当前位置:首页>文档>《高数(一)》数学公式_成考本科-所有考试科目-近10年真题和答案+2026备考通关资料大全_高数一-近10年真题和答案+2026成考本科备考通关资料大全

《高数(一)》数学公式_成考本科-所有考试科目-近10年真题和答案+2026备考通关资料大全_高数一-近10年真题和答案+2026成考本科备考通关资料大全

  • 2026-04-15 15:06:30 2026-02-28 18:18:15

文档预览

《高数(一)》数学公式_成考本科-所有考试科目-近10年真题和答案+2026备考通关资料大全_高数一-近10年真题和答案+2026成考本科备考通关资料大全
《高数(一)》数学公式_成考本科-所有考试科目-近10年真题和答案+2026备考通关资料大全_高数一-近10年真题和答案+2026成考本科备考通关资料大全
《高数(一)》数学公式_成考本科-所有考试科目-近10年真题和答案+2026备考通关资料大全_高数一-近10年真题和答案+2026成考本科备考通关资料大全
《高数(一)》数学公式_成考本科-所有考试科目-近10年真题和答案+2026备考通关资料大全_高数一-近10年真题和答案+2026成考本科备考通关资料大全
《高数(一)》数学公式_成考本科-所有考试科目-近10年真题和答案+2026备考通关资料大全_高数一-近10年真题和答案+2026成考本科备考通关资料大全
《高数(一)》数学公式_成考本科-所有考试科目-近10年真题和答案+2026备考通关资料大全_高数一-近10年真题和答案+2026成考本科备考通关资料大全
《高数(一)》数学公式_成考本科-所有考试科目-近10年真题和答案+2026备考通关资料大全_高数一-近10年真题和答案+2026成考本科备考通关资料大全
《高数(一)》数学公式_成考本科-所有考试科目-近10年真题和答案+2026备考通关资料大全_高数一-近10年真题和答案+2026成考本科备考通关资料大全
《高数(一)》数学公式_成考本科-所有考试科目-近10年真题和答案+2026备考通关资料大全_高数一-近10年真题和答案+2026成考本科备考通关资料大全
《高数(一)》数学公式_成考本科-所有考试科目-近10年真题和答案+2026备考通关资料大全_高数一-近10年真题和答案+2026成考本科备考通关资料大全
《高数(一)》数学公式_成考本科-所有考试科目-近10年真题和答案+2026备考通关资料大全_高数一-近10年真题和答案+2026成考本科备考通关资料大全
《高数(一)》数学公式_成考本科-所有考试科目-近10年真题和答案+2026备考通关资料大全_高数一-近10年真题和答案+2026成考本科备考通关资料大全

