当前位置:首页>文档>2025年中考数学几何模型综合训练(通用版)专题01双中点(线段)模型与双角平分线(角)模型解读与提分精练(教师版)_02中考总复习(2026版更新中)_02-数学-中考总复习

2025年中考数学几何模型综合训练(通用版)专题01双中点(线段)模型与双角平分线(角)模型解读与提分精练(教师版)_02中考总复习(2026版更新中)_02-数学-中考总复习

  • 2026-03-01 07:31:46 2026-03-01 07:17:38

文档预览

2025年中考数学几何模型综合训练(通用版)专题01双中点(线段)模型与双角平分线(角)模型解读与提分精练(教师版)_02中考总复习(2026版更新中)_02-数学-中考总复习
2025年中考数学几何模型综合训练(通用版)专题01双中点(线段)模型与双角平分线(角)模型解读与提分精练(教师版)_02中考总复习(2026版更新中)_02-数学-中考总复习
2025年中考数学几何模型综合训练(通用版)专题01双中点(线段)模型与双角平分线(角)模型解读与提分精练(教师版)_02中考总复习(2026版更新中)_02-数学-中考总复习
2025年中考数学几何模型综合训练(通用版)专题01双中点(线段)模型与双角平分线(角)模型解读与提分精练(教师版)_02中考总复习(2026版更新中)_02-数学-中考总复习
2025年中考数学几何模型综合训练(通用版)专题01双中点(线段)模型与双角平分线(角)模型解读与提分精练(教师版)_02中考总复习(2026版更新中)_02-数学-中考总复习
2025年中考数学几何模型综合训练(通用版)专题01双中点(线段)模型与双角平分线(角)模型解读与提分精练(教师版)_02中考总复习(2026版更新中)_02-数学-中考总复习
2025年中考数学几何模型综合训练(通用版)专题01双中点(线段)模型与双角平分线(角)模型解读与提分精练(教师版)_02中考总复习(2026版更新中)_02-数学-中考总复习
2025年中考数学几何模型综合训练(通用版)专题01双中点(线段)模型与双角平分线(角)模型解读与提分精练(教师版)_02中考总复习(2026版更新中)_02-数学-中考总复习
2025年中考数学几何模型综合训练(通用版)专题01双中点(线段)模型与双角平分线(角)模型解读与提分精练(教师版)_02中考总复习(2026版更新中)_02-数学-中考总复习
2025年中考数学几何模型综合训练(通用版)专题01双中点(线段)模型与双角平分线(角)模型解读与提分精练(教师版)_02中考总复习(2026版更新中)_02-数学-中考总复习
2025年中考数学几何模型综合训练(通用版)专题01双中点(线段)模型与双角平分线(角)模型解读与提分精练(教师版)_02中考总复习(2026版更新中)_02-数学-中考总复习
2025年中考数学几何模型综合训练(通用版)专题01双中点(线段)模型与双角平分线(角)模型解读与提分精练(教师版)_02中考总复习(2026版更新中)_02-数学-中考总复习
2025年中考数学几何模型综合训练(通用版)专题01双中点(线段)模型与双角平分线(角)模型解读与提分精练(教师版)_02中考总复习(2026版更新中)_02-数学-中考总复习
2025年中考数学几何模型综合训练(通用版)专题01双中点(线段)模型与双角平分线(角)模型解读与提分精练(教师版)_02中考总复习(2026版更新中)_02-数学-中考总复习
2025年中考数学几何模型综合训练(通用版)专题01双中点(线段)模型与双角平分线(角)模型解读与提分精练(教师版)_02中考总复习(2026版更新中)_02-数学-中考总复习
2025年中考数学几何模型综合训练(通用版)专题01双中点(线段)模型与双角平分线(角)模型解读与提分精练(教师版)_02中考总复习(2026版更新中)_02-数学-中考总复习
2025年中考数学几何模型综合训练(通用版)专题01双中点(线段)模型与双角平分线(角)模型解读与提分精练(教师版)_02中考总复习(2026版更新中)_02-数学-中考总复习
2025年中考数学几何模型综合训练(通用版)专题01双中点(线段)模型与双角平分线(角)模型解读与提分精练(教师版)_02中考总复习(2026版更新中)_02-数学-中考总复习
2025年中考数学几何模型综合训练(通用版)专题01双中点(线段)模型与双角平分线(角)模型解读与提分精练(教师版)_02中考总复习(2026版更新中)_02-数学-中考总复习
2025年中考数学几何模型综合训练(通用版)专题01双中点(线段)模型与双角平分线(角)模型解读与提分精练(教师版)_02中考总复习(2026版更新中)_02-数学-中考总复习
2025年中考数学几何模型综合训练(通用版)专题01双中点(线段)模型与双角平分线(角)模型解读与提分精练(教师版)_02中考总复习(2026版更新中)_02-数学-中考总复习
2025年中考数学几何模型综合训练(通用版)专题01双中点(线段)模型与双角平分线(角)模型解读与提分精练(教师版)_02中考总复习(2026版更新中)_02-数学-中考总复习
2025年中考数学几何模型综合训练(通用版)专题01双中点(线段)模型与双角平分线(角)模型解读与提分精练(教师版)_02中考总复习(2026版更新中)_02-数学-中考总复习
2025年中考数学几何模型综合训练(通用版)专题01双中点(线段)模型与双角平分线(角)模型解读与提分精练(教师版)_02中考总复习(2026版更新中)_02-数学-中考总复习
2025年中考数学几何模型综合训练(通用版)专题01双中点(线段)模型与双角平分线(角)模型解读与提分精练(教师版)_02中考总复习(2026版更新中)_02-数学-中考总复习
2025年中考数学几何模型综合训练(通用版)专题01双中点(线段)模型与双角平分线(角)模型解读与提分精练(教师版)_02中考总复习(2026版更新中)_02-数学-中考总复习
2025年中考数学几何模型综合训练(通用版)专题01双中点(线段)模型与双角平分线(角)模型解读与提分精练(教师版)_02中考总复习(2026版更新中)_02-数学-中考总复习
2025年中考数学几何模型综合训练(通用版)专题01双中点(线段)模型与双角平分线(角)模型解读与提分精练(教师版)_02中考总复习(2026版更新中)_02-数学-中考总复习
2025年中考数学几何模型综合训练(通用版)专题01双中点(线段)模型与双角平分线(角)模型解读与提分精练(教师版)_02中考总复习(2026版更新中)_02-数学-中考总复习
2025年中考数学几何模型综合训练(通用版)专题01双中点(线段)模型与双角平分线(角)模型解读与提分精练(教师版)_02中考总复习(2026版更新中)_02-数学-中考总复习
2025年中考数学几何模型综合训练(通用版)专题01双中点(线段)模型与双角平分线(角)模型解读与提分精练(教师版)_02中考总复习(2026版更新中)_02-数学-中考总复习
2025年中考数学几何模型综合训练(通用版)专题01双中点(线段)模型与双角平分线(角)模型解读与提分精练(教师版)_02中考总复习(2026版更新中)_02-数学-中考总复习
2025年中考数学几何模型综合训练(通用版)专题01双中点(线段)模型与双角平分线(角)模型解读与提分精练(教师版)_02中考总复习(2026版更新中)_02-数学-中考总复习
2025年中考数学几何模型综合训练(通用版)专题01双中点(线段)模型与双角平分线(角)模型解读与提分精练(教师版)_02中考总复习(2026版更新中)_02-数学-中考总复习
2025年中考数学几何模型综合训练(通用版)专题01双中点(线段)模型与双角平分线(角)模型解读与提分精练(教师版)_02中考总复习(2026版更新中)_02-数学-中考总复习
2025年中考数学几何模型综合训练(通用版)专题01双中点(线段)模型与双角平分线(角)模型解读与提分精练(教师版)_02中考总复习(2026版更新中)_02-数学-中考总复习
2025年中考数学几何模型综合训练(通用版)专题01双中点(线段)模型与双角平分线(角)模型解读与提分精练(教师版)_02中考总复习(2026版更新中)_02-数学-中考总复习
2025年中考数学几何模型综合训练(通用版)专题01双中点(线段)模型与双角平分线(角)模型解读与提分精练(教师版)_02中考总复习(2026版更新中)_02-数学-中考总复习
2025年中考数学几何模型综合训练(通用版)专题01双中点(线段)模型与双角平分线(角)模型解读与提分精练(教师版)_02中考总复习(2026版更新中)_02-数学-中考总复习
2025年中考数学几何模型综合训练(通用版)专题01双中点(线段)模型与双角平分线(角)模型解读与提分精练(教师版)_02中考总复习(2026版更新中)_02-数学-中考总复习
2025年中考数学几何模型综合训练(通用版)专题01双中点(线段)模型与双角平分线(角)模型解读与提分精练(教师版)_02中考总复习(2026版更新中)_02-数学-中考总复习
2025年中考数学几何模型综合训练(通用版)专题01双中点(线段)模型与双角平分线(角)模型解读与提分精练(教师版)_02中考总复习(2026版更新中)_02-数学-中考总复习

文档信息

文档格式
docx
文档大小
2.878 MB
文档页数
42 页
上传时间
2026-03-01 07:17:38

文档内容

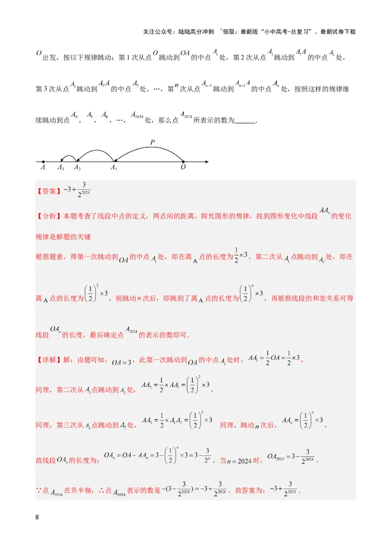
