当前位置:首页>文档>1992数学一解析_26.考研数学(一)(二)(三)真题_26.1考研数学(一)真题_02.1987-2025年数一真题答案解析

1992数学一解析_26.考研数学(一)(二)(三)真题_26.1考研数学(一)真题_02.1987-2025年数一真题答案解析

  • 2026-04-02 03:36:53 2026-02-23 15:34:44

文档预览

1992数学一解析_26.考研数学(一)(二)(三)真题_26.1考研数学(一)真题_02.1987-2025年数一真题答案解析
1992数学一解析_26.考研数学(一)(二)(三)真题_26.1考研数学(一)真题_02.1987-2025年数一真题答案解析
1992数学一解析_26.考研数学(一)(二)(三)真题_26.1考研数学(一)真题_02.1987-2025年数一真题答案解析
1992数学一解析_26.考研数学(一)(二)(三)真题_26.1考研数学(一)真题_02.1987-2025年数一真题答案解析
1992数学一解析_26.考研数学(一)(二)(三)真题_26.1考研数学(一)真题_02.1987-2025年数一真题答案解析

文档信息

文档格式
pdf
文档大小
1.551 MB
文档页数
5 页
上传时间
2026-02-23 15:34:44

文档内容

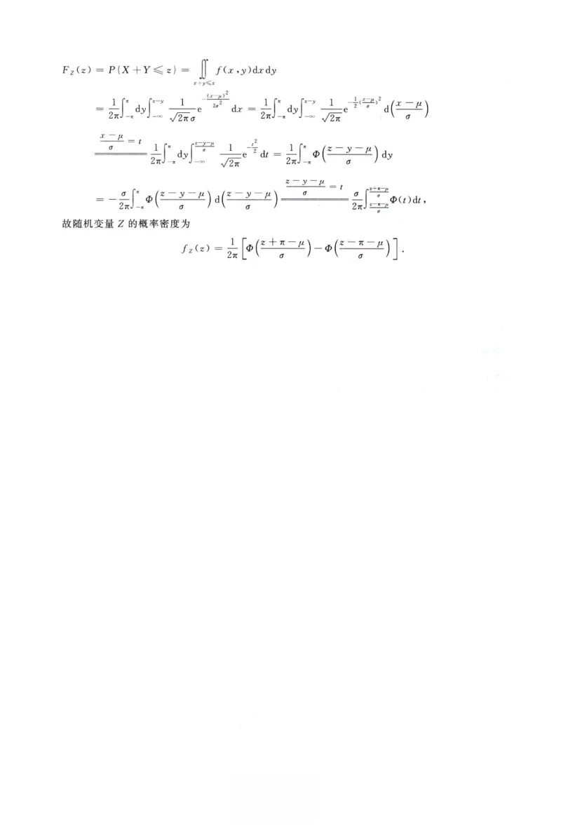
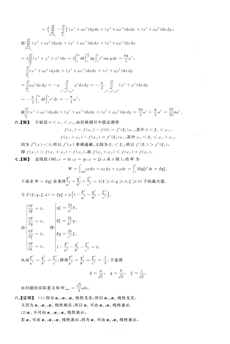
1992年数学(一)真题解析 一、填空题 ex+y — jysinQy ) (1)【答案】 x sinQy ) — ex+y 【解】ex+y + cos(«zy ) = 0两边对x求导得 于+,• (1 + 警)_ sin(«zy) • (y + 工 警)=0,解得兽 x sin(xj/) — 2_ _£ _生 (2)【答案】 亍,百,_引・ du 2壬 du 2y du 2z 【解】 。工 x2 十1 / 2 十N2 9 3y x2 y2 ~h z2 3n x2 + y2 丄 2, du 2 I 4 du 1 4 IL L*f 2 4 4 虹1 M =T 3y 1 m 9 M =-- 9 ,则 grad u 9 ' 9 2 (3)【答案】 y. 【解】于(工)的傅里叶级数在工=兀处收敛于 f (兀—0)+ /(兀 + 0) f 5 — o) + y(—兀 + o) 7t2 2 = 2 = T* (4) 【答案】夕=(工+C)cos h(C为任意常数). 【解】 微分方程yf + 3^tan r = cos x的通解为 y = (Jcos x • e^3"Xdr dr + C)■ e "皿=(x + C)cos x (C 为任意常数). (5) 【答案】1. 【解】 方法一 因为A的任意两行都成比例,所以r(A) < 1, 又因为A HO,所以厂(A) $ 1,故厂(A) = 1. 方法二 b Qi 5 S 如 b2 (b] 9b2 9・••』”)=a0T,其中a = ,0 = 、Q n , J. bn. r(A) = rCafi 1 ) £ 厂(a) = 1, 再由5 H 0,6, H 0d = 1,2,・・・皿得A HO,于是r(A) 1,故厂(A) = 1. 二、选择题 (1) 【答案】(D). 乂2 _ ]丄 丄 工2 _ ]丄 丄 【解】 由 lim ------- ex~ = 2 lim ex_1 = 0, lim ------- eJ_1 = 2 lim eJ_1 = +°°, 工 _ 1 日- 一i+ 工 _ 1 —+ 工2 _ ]丄 得lim------- e"-1不存在但不是oo,应选(D). X->1 X — 1 (2) 【答案】(C). 【解】 | (-1)" (1 - cos 十)| = 2sii?