文档信息

文档格式
pdf
文档大小
0.666 MB
文档页数
12 页
上传时间
2026-02-28 18:18:15

文档内容

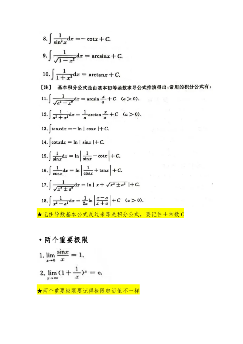
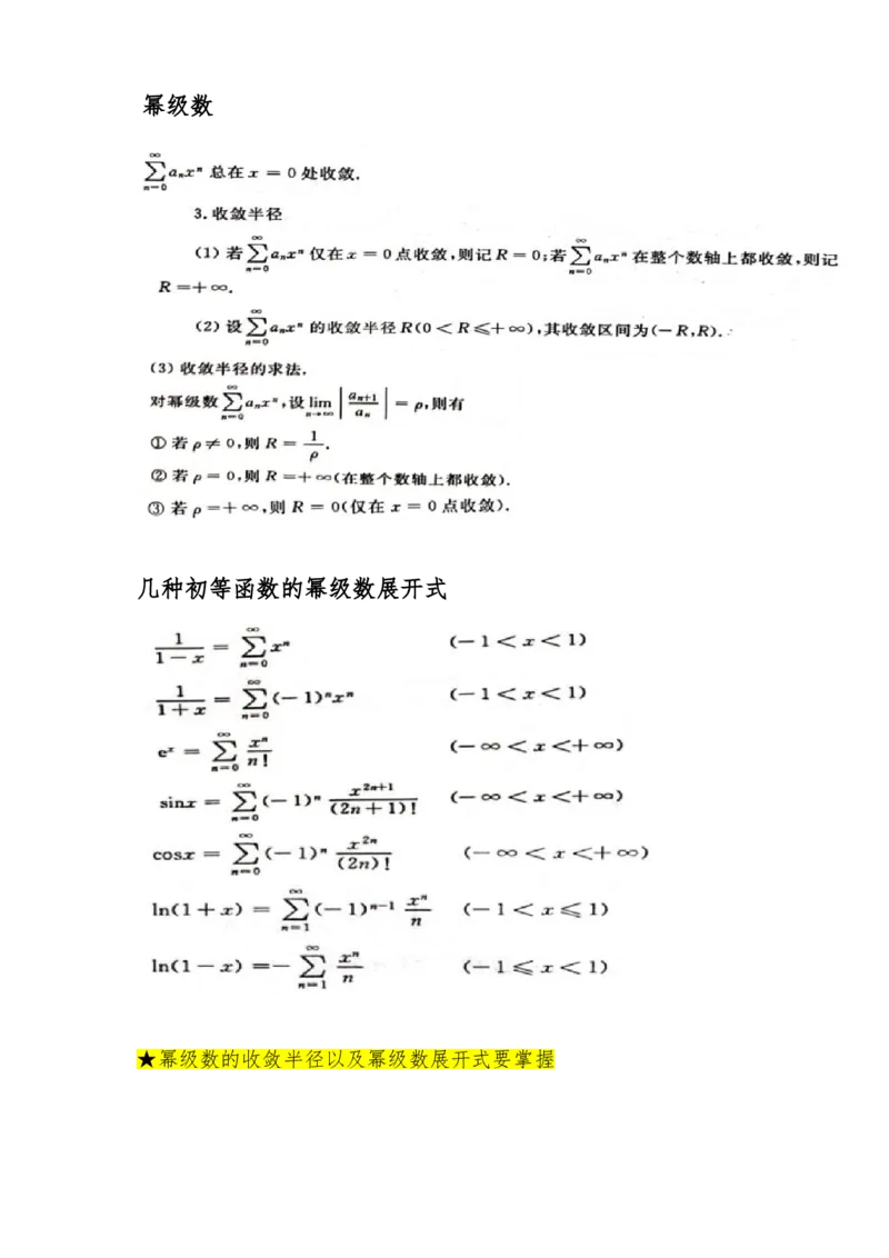
高等数学公式 ·导数公式 ·不定积分基本公式★记住导数基本公式反过来即是积分公式,要记住+常数 C ·两个重要极限 ★两个重要极限要记得极限趋近值不一样·常见的等价无穷小代换 ★在使用等价无穷小时要记住两个变量都为无穷小的前提下 ·中值定理与导数应用 ·第一换元积分法常用公式★凑微分公式不用背,但是可以理解公式如何推导出来的。 ·第二换元积分法(即引用新变量) ★倒代换和幂代换要求掌握,三角代换难度略大,根据自己情况理解 掌握。·定积分的应用-求平面图形的面积以及旋转体体积·空间解析几何★平面和直线方程,以及二次曲面对应的方程要求掌握。·无穷级数 ★收敛性根据自己情况掌握,不一定会考幂级数 几种初等函数的幂级数展开式 ★幂级数的收敛半径以及幂级数展开式要掌握·常微分方程★一阶线性微分方程-齐次和非齐次的通解公式都要掌握,二阶齐次 线性微分方程求解过程掌握,非齐次线性微分方程的公式可根据自己 情况理解.