关注公众号:陆陆高分冲刺 ~领取:最新版“小中高考-总复习”、最新试卷下载 专题01 双中点(线段)模型与双角平分线(角)模型 线段与角度是初中几何的入门知识,虽然难度不高,但重要性是不言而喻的。这类模型通常由问题出 发,先由线段(角度)和差确定解题方向,然后辅以线段中点(角平分线)来解决。但是,对于有公共部 分的线段双中点模型和双角平分线模型,可以写出的线段(角度)和差种类较多,这就增加了思考的难度。 .........................................................................................................................................................................................2 模型1.线段的双中点模型...............................................................................................................................2 模型2.线段的多中点模型...............................................................................................................................7 模型3.双角平分线模型与角n等分线模型.................................................................................................11 ..................................................................................................................................................20 1关注公众号:陆陆高分冲刺 ~领取:最新版“小中高考-总复习”、最新试卷下载 模型1.线段的双中点模型 线段双中点模型:两线段在同一直线上且有一个共同的端点,求这两条线段的中点距离的模型我们称之为 线段的双中点模型。 条件:点M、N分别为线段AB、BC的中点,结论: . 证明:①当点B在线段AC上,如图1, 图1 ∵M、N分别为AB、BC的中点,∴ (中点定义); (中点定义); ∵MN=BM+BN,∴ ; ②当点B在线段AC的延长线上,如图2, 图2 ∵M、N分别为AB、BC的中点,∴ (中点定义); (中点定义); ∵MN=BM-BN,∴ ; ③当点B在线段CA的延长线上 图3 ∵M、N分别为AB、BC的中点,∴ (中点定义); (中点定义); ∵MN=BN-BM,∴ ; 2关注公众号:陆陆高分冲刺 ~领取:最新版“小中高考-总复习”、最新试卷下载 例1.(23-24七年级上·江苏扬州·期末)如图,点C在线段 上,点M、N分别是 的中点. (1)若 ,求 的长;(2)若 ,求 的长; 【答案】(1) (2) 【分析】本题考查了两点间的距离,关键是掌握线段中点的定义. (1)因为点 、 分别是 、 的中点,所以 , ,已知 , 可得 的长, ,可得 的长;(2)因为点 、 分别是 、 的中点,所以 , ,已知 ,可得 的长. 【详解】(1)解: 点 、 分别是 、 的中点, , , , , , , ; (2)解: 点 、 分别是 、 的中点, , , , . 例2.(23-24七年级上·江西赣州·期末)如图,点C在线段 上,点M,N分别是线段 的中点. (1)若 ,求线段 的长;(2)若 ,求线段 的长度. 【答案】(1) (2) 【分析】(1)根据线段中点的性质,可得 ,再根据线段的和以及线段的差,可得答案; (2)根据线段中点的性质,可得 ,再根据线段的和以及线段的差,可得答案. 本题考查了线段的长度问题,掌握线段中点的性质是解题的关键. 【详解】(1)∵点 分别是线段 的中点∴ ∵ , ∴ ∴ 3关注公众号:陆陆高分冲刺 ~领取:最新版“小中高考-总复习”、最新试卷下载 (2)∵点 分别是线段 的中点∴ ∵ ,∴ . 例3.(23-24七年级·山东淄博·期末)已知点 是线段 的中点,点 是线段 的三等分点.若线段 ,则线段 的长为( ) A. B. C. 或 D. 或 【答案】C 【分析】本题主要考查线段的和差,根据题意作图,分情况讨论,由线段之间的关系即可求解. 【详解】如图,∵点C是线段AB的中点,∴ , 当 时, ,∴ ; 当 时, ,∴ ;故选C. 例4.(23-24七年级上·安徽黄山·期末)如图,C,D是线段 上两点(点D在点C右侧),E,F分别 是线段 的中点.下列结论: ① ; ②若 ,则 ;③ ; ④ . 其中正确的结论是( ) A.①② B.②③ C.②④ D.③④ 【答案】B 【分析】本题主要考查了线段的和差运算,解题的关键是掌握中点的定义,根据图形,分析线段之间的和 差关系.结合图形,根据线段中点的定义与线段之间的和差关系逐一进行分析,即可进行解答. 【详解】解:∵E,F分别是线段 的中点.,∴ , ∴ ,故①不符合题意; ∵ ,∴ ,即 , 4关注公众号:陆陆高分冲刺 ~领取:最新版“小中高考-总复习”、最新试卷下载 ∴ ,∴ ,故②符合题意; ∵ ,∴ ,故③符合题意; ④∵ , ∴ , ∴ ,∴ ∴ ,故④不符合题意;故选:B. 例5.(23-24七年级上·贵州遵义·期末)已知线段 ,点C为线段 的中点,点D为线段 上的 三等分点,则线段 的长的最大值为( ) A.16 B.18 C.15 D.20 【答案】D 【分析】本题考查线段和差.根据题意先求出 ,再根据题干分情况讨论点D所在位置,继而 得到本题答案. 【详解】解:∵线段 ,点C为线段 的中点,∴ , ∵点D为线段 上的三等分点,∴①当点D靠近点 时: ,此时 ; ②当点D靠近点 时: ,此时 ; ∵ ,∴线段 的长的最大值为:20,故选:D. 例6.(23-24七年级上·辽宁阜新·期末)点 、 在数轴上所表示的数如图所示, 是数轴上一点: (1)将点 在数轴上向左移动2个单位长度,再向右移动7个单位长度,得到点 ,求出 、 两点间的距 离是多少个单位长度. (2)若点 在数轴上移动了 个单位长度到点 ,且 、 两点间的距离是4,求 的值. (3)若点 为 的中点,点 为 的中点,点 在运动过程中,线段 的长度是否发生变化?若发生 变化,请你说明理由:若不变,请你画出图形,并求出线段 的长度. 【答案】(1) 、 两点间的距离是 个单位长度 5关注公众号:陆陆高分冲刺 ~领取:最新版“小中高考-总复习”、最新试卷下载 (2) 的值为 或 (3)线段 的长度不发生变化, 【分析】本题考查了数轴上两点之间的距离、与线段中点有关的计算、线段的和差,采用数形结合与分类 讨论的思想是解此题的关键. (1)根据数轴上的点向右移动用加法,向左移动用减法求出 点表示的数为,即可得解; (2)分两种情况:当 点在 点左边时;当 点在 点右边时;分别求解即可得出答案;(3)分三种情 况:当 在 、 之间时;当 在 的左侧时;当 在 的右侧时;分别画出图形,计算即可得出答案. 【详解】(1)解:由数轴可得: 点表示的数为 , 点表示的数为 , ∴ 点表示的数为 , ∵ ,∴ 、 两点间的距离是 个单位长度; (2)解:∵ 、 两点间的距离是4,∴当 点在 点左边时, 点表示的数为 , ∵点 在数轴上移动了 个单位长度到点 , 点表示的数为 ,∴此时 ; 当 点在 点右边时, 点表示的数为 , ∵点 在数轴上移动了 个单位长度到点 , 点表示的数为 , ∴此时 ;综上所述, 的值为 或 ; (3)解:线段 的长度不发生变化, , 由数轴可得: 点表示的数为 , 点表示的数为 ,∴ , ∵点 为 的中点,点 为 的中点,∴ , , 如图,当 在 、 之间时,此时 ; 如图,当 在 的左侧时,此时 ; 如图,当 在 的右侧时,此时 ; 6关注公众号:陆陆高分冲刺 ~领取:最新版“小中高考-总复习”、最新试卷下载 综上所述,点 在运动过程中,线段 的长度不会发生变化, . 模型2.线段的多中点模型 条件:如图,点M在线段 的延长线上,且线段 ,第1次操作:分别取线段 和 的中点 、 ﹔第2次操作:分别取线段 和 的中点 , ﹔第3次操作:分别取线段 和 的 中点 , ;…连续这样操作n次,结论: . 证明:∵ 、 是 和 的中点,∴ , , ∴ ,∵ 、 是 和 的中点, ∴ , ,∴ , ∵ , 是 和 的中点,∴ , , ∴ ,……发现规律: , 例1.(23-24七年级上·贵州六盘水·期末)如图,数轴上的点 为原点,点 表示的数为 ,动点 从点 7关注公众号:陆陆高分冲刺 ~领取:最新版“小中高考-总复习”、最新试卷下载 出发,按以下规律跳动:第1次从点 跳动到 的中点 处,第2次从点 跳动到 的中点 处, 第3次从点 跳动到 的中点 处,…,第 次从点 跳动到 的中点 处,按照这样的规律继 续跳动到点 , , ,…, 处,那么点 所表示的数为 . 【答案】 【分析】本题考查了线段中点的定义,两点间的距离,探究图形的规律,找到图形变化中线段 的变化 规律是解题的关键 根据题意,得第一次跳动到 的中点 处,即在离 点的长度为 ,第二次从 点跳动到 处,即在 离 点的长度为 ,则跳动n次后,即跳到了离 点的长度为 ,再根据线段的和差关系可得 线段 的长度,最后确定点 的表示的数即可. 【详解】解:由题可知: ,此第一次跳动到 的中点 处时, , 同理,第二次从 点跳动到 处, , 同理,第三次从 点跳动到 处, 同理,跳动 次后, , 故线段 的长度为: ,当 时, , ∵点 在负半轴,∴点 表示的数是 ,故答案为: . 8关注公众号:陆陆高分冲刺 ~领取:最新版“小中高考-总复习”、最新试卷下载 例2.(23-24七年级上·河南濮阳·期末)已知:如图,点M在线段 的延长线上,且线段 ,第 一次操作:分别取线段 和 的中点 , ; 第二次操作:分别取线段 和 的中点 , ; 第三次操作:分别取线段 和 的中点 , ,连续这样操作4 次,则 . 【答案】1 【分析】本题主要考查了两点间的距离,熟练掌握两点的距离计算的方法进行计算及根据题意找出问题的 规律进行求解是解决本题的关键.根据题意可得 ,根据线段的差可得 , , 的长度表示,根据规律进行推理即可得出 ,即可得出答案. 【详解】解:根据题意可得,∵ ,∴ , ∵线段 和 的中点 ,∴ , 同理: ,∴ ,…… 依次类推, ,∴ ,故答案为:4. 例3.(23-24七年级上·湖南张家界·期末)如图,点M在线段 的延长线上,且线段 ,第一次操 作:分别取线段 和 的中点 、 ﹔第二次操作:分别取线段 和 的中点 , ﹔第三 次操作:分别取线段 和 的中点 , ;…连续这样操作2024次,则每次的两个中点所形成的 所有线段之和 . 9关注公众号:陆陆高分冲刺 ~领取:最新版“小中高考-总复习”、最新试卷下载 【答案】 【分析】本题考查了线段规律性问题,准确根据题意找出规律是解决本题的关键,比较有难度.根据线段 中点定义先求出 的长度,再由 的长度求出 的长度,从而找到 的规律,即可求出结果. 