀 B. 沉积作用——地壳运动——沉积作用——地壳运动——冰川侵蚀 C. 地壳运动——沉积作用——地壳运动——物理风化——溶解侵蚀D. 沉积作用——地壳运动——沉积作用——地壳运动——风力侵蚀 8. 推测图中甲河径流量日变化最大的季节是( ) A. 春 B. 夏 C. 秋 D. 冬 9. 图中河流主要补给类型及对应河流特征正确的是( ) A. 湖泊水补给——水系呈放射状 B. 大气降水补给——参与内陆水循环 C. 积雪融水补给——河水含沙量小 D. 冰川融水补给——流量年际变化小 海洋浮游植物群落受洋流、海水温度和营养盐影响较大,而浮游植物的生长也会消耗海水中的营养盐, 从而形成海域浮游植物分布的时空变化。下图示意挪威一格陵兰海洋流分布。据此完成下面小题。 10. 该海域浮游植物最丰富的区域是( ) A. P B. Q C. M D. N 的 11. 浮游植物聚集区表层海水中浮游植物 生物量( ) A. 与温度正相关、与营养盐负相关 B. 与温度正相关、与营养盐正相关 C. 与温度负相关、与营养盐负相关 D. 与温度负相关、与营养盐正相关 12. 该海域表层仔游植物旺盛生长的时间是( ) A. 2-3月 B. 4-6月 C. 7-8月 D. 10-12月 偃松是一种常绿小乔木或常绿灌木,树干基部多分枝,并呈伏卧状伏于地面,其末端向上斜长,叶呈 针状。吉林省白城地区东坡山麓植被以草甸草(喜冷湿环境)为主。下图为“某季节记录的大兴安岭中部 地区东坡垂直带谱分布示意图”。据此完成下面小题。为 13. 当前季节最可能 ( ) A. 春季 B. 夏季 C. 秋季 D. 冬季 14. 根据材料,推测大兴安岭中部地区东坡偃松的生长环境为( ) A. 气温低,风速大 B. 气温低,土层薄 C. 气温高,降水多 D. 气温高,光照强 15. 吉林省白城地区植被以草甸草为主,体现了( ) A. 纬度地带性分异规律 B. 经度地带性分异规律 C. 垂直地带性分异规律 D. 地方性分异规律 下图为“我国油菜开花日期分布状况图”。据此完成下面小题。 16. 产生图中所示分布差异的主导因素是( ) . A 热量 B. 光照 C. 水源 D. 土壤 17. 门源地区种植油菜主要分布在河谷地区,最主要原因是河谷地区( ) A. 水源较充足 B. 土壤较肥沃 C. 热量较丰富 D. 地势较平坦18. 近年来,长江流域油菜生产呈现“东减西移”的趋势,其原因最可能是( ) A. 生态退耕 B. 市场需求变 C. 自然灾害 D. 农业结构调整 城市空间长期粗放外延式扩张给城市的资源、环境等带来巨大冲击,并引发了一系列的城市和社会问 题。2014年国家出台一系列新型城镇化规划方案,以此提升我国城镇化品质。按照城市所处的流域位置, 将长江经济带分为下游、中游和上游地区。下图是“1990—2020年长江经济带城市扩张时序演变统计图”。 据此完成下面小题。 19. 据图判断( ) A. 2005-2010年,全城城市扩张面积最小 B. 2015-2020年,全城城市空间面积变小 C. 1990-2015年,总体城市空间扩张速度呈波动上升趋势 D. 1990-2015年,中下游城市空间扩张速度一直大于上游 20. 2015年之后全域城市扩张速度迅速下降的影响因素最可能是( ) A. 经济水平 B. 国家政策 C. 地域面积 D. 交通方式 国内人口迁移有省内迁移和省际迁移两种类型。下图为2010~2020年我国按照城镇化率降序排列的省 份城市人口迁移率统计图(港澳台数据暂缺)。据此完成下面小题。 21. 下列省份中,省际人口迁移量基本保持平衡的是( )A. 山东 B. 江苏 C. 吉林 D. 河南 22. 上海市省内迁出率高的主要原因是( ) A. 市区进行企业外迁,市区产业升级 B. 市内中心区房价高,生活压力较大 C. 市区土地资源紧张,政策鼓励外迁 D. 国家战略统筹需要,设立了新城区 23. 我国城镇化水平地区差异为( ) A. 东北三省城镇化水平一直整体较高 B. 北上广深等一线城市出现逆城镇化 C. 东部沿海省份城镇化水平整体较高 D. 中西部省份城镇化水平均低于东部 二、综合题:本大题共3小题,共计54分。 24. 阅读材料,完成下列问题。 材料一 2024年7月26日至8月11日,第33届夏季奥林匹克运动会在法国巴黎举行。我国奥运代表 团取得境外奥运参赛金牌第一的历史最好成绩。马赛为法国东南部重要港口城市,是2024年巴黎奥运会帆 船比赛的赛场。帆船运动是借助风帆推动船只在规定距离内竞速的一项海上运动,对气象和水文的基本要 求是:有风、水流不太急、能见度在1500米以上。 材料二 图1为“法国位置示意图”,图2为“巴黎和马赛气候资料统计图”。 (1)描述夏季奥运会举办期间巴黎的气候特征较马赛的差异,并分析该时段两地气温存在差异的原因。 (2)赴巴黎观看奥运比赛的朋友朋友圈发了很多当地的植被照片,请指出其中属于巴黎地区地带性自然 植被的类型,并简述其植被景观特征。 (3)位于塞纳河口的勒阿弗尔和巴黎一样都是温带海洋性气候,说明马赛相比于勒阿弗尔举办帆船比赛 的有利自然条件。 25. 阅读材料,完成下列问题。 材料一 羊卓雍错流域位于青藏高原南部,喜马拉雅山中段北麓,湖面海拔约4450m。历史上羊卓雍 错曾为外流湖,湖水流入雅鲁藏布江,后因冰川泥石流爆发,湖水不再流出,终形成了内陆咸水湖。 材料二 图1为“羊卓雍错流域示意图”,图2为“羊卓雍错浪子卡站气候直方图”。(1)判断羊卓雍错湖水盐度的空间分布差异并说明成因。 (2)推测羊卓雍错最高水位出现的月份并说明理由。 (3)从物质来源、动力机制的角度,分析该流域夏季多发泥石流的地理环境背景。 26. 阅读材料,回答下列问题。 材料一 随着“健康中国”战略的开展,“康养”一词进入大众视野。康养产业是集养老、养生、医疗、 文化、体育、旅游等诸多业态为一体的产业链,康养产业未来的市场发展潜力巨大。 材料二 安徽省广德市位于长三角地理几何中心,生态环境优越,自然资源丰富,拥有千顷卢湖、万 亩竹海和“天下四绝”之一的太极洞风景区,是中国最美县域、中国最佳生态康养旅游名城。近年来,广德 市抢抓长三角一体化发展机遇,成为沪皖共建康养基地的先行区。下图为“广德位置及周边地理事物示意 图”。 (1)简析近年来我国康养产业发展较快的原因。 (2)简析广德市成为沪皖共建康养基地的先行区的区位优势。 (3)从产业发展角度,为将广德市打造成著名康养基地提出合理建议。2025 届高三期初学业质量监测试卷 地理 注意事项: 考生在答题前请认真阅读本注意事项及各题答题要求 1、本试卷共6页,满分100分,考试时间为75分钟。考试结束后,请将答题卷交回。 2.答题前,请您务必将条形码按要求粘贴在答题卷规定区内。 3.请监考员认真核对在答题卡上所粘贴的条形码上的姓名、考试证号与您本人的是否相符。 4.作答选择题必须用2B铅笔把答题卡对应题目的答案标号涂黑。如需改动,请用橡皮擦干净 后,再选涂其它答案。作答非选择题必须用书写黑色字迹的0.5毫米的签字笔写在答题卷上 的指定位置,在其它位置作答一律无效。 一、单项选择题:本大题共23小题,每题2分,共计46分。每题只有一个选项符合题意, 请将正确答案的代号涂在答题纸相应的位置上。 【1~3题答案】 【答案】1. A 2. D 3. B 【4~6题答案】 【答案】4. D 5. D 6. A 【7~9题答案】 【答案】7. A 8. B 9. D 【10~12题答案】 【答案】10. C 11. A 12. B 【13~15题答案】 【答案】13. D 14. A 15. D 【16~18题答案】 【答案】16. A 17. C 18. D 【19~20题答案】 【答案】19. C 20. B 【21~23题答案】 【答案】21. B 22. A 23. C 二、综合题:本大题共3小题,共计54分。 【24题答案】 【答案】(1)与马赛相比,巴黎气温较低,温差较小,降水较多。原因:巴黎受西风影响大,海洋性显著,气温较低,温差较小,阴雨天气多;马赛纬度较低,夏季受副热带高气压控制,气温较高,温差较大, 多明朗天气。 (2)温带落叶阔叶林 。植被景观特征:乔木叶片宽阔,夏季葱绿,冬季落叶。 (3)马赛位于地中海沿岸;夏季晴天为主,大气能见度高;风小、浪小等。 【25题答案】 【答案】(1)北部盐度高,南部盐度低。成因:南部多河流注入,稀释作用强。 (2)最高水位出现在10月份;理由夏季受暖湿的西南季风影响,降水较多,且气温较高,冰雪融水量大; 降水、冰雪融水不是迅速进入湖泊抬升水位,地表汇流需要一定时间,因此该湖泊水位最高出现在秋季的 10月。 (3)物质来源:地处两大板块间的交界处,地壳运动活跃,导致岩层断裂、岩石破碎,多松散堆积物; 动力来源:区域沟谷众多,松散堆积物被流水作用带入河流,夏季气温高,冰川融化,降水较多,水流量 大,水流搬运能力强。 【26题答案】 【答案】(1)我国老龄化进程加快,对于健康服务有巨大的需求;人民生活水平提高,对健康质量要求 提高;康养产业覆盖面广、服务链长;我国政府多措并举发展健康服务业,有较多的优惠政策。 (2)广德处在长三角中心,位置优越;生态环境优越,旅游资源丰富;旅游业发展成熟,生态康养产业 基础良好;土地、劳动力丰富廉价,运营成本低。 (3)加强产业规划,明确康养产业的发展方向和重点领域。加大对康养产业的投入;促进康养产业与其 他相关产业的融合;加强品牌建设和宣传推广;提升服务质量,加强对康养服务人员的培训;完善基础设 施建设等。