当前位置:首页>文档>成都市2019年中考物理试题及答案(word版)_中考真题_4.物理中考真题2015-2024年_地区卷_四川省_成都物理08-22

成都市2019年中考物理试题及答案(word版)_中考真题_4.物理中考真题2015-2024年_地区卷_四川省_成都物理08-22

  • 2026-04-03 09:07:15 2026-02-22 22:39:46

文档预览

成都市2019年中考物理试题及答案(word版)_中考真题_4.物理中考真题2015-2024年_地区卷_四川省_成都物理08-22
成都市2019年中考物理试题及答案(word版)_中考真题_4.物理中考真题2015-2024年_地区卷_四川省_成都物理08-22
成都市2019年中考物理试题及答案(word版)_中考真题_4.物理中考真题2015-2024年_地区卷_四川省_成都物理08-22
成都市2019年中考物理试题及答案(word版)_中考真题_4.物理中考真题2015-2024年_地区卷_四川省_成都物理08-22
成都市2019年中考物理试题及答案(word版)_中考真题_4.物理中考真题2015-2024年_地区卷_四川省_成都物理08-22
成都市2019年中考物理试题及答案(word版)_中考真题_4.物理中考真题2015-2024年_地区卷_四川省_成都物理08-22
成都市2019年中考物理试题及答案(word版)_中考真题_4.物理中考真题2015-2024年_地区卷_四川省_成都物理08-22
成都市2019年中考物理试题及答案(word版)_中考真题_4.物理中考真题2015-2024年_地区卷_四川省_成都物理08-22
成都市2019年中考物理试题及答案(word版)_中考真题_4.物理中考真题2015-2024年_地区卷_四川省_成都物理08-22
成都市2019年中考物理试题及答案(word版)_中考真题_4.物理中考真题2015-2024年_地区卷_四川省_成都物理08-22
成都市2019年中考物理试题及答案(word版)_中考真题_4.物理中考真题2015-2024年_地区卷_四川省_成都物理08-22
成都市2019年中考物理试题及答案(word版)_中考真题_4.物理中考真题2015-2024年_地区卷_四川省_成都物理08-22
成都市2019年中考物理试题及答案(word版)_中考真题_4.物理中考真题2015-2024年_地区卷_四川省_成都物理08-22
成都市2019年中考物理试题及答案(word版)_中考真题_4.物理中考真题2015-2024年_地区卷_四川省_成都物理08-22