【详解】解:∵ 、 是 和 的中点,∴ , , ∴ ,∵ 、 是 和 的中点, ∴ , ,∴ , ∵ , 是 和 的中点,∴ , , ∴ ,……发现规律: , ∴ ∴ 两式相减,得 ,故答案为: . 例4.(23-24七年级上·广东·期中)学习了线段的中点之后,小明利用数学软件 做了n次取线段 中点实验:如图,设线段 ,第1次,取 的中点 ;第2次,取 的中点 ;第3次,取 的中点 ,第4次,取 的中点 ;… (1)请完成下列表格数据. 次数 线段 的长 10关注公众号:陆陆高分冲刺 ~领取:最新版“小中高考-总复习”、最新试卷下载 第1次 第2次 第3次 第4次 第5次 ①______ ②________ … … … (2)小明对线段 的表达式进行了如下化简: 因为 ,所以 , 两式相加,得 ,所以 . 请你参考小明的化简方法,化简 的表达式. (3)类比猜想: _____, =_____,随着取中点次数n的不断增大, 的长最终接近的值是____. 【答案】(1)① ;② (2) (3) 【分析】本题考查规律型:数字的变化类,找到规律并会表现出来是解题关键. (1)根据表中的规律可求出 ,根据 可得出答案; (2)参照小明对线段 的表达式的化简可得 的表达式;(3)根据类比猜想可得答案. 【详解】(1)解: , ; 故答案为: , ; (2)因为 ,所以 . 11关注公众号:陆陆高分冲刺 ~领取:最新版“小中高考-总复习”、最新试卷下载 两式相加,得 .所以 ; (3) ,随着取中点次数 的不断增大 的长最终接近的值是 . 故答案为: . 模型3.双角平分线模型与角n等分线模型 双角平分线模型:共顶点的三条射线组成的三个角中(两角共一边),已知任意两个角的平分线,求角平 分线夹角。下面是最完整的角平分线模型结论的推导过程,推导过程是需要掌握的,也并不难推,同学们 自己尝试着推导一遍,再去记结论,印象会更加深刻。 图1 图2 图3 图4 1)双角平分线模型(两个角无公共部分) 条件:如图1,已知:OD、OE分别平分∠AOB、∠BOC;结论: 。 证明:∵OD、OE分别平分∠AOB、∠BOC,∴ , , ∴ ,∴ 。 2)双角平分线模型(两个角有公共部分) 条件:如图1,已知:OD、OE分别平分∠AOB、∠BOC;结论: 。 证明:∵OD、OE分别平分∠AOB、∠BOC,∴ , , ∴ ,∴ 。 3)拓展模型:双角平分线模型(三个角围成一个周角) 12关注公众号:陆陆高分冲刺 ~领取:最新版“小中高考-总复习”、最新试卷下载 条件:如图3,已知∠AOB+∠BOC+∠AOC=360°,OP 平分∠AOC、OP 平分∠BOC; 1 2 结论: 。 证明:∵OP 平分∠AOC、OP 平分∠BOC,∴ , , 1 2 ∵∠AOB+∠BOC+∠AOC=360°,∴∠BOC+∠AOC=360°-∠AOB, ∴ 。 4)角n等分线模型 条件:如图4, 分别是 和 的平分线, 分别是 和 的平分线, 分别是 和 的平分线…, 分别是 和 的平分线;结论: . 证明: , 、 分别是 和 的平分线, , , 、 分别是 和 的平分线, , , 、 分别是 和 的平分线, , ,…, 由此规律得: 。 例1.(2023·河南周口·校联考一模)如图,点O为直线 上一点, 平分 , 平分 , 若 ,则 的度数为( ) 13关注公众号:陆陆高分冲刺 ~领取:最新版“小中高考-总复习”、最新试卷下载 A. B. C. D. 【答案】C 【分析】先根据 平分 , 平分 ,求出 ,再根据 ,求 出 ,即可得出答案. 【详解】解:∵点O为直线 上一点, 平分 , 平分 , ∴ , , ∵ ,∴ , ∵ ,∴ ,∴ , ∴ ,故C正确.故选:C. 【点睛】本题主要考查了角平分线的定义,解题的关键是理解角平分线的定义,求出 . 例2.(2023春·辽宁辽阳·七年级统考期末)如图,射线 平分 ,射线 平分 ,则下列 等式中成立的有( ) ① ;② ;③ ;④ . A.①② B.①③ C.②③ D.②④ 【答案】B 【分析】利用角平分线的性质计算角之间的数量关系即可. 【详解】解: 平分 , 平分 , 故①正确; 14关注公众号:陆陆高分冲刺 ~领取:最新版“小中高考-总复习”、最新试卷下载 故②错误; 故③正确; 故④错误;故选B. 【点睛】本题主要考查角平分线的性质,熟练掌握角平分线的性质以及熟练运用角的和差表示角的关系是 解决本题的关键. 例3.(2023春·黑龙江·七年级校考阶段练习)如图,射线 是 的角平分线,射线 是 的角半分线,射线 是 的角平分线,则下列结论成立的有( )个. ① ;② ;③ ;④ ; A.0个 B.1个 C.2个 D.3个 【答案】D 【分析】根据角平分线的定义以及角的和与差,计算即可求解. 【详解】解:由题意得: , , , ① ,故①正确; ② , 即 ,故②正确; 15关注公众号:陆陆高分冲刺 ~领取:最新版“小中高考-总复习”、最新试卷下载 ③ , 即 ,故③正确;④由①得 ,故④错误; 综上,①②③正确,共3个;故选:D. 【点睛】本题考查了角平分线的定义,解题的关键是利用了角平分线的定义和图中各角之间的和差关系. 例4.(2023·河南·七年级校联考期末)如图, 分别是 和 的平分线, 分别是 和 的平分线, 分别是 和 的平分线,…, 分别是 和 的平分线,则 的度数是 . 【答案】 【分析】由角平分线性质推理得 , , ,据此规律可解答. 【详解】解: , 、 分别是 和 的平分线, , , 、 分别是 和 的平分线, , , 、 分别是 和 的平分线, , ,…, 16关注公众号:陆陆高分冲刺 ~领取:最新版“小中高考-总复习”、最新试卷下载 由此规律得: .故答案为: . 【点睛】本题考查角平分线的性质、图形规律等知识,是基础考点,掌握相关知识是解题关键. 例5.(2022秋·山西太原·七年级统考期末)图,∠AOC=∠BOD=90°,OB在∠AOC的内部,OC在 ∠BOD的内部,OE是∠AOB的一条三等分线.请从A,B两题中任选一题作答. A.当∠BOC=30°时,∠EOD的度数为 . B.当∠BOC=α°时,∠EOD的度数为 (用含α的代数式表示). 【答案】 110°或130° 或 【分析】A、根据角的和差得到∠AOB=90°-30°=60°,根据OE是∠AOB的一条三等分线,分类讨论,当 ∠AOE= ∠AOB=20°,②当∠BOE′= ∠AOB=20°,根据角的和差即可得到结论; B、根据角的和差得到∠AOB,根据OE是∠AOB的一条三等分线,分类讨论,当∠AOE= ∠AOB,②当 ∠BOE′= ∠AOB,根据角的和差即可得到结论. 【详解】解:A、如图,∵∠AOC=90°,∠BOC=30°,∴∠AOB=90°-30°=60°, ∵OE是∠AOB的一条三等分线,∴①当∠AOE= ∠AOB=20°,∴∠BOE=40°, ∵∠BOD=90°,∴∠EOD=∠BOD+∠BOE=130°, ②当∠BOE′= ∠AOB=20°,∴∠DOE′=90°+20°=110°, 综上所述,∠EOD的度数为130°或110°,故答案为:130°或110°; B、∵∠AOC=90°,∠BOC=α°,∴∠AOB=90°-α°, 17关注公众号:陆陆高分冲刺 ~领取:最新版“小中高考-总复习”、最新试卷下载 ∵OE是∠AOB的一条三等分线,∴①当∠AOE= ∠AOB=30°- α°,∴∠BOE=90°-α-(30- α)°=60°- α°, ∵∠BOD=90°,∴∠EOD=∠BOD+∠BOE=150°- α°, ②当∠BOE′= ∠AOB=30°- α°,∴∠DOE′=90°+30°- α°=120°- α°, 综上所述,∠EOD的度数为150°- α°或120°- α°,故答案为:150°- α°或120°- α°; 【点睛】本题考查了余角和补角的定义,角的倍分,熟练掌握余角和补角的性质是解题的关键. 例6.(2023秋·辽宁沈阳·七年级统考期末)如图,点 , , 在同一条直线上, , 分别平分 和 .(1)求 的度数;(2)如果 .①求 的度数;②若 , 直接写出 的度数. 【答案】(1) ;(2)① ;② 或 . 【分析】(1)由角平分线定义可知 , ,再根据 和 可得结果;(2)①利用角之间的和差关系求解即可;②分当 在 上方时,当 在 下方时,利用角之间的和差关系求解即可. 【详解】(1)解:∵ , 分别平分 和 ,∴ , , 则 , ∵ ,∴ ; (2)①∵ , ,∴ , 由(1)可知, ,则 , ∴ , 18关注公众号:陆陆高分冲刺 ~领取:最新版“小中高考-总复习”、最新试卷下载 ②由①可知, ,∵ 平分 ,∴ , 当 在 上方时, ; 当 在 下方时, ;综上, 为 或 . 【点睛】本题考查角平分线的定义,利用角的和差关系求解的度数,解决问题的关键在于结合图形,找角 之间的和差关系. 例7.(2023秋·江苏无锡·七年级校考期末)解答题:(1)如图,若 , , 、 分别平分 、 ,求 的度数; (2)若 , 是平面内两个角, , , 、 分别平分 、 ,求 的度数.(用含 、 的代数式表示) 【答案】(1) (2)所以当射线 在 的内部时, ;当射线 在 的外部 时, . 【分析】(1)根据角平分线定义求出 和 度数,即可得出答案;(2)由于无法确定射线 的位置,所以需要分类讨论:若射线 在 的内部时,根据角平分线定义得出 , ,求出 ;若射线 在 的外部时,根据角平分线定义得 19关注公众号:陆陆高分冲刺 ~领取:最新版“小中高考-总复习”、最新试卷下载 出 , ,求出 ,代入求出即可. 【详解】(1)∵ , 平分 ,∴ ∵ 分别平分 , .∴ ∴ . (2)若射线 在 的内部,如图2 ∵ , , 、 分别平分 、 . ∴ ∴ . 所以当射线 在 的内部时, . 若射线 在 外部时,如图3 ∵ , , 、 分别平分 、 . ∴ ∴ . 所以当射线 在 的外部时, . 【点睛】本题考查的是角平分线的定义和角的有关计算,利用角平分线的定义求解角的度数是解题的关键. 例8.(2023春·山东济南·七年级统考期末)解答下列问题 如图1,射线 在 的内部,图中共有3个角: 和 ,若其中有一个角的度数 是另一个角度数的两倍,则称射线 是 的“巧分线”.(1)一个角的平分线 这个角的“巧分线”, (填“是”或“不是”).(2)如图2,若 ,且射线 是 的“巧分线”,则 (表示出所有可能的结果探索新知).(3)如图3,若 ,且射线 是 的“巧分线”,则 (用含α的代数式表示出所有可能的结果). 