当前位置:首页>文档>数学答案_2024年2月_01每日更新_19号_2024届重庆市缙云教育联盟高三下学期2月月度质量检测_重庆市缙云教育联盟2023-2024学年高三下学期2月月度质量检测-数学

数学答案_2024年2月_01每日更新_19号_2024届重庆市缙云教育联盟高三下学期2月月度质量检测_重庆市缙云教育联盟2023-2024学年高三下学期2月月度质量检测-数学

  • 2026-04-08 01:38:32 2026-02-22 05:37:55

文档预览

数学答案_2024年2月_01每日更新_19号_2024届重庆市缙云教育联盟高三下学期2月月度质量检测_重庆市缙云教育联盟2023-2024学年高三下学期2月月度质量检测-数学
数学答案_2024年2月_01每日更新_19号_2024届重庆市缙云教育联盟高三下学期2月月度质量检测_重庆市缙云教育联盟2023-2024学年高三下学期2月月度质量检测-数学
数学答案_2024年2月_01每日更新_19号_2024届重庆市缙云教育联盟高三下学期2月月度质量检测_重庆市缙云教育联盟2023-2024学年高三下学期2月月度质量检测-数学
数学答案_2024年2月_01每日更新_19号_2024届重庆市缙云教育联盟高三下学期2月月度质量检测_重庆市缙云教育联盟2023-2024学年高三下学期2月月度质量检测-数学
数学答案_2024年2月_01每日更新_19号_2024届重庆市缙云教育联盟高三下学期2月月度质量检测_重庆市缙云教育联盟2023-2024学年高三下学期2月月度质量检测-数学
数学答案_2024年2月_01每日更新_19号_2024届重庆市缙云教育联盟高三下学期2月月度质量检测_重庆市缙云教育联盟2023-2024学年高三下学期2月月度质量检测-数学
数学答案_2024年2月_01每日更新_19号_2024届重庆市缙云教育联盟高三下学期2月月度质量检测_重庆市缙云教育联盟2023-2024学年高三下学期2月月度质量检测-数学
数学答案_2024年2月_01每日更新_19号_2024届重庆市缙云教育联盟高三下学期2月月度质量检测_重庆市缙云教育联盟2023-2024学年高三下学期2月月度质量检测-数学