文档信息

文档格式
doc
文档大小
0.743 MB
文档页数
14 页
上传时间
2026-02-22 22:39:46

文档内容

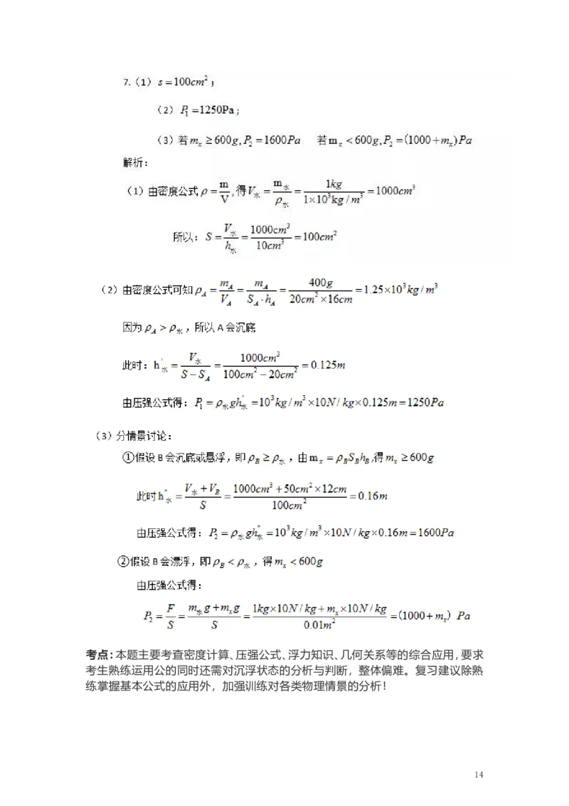
成都市2019年中考物理试题 A卷(90分) 一、单项选择题(每小题2分,共28分) 1.中国的创新发展战略使科技领域不断取得新成果,下列说法正确的是( ) A.智能机器人只能通过声音信号控制 B.北斗卫星导航是通过光纤传递信息 C.无人自动驾驶汽车行驶不需要消耗能量 D.用5G手机上网是通过电磁波传递信息 2.如图所示,将手机充电器插人家庭电路插座中,即可为手机充电。充电器为手机充电时的输出 电压约为( ) A.1.5V B.5V C.l10V D.220V 3. 如图所示为音叉共鸣实验:两个频率相同的音叉,用橡皮槌敲击其中一个音叉,另一个未被 敲击的音叉也会发出声音。此现象可以说明( ) A.声音能够传递能量 B.声音传播不需要介质 C.声音传播不需要时间 D.物体不振动也可产生声音 4.关于原子核和核能,下列说法I正确的是( ) A.原子核是由电子、质子和中予组成 B.核能的使用不会对人类产生危害 C.现有核电站利用核裂变释放的能量来发电 D.氢弹爆炸时的链式反应是可控的 5.如图是汽车四冲程发动机的一个冲程示意图,下列说法正确的是( ) A.该冲程是做功冲程 B.该冲程机械能转化为内能 C.这种汽车对环境没有污染 D.此发动机的效率可达90% 6.下列情形与大气压强无关的是( ) A.高原上用普通锅不易煮熟米饭 B.用吸管吸饮料 C.“玉兔”号在月球上留下“足迹” D.马德堡半球实验 7.如图所示,“和谐号”动车满成旅客从成都东站缓缓驶出前往西安。下列说法正确的是( ) A.坐在列车上的乘客相对于车站是静止的 B.列车由静止变为运动.列车的惯性减小了 C.列车受到的牵引力和铁轨对它的支持力是平衡力 D.列车加速前进时,它受到的牵引力大于它受到的阻力 8.下列符合安全用电要求的是( ) A.只要低于36V的电压,人体都可接触 B.三脚插头较长的那只脚无用,可以去掉 C.用湿布擦台灯前将其插头从插座中拔出 D.发现有人触电时,可直接用手去拉触电者 9.将一枚重为0.5N的鸡蛋放入一杯均匀盐水中,静止时如图所示.然后向杯子里加入一些清水, 则( ) 1A.鸡蛋会下沉 B.鸡蛋的重力增加 C.鸡蛋所受浮力变大 D.鸡蛋所受浮力为0.5N 10.图所示的情景中,关于能量的说法正确的是( ) A.水力发电,将电能转化为机械能 B.在空中飞行的C919,只具有重力势能 C.张弓待发,弓静止,所以没有能量 D.过山车冲上高处的过程中.重力势能增加 11.1738年伯努利发现了流体压强与流速有关,以下选项利用伯努利这一发现的是( ) A.机翼受升力使飞机飞上蓝天, B.火箭受推力飞向太空 C.轮船经船闸从下游开到上游 D.潜水艇从海底上浮 12.关于分子和物体内能,下列说法正确的是( ) A.杯子里的水可以任意倒出.说明水分子间没有引力 B.固体间能扩散,表明固体物质分子是运动的 C.把0℃的冰块加热熔化成0℃的水,其内能不变 D.用力搓手,手发热是通过热传递增加手的内能 13.实验小组为医院病房设计呼叫电路,在病人需要护理时,闭合床头开关,就能及时通知值班室 里的护士,图中最合理的设计方案是( ) 14.如图所示的四个实验,反映电动机基本原理的是( ) 二、填空题(每空2分,共32分) 15.以镜正衣冠,如图所示,小红由远及近走向平面镜的过程中.她在镜中像的大小 (选 填 “变大”、“变小”或“不变”)。周围的同学都能看见小红,是因为光照到小红身上,发生了光 的 反射。 216.学校排球联赛中,小婷将迎面而来的球扣向了对方场地,如图所示,说明力可以改变物体的 。 排球上有许多花纹.是采用增大接触面祖糙程度的方法来增大 。 17.小明在实验室做“观察水的沸腾”实验.每隔30s记录一次温度计的示数.并据此作成图像, 如图所示。由图像可知,水在沸腾过程中,继续吸热,温度 (选填“升高”、“降低”或 “不变”)。停止加热一段时间后,水 (选填“会”或“不会”)继续汽化。 18.如图,是三种类型剪刀的示意图,请你为铁匠师傅选择一把剪铁皮的剪刀,你会选择 (选 填 “ A” 、 “ B” 或 “ C” ) 剪 刀 , 这 样 选 择 的 目 的 是 为 了 省 。 19.如图所示.用细线悬挂的磁体AB.磁极未知。当闭合电路开关S后,磁体的B端与通电螺线管 左端相互排斥,则B端是磁体的 极。 断开开关S,磁体静止时,B端会指向地理的 ( 选填“北方”或“南方”)。 20.如图所示.电源电压不变,开关s闭合后,把滑片P向右移动.则滑动变阻器接入电路的阻值将 , 电压表示数将 。(两空均选填“变大”、“变小”或“不变”)。 21.如图所示电路,开关S闭合后,两灯均发光,电压表测的是灯 (选填“L”或“L”)两 1 2 端电压。一段时间后,两灯均熄灭,但电压表有读数且示数较大,电流表无读数,则故障可能是 ( 选填“L 短路”.“L 断路”或“L 断路”)。 1 1 2 22.如图甲是一种家用电暖器,图乙是其简化的电路图,已知R