20关注公众号:陆陆高分冲刺 ~领取:最新版“小中高考-总复习”、最新试卷下载 【答案】(1)是(2)30°,20°或40°(3) 或 或 【分析】(1)根据“巧分线”定义,一个角的平分线将一个角均分成两个等角,大角是这两个角的两倍 即可解答;(2)根据“巧分线”定义,分 、 、 三 种情况求解即可;(3) 根据“巧分线”定义,分 、 、 三种情况求解即可. 【详解】(1)解:如图1:∵ 平分 ,∴ , ∴根据巧分线定义可得 是这个角的“巧分线”.故答案为:是. (2)解:如图3:①当 时,则 ; ②当 ,则 ,解得: ; ③当 ,则 ,解得: . 综上, 可以为 . (3)解:如图3:①当 时,则 ; ②当 ,则 ,解得: ; ③当 ,则 ,解得: . 21关注公众号:陆陆高分冲刺 ~领取:最新版“小中高考-总复习”、最新试卷下载 综上, 可以为 . 【点睛】本题主要考查了新定义下的计算、角平分线的定义等知识点,读懂题意、理解“巧分线”的定义 是解题的关键. 1.(2023秋·福建泉州·七年级统考期末)在直线上任取一点A,截取 ,再截取 ,则 的中点 与 的中点 之间的距离为( ) A. B. C. 或 D. 或 【答案】C 【分析】分两种情况B, 在点A同侧时,B, 在点A两侧时,分别画出图形,求出结果即可. 【详解】解:①B, 在点A同侧时,如图所示: 是 的中点, 是 的中点, , , . ②B, 在点A两侧时,如图, 22关注公众号:陆陆高分冲刺 ~领取:最新版“小中高考-总复习”、最新试卷下载 是 的中点, 是 的中点, , , . 综上: 与 之间距离为 或 ,故C正确.故选:C. 【点睛】本题主要考查了线段中点的计算,解题的关键是分类讨论,画出图形,数形结合. 2.(2023秋·江西上饶·七年级统考期末)如图,C、D是线段 上两点,M、N分别是线段 的中 点,下列结论:①若 ,则 ;②若 ,则 ;③ ; ④ . 其中正确的结论是( ) A.①②③ B.③④ C.①②④ D.①②③④ 【答案】A 【分析】根据线段中点的定义与线段的和差结合图形逐一进行分析即可. 【详解】解:如图, ∵M、N分别是线段 的中点,∴ , , ∵ , ∴ , ∴ , ∴ , ∴ ,即 ,故①符合题意; ∵ , ∴ , ∴ , ∴ ,故②符合题意; ∵ , ∴ ,故③符合题意; ∵ , , ∴ , ∵ , , ∴ ,故④不符合题意, 故选:A. 23关注公众号:陆陆高分冲刺 ~领取:最新版“小中高考-总复习”、最新试卷下载 【点睛】本题考查了线段的和差运算,能够利用中点的性质及线段的和差关系求解一些线段之间的关系是 解本题的关键. 3.(2023秋·江苏徐州·七年级校考期末)如图,点M在线段AN的延长线上,且线段 ,第一次操 作:分别取线段 和 的中点 、 ;第二次操作:分别取线段 和 的中点 , ;第三 次操作:分别取线段 和 的中点 , ;…连续这样操作2023次,则每次的两个中点所形成的 所有线段之和 ( ) A. B. C. D. 【答案】C 【分析】根据 , 分别为 的中点,求出 的长度,再由 的长度求出 的长度,找到 的规律即可求出 的值. 【详解】解:∵ , 分别为 的中点, ∴ , ∵ 分别为 的中点, ∴ , ∵ 分别为 的中点, ∴ ,……由此可得: , 24关注公众号:陆陆高分冲刺 ~领取:最新版“小中高考-总复习”、最新试卷下载 ∴ , 故选C. 【点睛】本题考查线段中点的有关计算,有理数的简便运算,相对较难,根据题意找出规律是解题的关键. 4.(2023秋·河南驻马店·七年级统考期末)如图,已知 ,以点 为顶点作直角 ,以点 为端点作一条射线 .通过折叠的方法,使 与 重合,点 落在点 处, 所在的直线为折痕, 若 ,则 ( ). A. B. C. D. 【答案】C 【分析】利用角平分线的定义求出 即可解决问题. 【详解】解: 平分 , , , , , , ,故选:C. 【点睛】本题考查角的和差定义,角平分线的定义等知识,解题的关键是熟练掌握基本知识,属于中考常 考题型. 5.(2023秋·山西大同·七年级统考期末)在 的内部作射线 ,射线 把 分成两个角, 分别为 和 ,若 或 ,则称射线 为 的三等分线. 若 ,射线 为 的三等分线,则 的度数为( ) A. B. C. 或 D. 或 【答案】C 【分析】根据题意得出 或 ,再根据角之间的数量关系,得出 ,综合 即可得出答案. 【详解】解:∵ ,射线 为 的三等分线. 25关注公众号:陆陆高分冲刺 ~领取:最新版“小中高考-总复习”、最新试卷下载 ∴ 或 , ∴ ,∴ 的度数为 或 .故选:C. 【点睛】本题考查了角度的计算,理解题意,分类讨论是解本题的关键. 6.(2023春·山东青岛·七年级统考开学考试)如图,有两根木条,一根 长为 ,另一根 长为 ,在它们的中点处各有一个小圆孔 (圆孔直径忽略不计, 抽象成两个点),将它们的 一端重合,放置在同一条直线上,此时两根木条的小圆孔之间的距离 是 . 【答案】 或 【分析】分两种情况画出图形求解即可. 【详解】解:(1)当A、C(或B、D)重合,且剩余两端点在重合点同侧时, (厘米); (2)当B、C(或A、C)重合,且剩余两端点在重合点两侧时, (厘米). 所以两根木条的小圆孔之间的距离 是 或 . 故答案为: 或 . 【点睛】此题考查了两点之间的距离问题,正确画图很重要,本题渗透了分类讨论的思想,体现了思维的 严密性,在今后解决类似的问题时,要防止漏解. 7.(23-24七年级上·四川成都·阶段练习)如图所示,已知 是线段 上的一个点, 是 的 中点, 为 中点,且满足 ,求 . 26关注公众号:陆陆高分冲刺 ~领取:最新版“小中高考-总复习”、最新试卷下载 【答案】 【分析】本题考查了两点间的距离和中点的性质等知识点,由 和 推出 ,由 M为 的中点可得出 的长,进而可得 的长度,由 N为 的中点可得出 的长度,进而 即可求出 的值.根据各线段之间的关系求出 的长度是解题的关键. 【详解】∵ ,∴ ,∴ , ∵ ,∴ ,∵M为 的中点,∴ ,∴ ,∴ , ∵N为 的中点,∴ ,∴ ,∴ ,故答案为: . 8.(2023秋·福建福州·七年级校考期末)已知线段 和线段 在同一直线上,线段 (A在左,B在 右)的长为a,长度小于 的线段 (D在左,C在右)在直线 上移动,M为 的中点,N为 的中点,线段 的长为b,则线段 的长为 (用a,b的式子表示). 【答案】 / 【分析】根据题意画出图形,分情况讨论,再利用线段和差分别表示线段 的长度即可. 【详解】解:∵M为 的中点,N为 的中点,∴ , . ∵线段 和线段 在同一直线上,线段 (A在左,B在右)的长为a, 长度小于 的线段 (D在左,C在右)在直线 上移动,∴分以下5种情况说明: ①当 在 左侧时,如图1, 即 , , , ; ②当点D与点A重合时,如图2, 27关注公众号:陆陆高分冲刺 ~领取:最新版“小中高考-总复习”、最新试卷下载 即 , ; ③当 在 内部时,如图3, 即 , ; ④当点C在点B右侧时,同理可得: ; ⑤当 在 右侧时,同理可得: ; 综上所述:线段 的长为 .故答案为: . 【点睛】本题考查线段的和差,根据题意画出对应情况的图形是解题的关键,注意分类讨论思想的运用. 9.(2023秋·湖北武汉·七年级统考期末)如图,点C,D在线段 上,P,Q分别是 的中点,若 ,则 . 【答案】1 【分析】先由线段 中点定义得出 , ,又因为 ,利用线段和差即可求得 , ,代入 即可求解. 28关注公众号:陆陆高分冲刺 ~领取:最新版“小中高考-总复习”、最新试卷下载 【详解】解∶∵,P,Q分别是 , 的中点,∴ , , ∵ ,∴ , ,∴ ,故答案为∶1. 【点睛】本题考查线段和差倍分,熟练掌握线段和差倍分的运算是解题的关键. 10.(2023秋·广东梅州·七年级校考阶段练习)已知 ,由定点 引一条射线,使得 , 、 分别是 和 的平分线,则 度. 【答案】 或 【分析】分两种情况讨论,当射线 在 的内部时,当射线 在 的外部时,根据角平分线 的定义得出 ,结合图形即可求解. 【详解】解:分两种情况讨论,当射线 在 的内部时,如图所示, ∵ , , 、 分别是 和 的平分线, ∴ ∴ ; 当射线 在 的外部时,如图所示, ∵ , , 、 分别是 和 的平分线, ∴ ∴ ; 综上所述, 或 ,故答案为: 或 . 【点睛】本题考查了结合图形中角度的计算,角平分线的定义,数形结合,分类讨论是解题的关键. 29关注公众号:陆陆高分冲刺 ~领取:最新版“小中高考-总复习”、最新试卷下载 11.(2024·山东·七年级专题练习)如图,在∠AOB的内部有3条射线OC、OD、OE,若∠AOC=70°, ∠BOE= ∠BOC,∠BOD= ∠AOB,则∠DOE= °.(用含n的代数式表示) 【答案】 【分析】根据角的和差即可得到结论. 【详解】解:∵∠BOE= ∠BOC,∴∠BOC=n∠BOE, ∴∠AOB=∠AOC+∠BOC=70°+n∠BOE,∴∠BOD= ∠AOB= +∠BOE, ∴∠DOE=∠BOD-∠BOE= ,故答案为: . 【点睛】本题考查了角的计算,正确的识别图形是解题的关键. 12.(2023秋·福建福州·七年级校考期末)已知有理数a,b满足: .如图,在数轴上, 点O是原点,点A所对应的数是a,线段 在直线 上运动(点B在点C的左侧), . 下列结论:① ;②当点B与点O重合时, ; ③当点C与点A重合时,若点P是线段BC延长线上的点,则 ; ④在线段 运动过程中,若M为线段 的中点,N为线段 的中点,则线段 的长度不变. 所有结论正确的序号是 . 【答案】①③④ 【分析】①根据非负数的性质可得a和b的值,可判断;②如图1,根据数轴可直观得出; 30关注公众号:陆陆高分冲刺 ~领取:最新版“小中高考-总复习”、最新试卷下载 ③如图2,分别计算 , 的值可判断;④分四种情况,根据图形分别计算 的长即可可判断. 【详解】解:①∵ , ∵ ,∴ ,∴ ;故①正确; ②如图1,当点B与点O重合时, ; 故②不正确; ③如图2,当点C与点A重合时,若点P是线段 延长线上的点, ∴ ,∴ ;故③正确; ④∵M为线段 的中点,N为线段 的中点, ∴ 分四种情况:1)当C在O的左侧时,如图3, ; 2)当B,C在O的两侧时,如图4, ; 3)当B,C在线段 上时,如图5, 31关注公众号:陆陆高分冲刺 ~领取:最新版“小中高考-总复习”、最新试卷下载 ; 4)当B和C都在A的右边时,如图6, ; ∴在线段 运动过程中,若M为线段 的中点,N为线段 的中点,线段 的长度不变.