注〜92 I OO oo | oo 因为若 y - \收敛,所以若| (-l)n(l-cos^-) |收敛,即苕(一1)”(1 —cos])绝对收敛’ 应选(C). (3) 【答案】(B). 【解】 曲线的切线向量为T= {1, —2t,3/}, 由{ 1, — 2t,3t'} • {1,2,1} = 0得* 儿= ,上2 = 1,故与平面z+2y + z = 4平行的切线有2条,应选(B). (4) 【答案】(C). I2j:3 , zVO, [6x2. 工<0, 【解】/Q) = /(x)= 〔4工“,工$0, \\2r2 ,工>0, (12x ,工 V 0, 显然 (0) = = 0, f'\x ) = \ 】24工,工》0, (0) = lim f■(王? = 12, /+(0) — lim 彳— 24, _。一 工 一。+ 工 因为/*(0) 丰/:(0),所以/(n>(0)存在的最高阶数n = 2,应选(C). (5) 【答案】(A). 【解】 因为鼻与5线性无关,所以三元齐次线性方程组AX = 0的基础解系中至少含2个解向量, 即3-r(A) >2,得r(A) W 1,而选项(B)(C)(D)中矩阵的秩都大于1,所以均不对,只有选项(A)正确. —、 _________ 丄 1 (1)【解】 由 1— / —工 2 = — [(1 — J;2 ) 2 — 1]〜—X 2(X — 0),得 eJ — sin jc — 1 ex — sin x 1 .. e — cos 工 lim............ = lim--------------- —=lim--------------- = lim(eJ + sin x ) = 1. Z 1 - J\_ f L。 J_r2 x-0 X x*0- 2 M = f; • e= sin y + 2x f'2 , (2)【解】 d2 Z eJ sin y •(光• eJ cos y + 2,yf'[2)+ f\ • ex cos y + 2x(/ti • ex cos y + 2》兀) dj:3y sin 2y • f"n + 2eJ (ysin y + z cos y}f'[2 + f\ • eJ cos y + 4巧总. •3 f] (3)【解】 /(x — 2) dr = f (j; — 2)d(jc — 2) = j /(j?)dx * e"' dx = ?—丄 (1 + x2 ) d + o 3 e 四、【解】 特征方程为A2 +2A -3 = 0,特征根为心=—3,乙=1, yf + 2yf — 3y = 0 的通解为 y = C\+ C2eT ; 令 yr,+ 2yf — 3y = e_3j 的特解为 yQ (x ) = ar e_3j,代入得 a =----, 故yr,+ 2yf — 3y = e-3j的通解为 y = Cie-3x +C2eJ — (Cl ,C2 为任意常数). 五、【解】 补充= 0(x2 + y2 Wa'),取下侧, jj (j;3 az2 )dydz + (y3 + ax2 )dzdjr + (z3 + ay2 )cLr dyaz2 )dydz + (y3 + ax2 )dz Ajc + ( n 3 + ay2 ) da: dy , 工+工] 工] (3 az2) dydz + (j/3 + ax2 )dz djr + (z3 + ay2 ) d j? (x2 + y2 + z2 )dv = 3] d^J2 r 6tt 5 0 5“°" = o 5 JJ(h 3 az2 )dydz + (y3 -ax2 }Azdx + (n3 ay2 } Ajc Ay =IJaj/2 dj: dj/ = 一a JJ r/dzdy = —-| (j:2 + y2 )dj?dy 2+/" 2+2 故『(z3 + az2 )dj/d^ + (y3 ax2 )dzda: + Cz3 ay2 dy =竺a5 + -7-a5 = ^7ra5. JJ 5 4 20 s 六、 【解】 不妨设0 V , V工2,由拉格朗日中值定理得 /(xi ) = /(x 1) — /(0)=尸(£1 )工 1 ,其中 0 V & Vg, +工2)—于(工2)= F侯2)工\ '其中工2 < f 2 V工1 +工2' 因为厂(工)V0,所以/(^)单调递减,又因为<e2,所以厂(£])>/'(5), 即 /(^ 1)> f〈工 \ + 工2)一/(工2),故 f〈工 \ +无2)V /(JC 1 ) + 才(工2)・ 七、 【解】 直线段OM-X = & ,歹=护,N = “,t从0到1 ,功W为 W = [ yzAjc zx dy xy Az = | 3^r)^t2 At = gr)g・ J OM JO 下面求W = 昭 在条件鸟+ £ +匚=1(£ MO,” M0,r 2 0)下的最大值. a b c / ez 令F(g诃,丫 ,入)=gr)g +入U —尹—务 3F 0, 由打3F 2A 0, 得V dF 开 0, dF 0, 匸2 2 c* 2 匸2 2 尸 2 -I 从而异=^ =尹’即得尹= ^ = 7=r于是得 由问题的实际意义知W__ =^abc. 八、【证明】(1)因为a2,a3,a4线性无关,所以a2,a3线性无关, 又因为a} ,a2,a3线性相关,所以a〔可由a2 ,a3线性表示. (2)a4不可由«i ,a2 ,a3线性表示, 若a。可由ax ,a2 ,a3线性表示,因为5可由a2 ,a3线性表示,所以a4可由a2,a3线性表示,从而业,5,叫 线性相关,矛盾,所以5不可由 ,a2 ,a3线性表示. 九、【解】(1)设 Qi •Z 1 § 1 + 无 2 § 2 + 春 3 =(5,§2,§3) 工2 攵3 对此方程组的增广矩阵作初等行变换 1 1 1 讨; 1 1 1 1 !卩)=I 1 2 3 2 1 2 0 '] 4 9 : 3/ '0 3 8 2/ 、0 0 1 1 得唯一解(2, —2,1)丁,故有0 = 2§】一2饥 + §3・ (2)由于,故 A P =么 十、填空题 5 (1)【答案月 辽. 【解】 由 ABC U AB 且 P(AB) = 0 得 P(ABC) = 0,则 PCABC) = PCA+B+C) = 1-PCA+B+C) =1 -P(A) -P(B) -P(C) + P(AE) + P(AC) +P(BC) — P(ABC) =1-# + + =寻 4 (2)【答案】 y. 【解】 随机变量X的概率密度为 e~x ,工〉0, 心)= 0, 工 £ 0, •+OO =[ (z + e~2x ) e_J dx = fI +8 x e-J dx + 则 E(X +「x) =J, e~3x dz J o v o • o •+8 "2) + * o e~3x d(3rr )= 1十4-— 3 = — 3 - 十一、【解】随机变量X的概率密度为 呼 ,—00 V z <+ 00 随机变量Y的概率密度为 1 石' —7T V』V兀9 几。)= 0, 其他 因为随机变量X,Y相互独立,所以(X,Y)的联合密度函数为 (工-〃)2 ------- 1 ------e 2? —00 V H V+ 00 , — 7t V y V 7T , /(Z,y) = =< 2tt丿2兀er lo, 其他.Fz(z) = P{X + Y^z} = II f (x 工+yW: 一" e 一 (工-")2 =殆 i L 仔】 刃 「 -8 伍 1 , 2o2 山=U d厂Z~y -1-eF沽 d X — fJL 乙 7t J —K J —83 ^/27 x 一 p. a 務r%= / z — y — 口 _ dy dy 2jc, a z — y — u -剳 n _ ) _ 〃 z — y — R ① d 0(Z)dz , 故随机变量Z的概率密度为 *)5Z——7C——fJL