文档信息

文档格式
docx
文档大小
0.638 MB
文档页数
8 页
上传时间
2026-02-22 05:37:55

文档内容

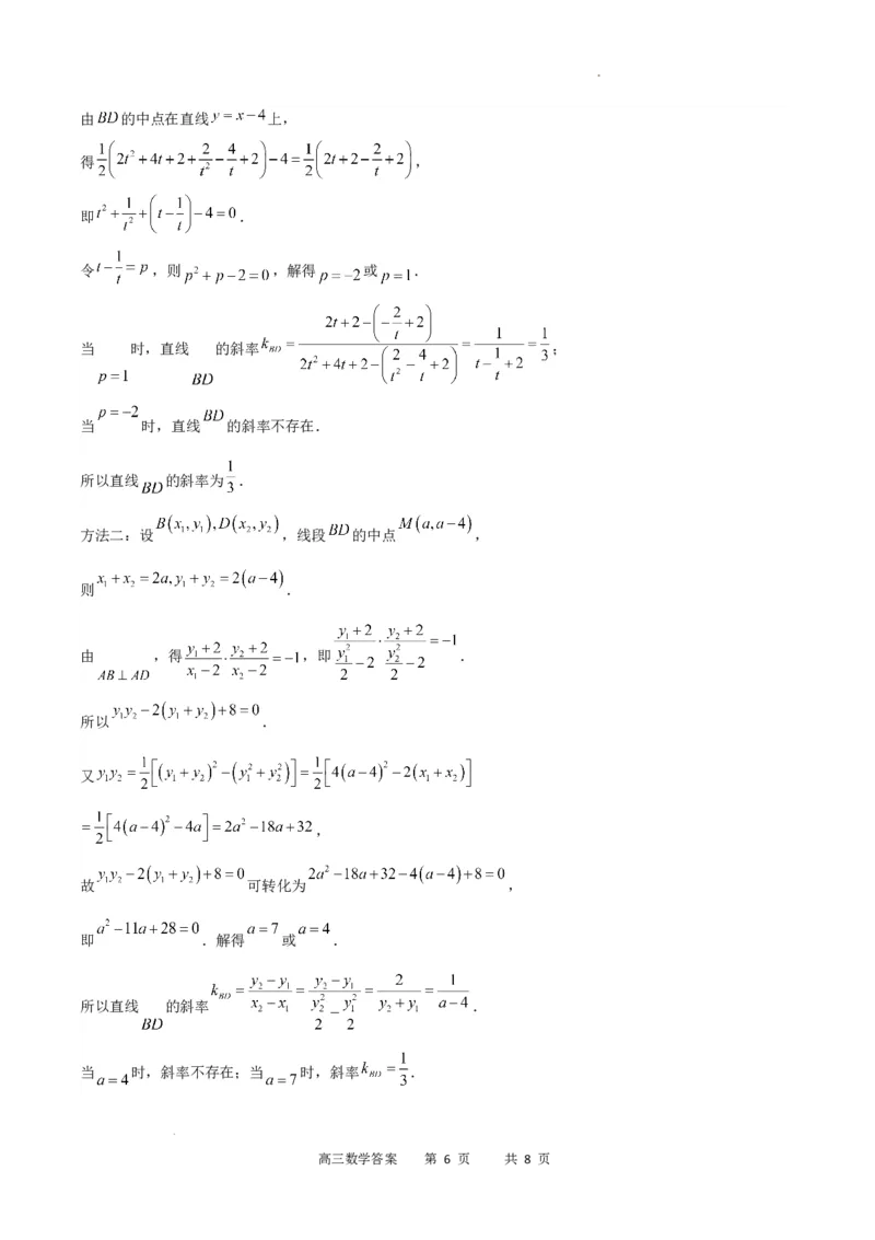
★秘密·2024年2月16日17:00前 重庆市 2023-2024 学年(下)2 月月度质量检测 高三数学答案及评分标准 【命题单位:重庆缙云教育联盟】 试卷视频讲解 一、选择题:本题共8小题,每小题5分,共40分。在每小题给出的四个选项中,只有一项 是符合题目要求的。 1.C 2.D 3.B 4.A 5.A 6.B 7.D 8.D 二、多项选择题:本题共3小题,每小题6分,共18分。在每小题给出的选项中,有多项符 合题目要求的。全部选对的得6分,部分选对的得部分分,有选错的得0分。 9.AC 10.ABD 11.ABC 三、填空题:本题共3小题,每小题5分,共15分。 12. 13. 14. 四、解答题:本题共5小题,共77分。解答应写出文字说明、证明过程或演算步骤。 15.(1)由题意得, 的可能取值为 ,在第一轮中,试验者每次抽到白球的概率为 , ,依题意,在第二轮中,盒中有一个白球,两个红球和一个黄球,每次摸到白球的概率 高三数学答案 第 1 页 共 8 页 学科网(北京)股份有限公司为 , ,易知 , 的分布列为: 1 2 3 的数学期望 . (2)证明:当 时,不难知道 , , , 由(1)可知 ,又 , , .即 . ⏜ 16.(1)连接 ,因为 是底面半圆弧AB上的两个三等分点, 所以有 ,又因为 , 高三数学答案 第 2 页 共 8 页 学科网(北京)股份有限公司所以△MON,△NOB都为正三角形,所以 ,四边形 是菱形, 记 与 的交点为 , 为 和 的中点,因为 , 所以三角形 为正三角形,所以 ,所以 , 因为 是半球面上一点, 是半球 的直径,所以 , 因为 , 平面 ,所以 平面 . (2)因为点 在底面圆内的射影恰在 上, 由(1)知 为 的中点,△OPN为正三角形,所以 , 所以 底面 ,因为四边形 是菱形,所以 , 即 两两互相垂直,以点 为坐标原点, , , 分别为 , , 轴,建立空间直角坐 标系 ,如图所示, 则 , 所以 , , , 设平面 的一个法向量为 ,则 ,所以 , 取 ,则 ,设直线 与平面 的所成角为 , 高三数学答案 第 3 页 共 8 页 学科网(北京)股份有限公司所以 ,故直线 与平面 所成角的正弦值为 . 17.(1) ,令 ,即 , 当 时,令 ,所以 , 则 即 , 所以当 或 时,即 或 时, 无解; 当 时,即 时, 仅有一解; 当 即 时, 有两解, 综上, 或 时, 无零点; 时, 有一个零点; 时, 有两个零点. (2)若 有两个零点 , ,令 , ,则 , 为 两解, 则 ,则 ,则 , 由 可得 , ,则 , 所以 ,所以 , 由 可得 , 所以 ,则 , 由 在 递减,可得 , 所以 ,所以 令 ,则 高三数学答案 第 4 页 共 8 页 学科网(北京)股份有限公司要证 成立, 即证: ; 即证: ,因为 显然成立,故原式成立. 18.(1)由题意知 ,设直线 . 联立 得 , 则 , , 则 的中点 在直线 上, 代入可解得 , ,满足直线与抛物线有两个交点, 所以直线 的方程为 ,即 . (2)当直线 的斜率为 或不存在时,均不满足题意. 由 得 或 (舍去),故 . 方法一:当直线 的斜率存在且不为 时,设直线 . 联立 得 ,所以 . 所以 .同理得 . 高三数学答案 第 5 页 共 8 页 学科网(北京)股份有限公司由 的中点在直线 上, 得 , 即 . 令 ,则 ,解得 或 . 当 时,直线 的斜率 ; 当 时,直线 的斜率不存在. 所以直线 的斜率为 . 方法二:设 ,线段 的中点 , 则 . 由 ,得 ,即 . 所以 . 又 , 故 可转化为 , 即 .解得 或 . 所以直线 的斜率 . 当 时,斜率不存在;当 时,斜率 . 高三数学答案 第 6 页 共 8 页 学科网(北京)股份有限公司所以直线 的斜率为 . 19.(1) . (2)依题意, ,不等式 , 函数 在 上单调递增, ,令 , 显然函数 在 上单调递减,在 上单调递增, , 又 ,于是 , , 因此 , ,显然函数 在 上单调递减, 当 时, ,从而 , 所以实数 的取值范围是 . (3) , . 依题意, , , 当 时, , ,即 , 于是 ,而 ,因此 , 当 时, ,则 , , 即 ,而 ,因此 , 高三数学答案 第 7 页 共 8 页 学科网(北京)股份有限公司于是 , ,所以 . 高三数学答案 第 8 页 共 8 页 学科网(北京)股份有限公司