故④正确; 故答案为:①③④. 【点睛】本题考查了绝对值和平方的非负性,数轴和线段的中点,线段的和差,熟练掌握线段中点的定义 是解题的关键. 13.(2023春·天津滨海新·七年级校考期中)如图, 为直线 上一点, , 平分 , 平分 , 平分 ,下列结论: ; 与 互补; ; .请你把所有正确结论的序号填写在横线上 . 【答案】 【分析】设 ,则 , ,由角平分线的定义得出 , , ,然后再逐项分析即可得到答案. 【详解】解:设 , , , 32关注公众号:陆陆高分冲刺 ~领取:最新版“小中高考-总复习”、最新试卷下载 , , 平分 , 平分 , 平分 , , , , ,故 正确,符合题意; , 度数未知, 与 不一定互补,故 错误,不符合题意; ,故 正确,符合题意; , , ,故 正确,符合题意;综上所述,正确的有: ,故答案为: . 【点睛】本题主要考查的是补角和余角的计算,角平分线的定义,熟练掌握角平分线的定义是解题的关键. 14.(2023春·安徽合肥·七年级校考开学考试)平面内, , 为 内部一点,射线 平 分 ,射线 平分 ,射线 平分 ,当 时, 的度数是 . 【答案】 【分析】首先根据角平分线的定义可得 ,再设 ,用含 的代数式表示出 和 ,根据题意列出方程可得答案. 【详解】解:当 在 外部时, 射线 平分 ,射找 平分 , , , , 33关注公众号:陆陆高分冲刺 ~领取:最新版“小中高考-总复习”、最新试卷下载 射线 平分 , ,设 ,则 , , ,解得 , ∴ ; 当 在 内部时, 射线 平分 ,射找 平分 , , , , 射线 平分 , ,设 ,则 , , ,解得: ,不合题意;综上, .故答案为: . 【点睛】本题考查了角平分线定义和角的有关计算的应用,主要考查学生计算能力和推理能力,注意要分 类讨论. 15.(2023秋·河南新乡·七年级统考期末)小明在学习了比较线段的长短时对下面一道题产生了探究的兴 趣: 如图1,点 在线段 上, , 分别是 , 的中点.若 , ,求 的长. (1)根据题意,小明求得 ______. (2)小明在求解(1)的过程中,发现 的长度具有一个特殊性质,于是他先将题中的条件一般化,并开 始深入探究.设 , 是线段 上任意一点(不与点 , 重合),小明提出了如下三个问题,请 你帮助小明解答.①如图1, , 分别是 , 的中点,则 ______. ②如图2, , 分别是 , 的三等分点,即 , ,求 的长. ③若 , 分别是 , 的 等分点,即 , ,则 ______. 【答案】(1)3(2)① ;② ;③ 【分析】(1)由 , ,得 ,根据 , 分别是 , 的中点,即得 , ,故 ; (2)①由 , 分别是 , 的中点,知 , ,即得 34关注公众号:陆陆高分冲刺 ~领取:最新版“小中高考-总复习”、最新试卷下载 ,故 ;②由 , ,知 , ,即得 ,故 ;③由 , ,知 , ,即得 ,故 . 【详解】(1)解: , , , , 分别是 , 的中点, , , ;故答案为: ; (2)解:① , 分别是 , 的中点, , , , , ;故答案为: ; ② , , , , , , ; ③ , , , , , , ,故答案为: . 【点睛】本题考查了线段的中点、线段的和差,解题的关键是掌握线段中点的定义及线段和差运算. 16.(2023秋·福建泉州·七年级校考期末)【概念与发现】 当点C在线段AB上, 时,我们称n为点C在线段AB上的“点值”,记作 . 例如,点C是AB的中点时,即 ,则 ;反之,当 时,则有 . 因此,我们可以这样理解:“ ”与“ ”具有相同的含义. 35关注公众号:陆陆高分冲刺 ~领取:最新版“小中高考-总复习”、最新试卷下载 (1)【理解与应用】如图,点C在线段AB上.若 , ,则 ________;若 , 则 ________. (2)【拓展与延伸】已知线段 ,点P以1cm/s的速度从点A出发,向点B运动.同时,点Q以 3cm/s的速度从点B出发,先向点A方向运动,到达点A后立即按原速向点B方向返回.当P,Q其中一点 先到达终点时,两点均停止运动.设运动时间为t(单位:s). ①小王同学发现,当点Q从点B向点A方向运动时, 的值是个定值,求m的值; ②t为何值时, . 【答案】(1) , (2)① ;②1或8 【分析】(1)根据“点值”的定义得出答案;(2)①设运动时间为 ,再根据 的值 是个定值即可求出 的值;②分点 从点 向点 方向运动时和点 从点 向点 方向运动两种情况分析 即可. 【详解】(1)解: , , , , , ,∴ ,∴ 故答案为: , ; (2)①设运动时间为 ,则 , ,根据“点值”的定义得: , , 的值是个定值, 的值是个定值, ; ②当点 从点 向点 方向运动时, , , ; 当点 从点 向点 方向运动时, , , , 的值为1或8. 36关注公众号:陆陆高分冲刺 ~领取:最新版“小中高考-总复习”、最新试卷下载 【点睛】本题考查了一元一次方程的应用,理解新定义并能运用是本题的关键. 17.(2023秋·河北邢台·七年级校联考期末)已知 , 平分 , 平分 . (1)如图1,当 , 重合时,求 的度数;(2)如图2,当 在 内部时,若 , 求 的度数;(3)当 和 的位置如图3时,求 的度数. 【答案】(1) (2) (3) 【分析】(1)求解 , ,可得答案; (2)先求解 , ,再证明 , ,结合角的和差运算可得答案;(3)设 ,可得 , 证明 , ,再利用角的和差关系可得答案. 【详解】(1)解:∵ , , 重合, 平分 , 平分 . ∴ , ,∴ ; (2)∵ 在 内部, , , ∴ , ,∵ 平分 , 平分 . ∴ , ,∴ . (3)设 , ,∴ , ∵ 平分 , 平分 ., ∴ , , ∴ . 【点睛】本题考查的是角的和差运算,角平分线的定义,熟练利用角的和差运算进行计算是解本题的关键. 18.(2024·广东广州·七年级校考期末)如图①,已知线段 , ,线段 在线段 上运动,E,F分别是 , 的中点. 37关注公众号:陆陆高分冲刺 ~领取:最新版“小中高考-总复习”、最新试卷下载 (1)若 ,则 ___________cm;(2)我们发现角的很多规律和线段一样,如图②,已知 在 内部转动, , 分别平分 和 ,若 , ,则 ___________.直接写出 , 和 的数量关系:___________. 【答案】(1) (2) , 【分析】(1)先求出 的长度,再根据线段中点的定义,分别求出 , 的长度,即可求解; (2)先求出 和 的和,再根据角平分线的定义,求出 和 的和,即可求解. 【详解】(1)解:∵ , , ,∴ , ∵ , 分别是 的中点,∴ , , ∴ . (2)∵ , ,∴ , ∵ 分别平分 和 ,∴ , , ∴ , ∴ . 由图可知: , , ∵ 分别平分 和 ,∴ , ∴ ,整理得: . 【点睛】本题主要考查了中点和角平分线的定义,解题的关键是熟练掌握中点和角平分线的定义,根据线 段和角度的和差关系进行求解. 19.(2023秋·湖南永州·七年级统考期末)点 为直线 上一点,在直线 同侧任作射线 ,使 得 .(1)如图一,过点 作射线 ,使 为 的角平分线,若 时,则 38关注公众号:陆陆高分冲刺 ~领取:最新版“小中高考-总复习”、最新试卷下载 ________ , ________ ;(2)如图二,过点O作射线 ,当 恰好为 的角平分 线时,另作射线 ,使得 平分 .①若 ,求 的度数(写出推理过程); ②若 ,则 的度数是________(直接填空). (3)过点 作射线 ,当 恰好为 的角平分线时,另作射线 ,使得 平分 ,当 时,则 的度数是________.(在稿纸上画图分析,直接填空) 【答案】(1)65°,40°(2)①135°,②135°(3)35°或55° 【分析】(1)根据 求出 ,利用角平分线的定义得到 ,再根据 进行求解即可;(2)①由平角的定义,角平分线的定义求出 ,根 据 进行求解即可;②同①法,进行计算即可;(3)分 在 内部 和 在 外部两种情况,进行讨论求解即可. 【详解】(1)解:∵ , ,∴ , ∵ 为 的角平分线,∴ ,∴ ;故答案为: ; (2)①解:∵ , ,∴ , 又∵ 为 的角平分线, 为 的角平分线, ∴ , ,∴ , ②∵ , ,∴ , 又∵ 为 的角平分线, 为 的角平分线, ∴ , , ∴ ;故答案为: ; (3)①当 在 内部时,如图:∵ , 平分 ,∴ , 39关注公众号:陆陆高分冲刺 ~领取:最新版“小中高考-总复习”、最新试卷下载 ∵ ,∴ ,∵ 平分 ,∴ , ②当 在 外部时,如图:∵ , 平分 ,∴ , ∵ ,∴ ,∵ 平分 ,∴ ; 综上: 的度数是 或 ;故答案为: 或 . 【点睛】本题考查几何图形中角度的计算,角平分线的相关计算.解题的关键是正确的识图,理清角之间 的和差关系. 20.(2023春·黑龙江哈尔滨·七年级校考阶段练习)已知:射线 在 内部, 平分 . (1)如图1,求证: ;(2)如图2,作 平分 ,求证: ; (3)如图3,在(2)的条件下,当 时,作射线 的反向延长线 , 在 的下方,且 ,反向延长射线 得到射线 ,射线 在 内部, 是 的平分线,若 , ,求 的度数. 【答案】(1)见解析(2)见解析(3) 【分析】(1)通过角平分线的定义计算即可证明;(2)通过角平分线的定义计算即可证明; (3)设 , ,通过角平分线的定义以及垂直的定义求得 , ,计算得出 , 等,再求得 ,据此即可求解. 【详解】(1)证明:∵ 平分 ,∴ ,∴ ; 40关注公众号:陆陆高分冲刺 ~领取:最新版“小中高考-总复习”、最新试卷下载 (2)证明:∵ 平分 ,∴ ,∴ = ; (3)解:设 , ,∵ 平分 ,∴ , ∵ ,∴ , , ∵ ,∴ , ∴ , ,即 , , , ∵ , 平分 ,∴ , ,∵ ,∴ , ∵ 是 的平分线,∴ , ∵反向延长射线 得到射线 ,∴ , ∴ ,∴ , ∵ ,∴ , ∴ , , ∴ . 【点睛】本题考查的是角平分线的含义,垂直的定义,角的和差运算,一元一次方程的应用,理解题意, 利用方程思想解决问题是解本题的关键. 41关注公众号:陆陆高分冲刺 ~领取:最新版“小中高考-总复习”、最新试卷下载 42
基本 文件 流程 错误 SQL 调试
  1. 请求信息 : 2026-03-01 07:32:38 HTTP/1.1 GET : https://www.yeyulingfeng.com/wendang/329969.html
  2. 运行时间 : 0.172819s [ 吞吐率:5.79req/s ] 内存消耗:5,381.65kb 文件加载:144
  3. 缓存信息 : 0 reads,0 writes
  4. 会话信息 : SESSION_ID=d3ef4047e988c0384bc95013dd3618e9
  1. /yingpanguazai/ssd/ssd1/www/wwww.yeyulingfeng.com/public/index.php ( 0.79 KB )
  2. /yingpanguazai/ssd/ssd1/www/wwww.yeyulingfeng.com/vendor/autoload.php ( 0.17 KB )
  3. /yingpanguazai/ssd/ssd1/www/wwww.yeyulingfeng.com/vendor/composer/autoload_real.php ( 2.49 KB )
  4. /yingpanguazai/ssd/ssd1/www/wwww.yeyulingfeng.com/vendor/composer/platform_check.php ( 0.90 KB )
  5. /yingpanguazai/ssd/ssd1/www/wwww.yeyulingfeng.com/vendor/composer/ClassLoader.php ( 14.03 KB )
  6. /yingpanguazai/ssd/ssd1/www/wwww.yeyulingfeng.com/vendor/composer/autoload_static.php ( 6.05 KB )
  7. /yingpanguazai/ssd/ssd1/www/wwww.yeyulingfeng.com/vendor/topthink/think-helper/src/helper.php ( 8.34 KB )
  8. /yingpanguazai/ssd/ssd1/www/wwww.yeyulingfeng.com/vendor/topthink/think-validate/src/helper.php ( 2.19 KB )
  9. /yingpanguazai/ssd/ssd1/www/wwww.yeyulingfeng.com/vendor/ralouphie/getallheaders/src/getallheaders.php ( 1.60 KB )
  10. /yingpanguazai/ssd/ssd1/www/wwww.yeyulingfeng.com/vendor/topthink/think-orm/src/helper.php ( 1.47 KB )
  11. /yingpanguazai/ssd/ssd1/www/wwww.yeyulingfeng.com/vendor/topthink/think-orm/stubs/load_stubs.php ( 0.16 KB )
  12. /yingpanguazai/ssd/ssd1/www/wwww.yeyulingfeng.com/vendor/topthink/framework/src/think/Exception.php ( 1.69 KB )
  13. /yingpanguazai/ssd/ssd1/www/wwww.yeyulingfeng.com/vendor/topthink/think-container/src/Facade.php ( 2.71 KB )
  14. /yingpanguazai/ssd/ssd1/www/wwww.yeyulingfeng.com/vendor/symfony/deprecation-contracts/function.php ( 0.99 KB )
  15. /yingpanguazai/ssd/ssd1/www/wwww.yeyulingfeng.com/vendor/symfony/polyfill-mbstring/bootstrap.php ( 8.26 KB )
  16. /yingpanguazai/ssd/ssd1/www/wwww.yeyulingfeng.com/vendor/symfony/polyfill-mbstring/bootstrap80.php ( 9.78 KB )
  17. /yingpanguazai/ssd/ssd1/www/wwww.yeyulingfeng.com/vendor/symfony/var-dumper/Resources/functions/dump.php ( 1.49 KB )
  18. /yingpanguazai/ssd/ssd1/www/wwww.yeyulingfeng.com/vendor/topthink/think-dumper/src/helper.php ( 0.18 KB )
  19. /yingpanguazai/ssd/ssd1/www/wwww.yeyulingfeng.com/vendor/symfony/var-dumper/VarDumper.php ( 4.30 KB )
  20. /yingpanguazai/ssd/ssd1/www/wwww.yeyulingfeng.com/vendor/guzzlehttp/guzzle/src/functions_include.php ( 0.16 KB )
  21. /yingpanguazai/ssd/ssd1/www/wwww.yeyulingfeng.com/vendor/guzzlehttp/guzzle/src/functions.php ( 5.54 KB )
  22. /yingpanguazai/ssd/ssd1/www/wwww.yeyulingfeng.com/vendor/topthink/framework/src/think/App.php ( 15.30 KB )
  23. /yingpanguazai/ssd/ssd1/www/wwww.yeyulingfeng.com/vendor/topthink/think-container/src/Container.php ( 15.76 KB )
  24. /yingpanguazai/ssd/ssd1/www/wwww.yeyulingfeng.com/vendor/psr/container/src/ContainerInterface.php ( 1.02 KB )
  25. /yingpanguazai/ssd/ssd1/www/wwww.yeyulingfeng.com/app/provider.php ( 0.19 KB )
  26. /yingpanguazai/ssd/ssd1/www/wwww.yeyulingfeng.com/vendor/topthink/framework/src/think/Http.php ( 6.04 KB )
  27. /yingpanguazai/ssd/ssd1/www/wwww.yeyulingfeng.com/vendor/topthink/think-helper/src/helper/Str.php ( 7.29 KB )
  28. /yingpanguazai/ssd/ssd1/www/wwww.yeyulingfeng.com/vendor/topthink/framework/src/think/Env.php ( 4.68 KB )
  29. /yingpanguazai/ssd/ssd1/www/wwww.yeyulingfeng.com/app/common.php ( 0.03 KB )
  30. /yingpanguazai/ssd/ssd1/www/wwww.yeyulingfeng.com/vendor/topthink/framework/src/helper.php ( 18.78 KB )
  31. /yingpanguazai/ssd/ssd1/www/wwww.yeyulingfeng.com/vendor/topthink/framework/src/think/Config.php ( 5.54 KB )
  32. /yingpanguazai/ssd/ssd1/www/wwww.yeyulingfeng.com/config/alipay.php ( 3.59 KB )
  33. /yingpanguazai/ssd/ssd1/www/wwww.yeyulingfeng.com/vendor/topthink/framework/src/think/facade/Env.php ( 1.67 KB )
  34. /yingpanguazai/ssd/ssd1/www/wwww.yeyulingfeng.com/config/app.php ( 0.95 KB )
  35. /yingpanguazai/ssd/ssd1/www/wwww.yeyulingfeng.com/config/cache.php ( 0.78 KB )
  36. /yingpanguazai/ssd/ssd1/www/wwww.yeyulingfeng.com/config/console.php ( 0.23 KB )
  37. /yingpanguazai/ssd/ssd1/www/wwww.yeyulingfeng.com/config/cookie.php ( 0.56 KB )
  38. /yingpanguazai/ssd/ssd1/www/wwww.yeyulingfeng.com/config/database.php ( 2.48 KB )
  39. /yingpanguazai/ssd/ssd1/www/wwww.yeyulingfeng.com/config/filesystem.php ( 0.61 KB )
  40. /yingpanguazai/ssd/ssd1/www/wwww.yeyulingfeng.com/config/lang.php ( 0.91 KB )
  41. /yingpanguazai/ssd/ssd1/www/wwww.yeyulingfeng.com/config/log.php ( 1.35 KB )
  42. /yingpanguazai/ssd/ssd1/www/wwww.yeyulingfeng.com/config/middleware.php ( 0.19 KB )
  43. /yingpanguazai/ssd/ssd1/www/wwww.yeyulingfeng.com/config/route.php ( 1.89 KB )
  44. /yingpanguazai/ssd/ssd1/www/wwww.yeyulingfeng.com/config/session.php ( 0.57 KB )
  45. /yingpanguazai/ssd/ssd1/www/wwww.yeyulingfeng.com/config/trace.php ( 0.34 KB )
  46. /yingpanguazai/ssd/ssd1/www/wwww.yeyulingfeng.com/config/view.php ( 0.82 KB )
  47. /yingpanguazai/ssd/ssd1/www/wwww.yeyulingfeng.com/app/event.php ( 0.25 KB )
  48. /yingpanguazai/ssd/ssd1/www/wwww.yeyulingfeng.com/vendor/topthink/framework/src/think/Event.php ( 7.67 KB )
  49. /yingpanguazai/ssd/ssd1/www/wwww.yeyulingfeng.com/app/service.php ( 0.13 KB )
  50. /yingpanguazai/ssd/ssd1/www/wwww.yeyulingfeng.com/app/AppService.php ( 0.26 KB )
  51. /yingpanguazai/ssd/ssd1/www/wwww.yeyulingfeng.com/vendor/topthink/framework/src/think/Service.php ( 1.64 KB )
  52. /yingpanguazai/ssd/ssd1/www/wwww.yeyulingfeng.com/vendor/topthink/framework/src/think/Lang.php ( 7.35 KB )
  53. /yingpanguazai/ssd/ssd1/www/wwww.yeyulingfeng.com/vendor/topthink/framework/src/lang/zh-cn.php ( 13.70 KB )
  54. /yingpanguazai/ssd/ssd1/www/wwww.yeyulingfeng.com/vendor/topthink/framework/src/think/initializer/Error.php ( 3.31 KB )
  55. /yingpanguazai/ssd/ssd1/www/wwww.yeyulingfeng.com/vendor/topthink/framework/src/think/initializer/RegisterService.php ( 1.33 KB )
  56. /yingpanguazai/ssd/ssd1/www/wwww.yeyulingfeng.com/vendor/services.php ( 0.14 KB )
  57. /yingpanguazai/ssd/ssd1/www/wwww.yeyulingfeng.com/vendor/topthink/framework/src/think/service/PaginatorService.php ( 1.52 KB )
  58. /yingpanguazai/ssd/ssd1/www/wwww.yeyulingfeng.com/vendor/topthink/framework/src/think/service/ValidateService.php ( 0.99 KB )
  59. /yingpanguazai/ssd/ssd1/www/wwww.yeyulingfeng.com/vendor/topthink/framework/src/think/service/ModelService.php ( 2.04 KB )
  60. /yingpanguazai/ssd/ssd1/www/wwww.yeyulingfeng.com/vendor/topthink/think-trace/src/Service.php ( 0.77 KB )
  61. /yingpanguazai/ssd/ssd1/www/wwww.yeyulingfeng.com/vendor/topthink/framework/src/think/Middleware.php ( 6.72 KB )
  62. /yingpanguazai/ssd/ssd1/www/wwww.yeyulingfeng.com/vendor/topthink/framework/src/think/initializer/BootService.php ( 0.77 KB )
  63. /yingpanguazai/ssd/ssd1/www/wwww.yeyulingfeng.com/vendor/topthink/think-orm/src/Paginator.php ( 11.86 KB )
  64. /yingpanguazai/ssd/ssd1/www/wwww.yeyulingfeng.com/vendor/topthink/think-validate/src/Validate.php ( 63.20 KB )
  65. /yingpanguazai/ssd/ssd1/www/wwww.yeyulingfeng.com/vendor/topthink/think-orm/src/Model.php ( 23.55 KB )
  66. /yingpanguazai/ssd/ssd1/www/wwww.yeyulingfeng.com/vendor/topthink/think-orm/src/model/concern/Attribute.php ( 21.05 KB )
  67. /yingpanguazai/ssd/ssd1/www/wwww.yeyulingfeng.com/vendor/topthink/think-orm/src/model/concern/AutoWriteData.php ( 4.21 KB )
  68. /yingpanguazai/ssd/ssd1/www/wwww.yeyulingfeng.com/vendor/topthink/think-orm/src/model/concern/Conversion.php ( 6.44 KB )
  69. /yingpanguazai/ssd/ssd1/www/wwww.yeyulingfeng.com/vendor/topthink/think-orm/src/model/concern/DbConnect.php ( 5.16 KB )
  70. /yingpanguazai/ssd/ssd1/www/wwww.yeyulingfeng.com/vendor/topthink/think-orm/src/model/concern/ModelEvent.php ( 2.33 KB )
  71. /yingpanguazai/ssd/ssd1/www/wwww.yeyulingfeng.com/vendor/topthink/think-orm/src/model/concern/RelationShip.php ( 28.29 KB )
  72. /yingpanguazai/ssd/ssd1/www/wwww.yeyulingfeng.com/vendor/topthink/think-helper/src/contract/Arrayable.php ( 0.09 KB )
  73. /yingpanguazai/ssd/ssd1/www/wwww.yeyulingfeng.com/vendor/topthink/think-helper/src/contract/Jsonable.php ( 0.13 KB )
  74. /yingpanguazai/ssd/ssd1/www/wwww.yeyulingfeng.com/vendor/topthink/think-orm/src/model/contract/Modelable.php ( 0.09 KB )
  75. /yingpanguazai/ssd/ssd1/www/wwww.yeyulingfeng.com/vendor/topthink/framework/src/think/Db.php ( 2.88 KB )
  76. /yingpanguazai/ssd/ssd1/www/wwww.yeyulingfeng.com/vendor/topthink/think-orm/src/DbManager.php ( 8.52 KB )
  77. /yingpanguazai/ssd/ssd1/www/wwww.yeyulingfeng.com/vendor/topthink/framework/src/think/Log.php ( 6.28 KB )
  78. /yingpanguazai/ssd/ssd1/www/wwww.yeyulingfeng.com/vendor/topthink/framework/src/think/Manager.php ( 3.92 KB )
  79. /yingpanguazai/ssd/ssd1/www/wwww.yeyulingfeng.com/vendor/psr/log/src/LoggerTrait.php ( 2.69 KB )
  80. /yingpanguazai/ssd/ssd1/www/wwww.yeyulingfeng.com/vendor/psr/log/src/LoggerInterface.php ( 2.71 KB )
  81. /yingpanguazai/ssd/ssd1/www/wwww.yeyulingfeng.com/vendor/topthink/framework/src/think/Cache.php ( 4.92 KB )
  82. /yingpanguazai/ssd/ssd1/www/wwww.yeyulingfeng.com/vendor/psr/simple-cache/src/CacheInterface.php ( 4.71 KB )
  83. /yingpanguazai/ssd/ssd1/www/wwww.yeyulingfeng.com/vendor/topthink/think-helper/src/helper/Arr.php ( 16.63 KB )
  84. /yingpanguazai/ssd/ssd1/www/wwww.yeyulingfeng.com/vendor/topthink/framework/src/think/cache/driver/File.php ( 7.84 KB )
  85. /yingpanguazai/ssd/ssd1/www/wwww.yeyulingfeng.com/vendor/topthink/framework/src/think/cache/Driver.php ( 9.03 KB )
  86. /yingpanguazai/ssd/ssd1/www/wwww.yeyulingfeng.com/vendor/topthink/framework/src/think/contract/CacheHandlerInterface.php ( 1.99 KB )
  87. /yingpanguazai/ssd/ssd1/www/wwww.yeyulingfeng.com/app/Request.php ( 0.09 KB )
  88. /yingpanguazai/ssd/ssd1/www/wwww.yeyulingfeng.com/vendor/topthink/framework/src/think/Request.php ( 55.78 KB )
  89. /yingpanguazai/ssd/ssd1/www/wwww.yeyulingfeng.com/app/middleware.php ( 0.25 KB )
  90. /yingpanguazai/ssd/ssd1/www/wwww.yeyulingfeng.com/vendor/topthink/framework/src/think/Pipeline.php ( 2.61 KB )
  91. /yingpanguazai/ssd/ssd1/www/wwww.yeyulingfeng.com/vendor/topthink/think-trace/src/TraceDebug.php ( 3.40 KB )
  92. /yingpanguazai/ssd/ssd1/www/wwww.yeyulingfeng.com/vendor/topthink/framework/src/think/middleware/SessionInit.php ( 1.94 KB )
  93. /yingpanguazai/ssd/ssd1/www/wwww.yeyulingfeng.com/vendor/topthink/framework/src/think/Session.php ( 1.80 KB )
  94. /yingpanguazai/ssd/ssd1/www/wwww.yeyulingfeng.com/vendor/topthink/framework/src/think/session/driver/File.php ( 6.27 KB )
  95. /yingpanguazai/ssd/ssd1/www/wwww.yeyulingfeng.com/vendor/topthink/framework/src/think/contract/SessionHandlerInterface.php ( 0.87 KB )
  96. /yingpanguazai/ssd/ssd1/www/wwww.yeyulingfeng.com/vendor/topthink/framework/src/think/session/Store.php ( 7.12 KB )
  97. /yingpanguazai/ssd/ssd1/www/wwww.yeyulingfeng.com/vendor/topthink/framework/src/think/Route.php ( 23.73 KB )
  98. /yingpanguazai/ssd/ssd1/www/wwww.yeyulingfeng.com/vendor/topthink/framework/src/think/route/RuleName.php ( 5.75 KB )
  99. /yingpanguazai/ssd/ssd1/www/wwww.yeyulingfeng.com/vendor/topthink/framework/src/think/route/Domain.php ( 2.53 KB )
  100. /yingpanguazai/ssd/ssd1/www/wwww.yeyulingfeng.com/vendor/topthink/framework/src/think/route/RuleGroup.php ( 22.43 KB )
  101. /yingpanguazai/ssd/ssd1/www/wwww.yeyulingfeng.com/vendor/topthink/framework/src/think/route/Rule.php ( 26.95 KB )
  102. /yingpanguazai/ssd/ssd1/www/wwww.yeyulingfeng.com/vendor/topthink/framework/src/think/route/RuleItem.php ( 9.78 KB )
  103. /yingpanguazai/ssd/ssd1/www/wwww.yeyulingfeng.com/route/app.php ( 3.52 KB )
  104. /yingpanguazai/ssd/ssd1/www/wwww.yeyulingfeng.com/vendor/topthink/framework/src/think/facade/Route.php ( 4.70 KB )
  105. /yingpanguazai/ssd/ssd1/www/wwww.yeyulingfeng.com/vendor/topthink/framework/src/think/route/dispatch/Controller.php ( 4.74 KB )
  106. /yingpanguazai/ssd/ssd1/www/wwww.yeyulingfeng.com/vendor/topthink/framework/src/think/route/Dispatch.php ( 10.44 KB )
  107. /yingpanguazai/ssd/ssd1/www/wwww.yeyulingfeng.com/app/controller/Index.php ( 10.53 KB )
  108. /yingpanguazai/ssd/ssd1/www/wwww.yeyulingfeng.com/app/BaseController.php ( 2.05 KB )
  109. /yingpanguazai/ssd/ssd1/www/wwww.yeyulingfeng.com/vendor/topthink/think-orm/src/facade/Db.php ( 0.93 KB )
  110. /yingpanguazai/ssd/ssd1/www/wwww.yeyulingfeng.com/vendor/topthink/think-orm/src/db/connector/Mysql.php ( 5.44 KB )
  111. /yingpanguazai/ssd/ssd1/www/wwww.yeyulingfeng.com/vendor/topthink/think-orm/src/db/PDOConnection.php ( 52.47 KB )
  112. /yingpanguazai/ssd/ssd1/www/wwww.yeyulingfeng.com/vendor/topthink/think-orm/src/db/Connection.php ( 8.39 KB )
  113. /yingpanguazai/ssd/ssd1/www/wwww.yeyulingfeng.com/vendor/topthink/think-orm/src/db/ConnectionInterface.php ( 4.57 KB )
  114. /yingpanguazai/ssd/ssd1/www/wwww.yeyulingfeng.com/vendor/topthink/think-orm/src/db/builder/Mysql.php ( 16.58 KB )
  115. /yingpanguazai/ssd/ssd1/www/wwww.yeyulingfeng.com/vendor/topthink/think-orm/src/db/Builder.php ( 24.06 KB )
  116. /yingpanguazai/ssd/ssd1/www/wwww.yeyulingfeng.com/vendor/topthink/think-orm/src/db/BaseBuilder.php ( 27.50 KB )
  117. /yingpanguazai/ssd/ssd1/www/wwww.yeyulingfeng.com/vendor/topthink/think-orm/src/db/Query.php ( 15.71 KB )
  118. /yingpanguazai/ssd/ssd1/www/wwww.yeyulingfeng.com/vendor/topthink/think-orm/src/db/BaseQuery.php ( 45.13 KB )
  119. /yingpanguazai/ssd/ssd1/www/wwww.yeyulingfeng.com/vendor/topthink/think-orm/src/db/concern/TimeFieldQuery.php ( 7.43 KB )
  120. /yingpanguazai/ssd/ssd1/www/wwww.yeyulingfeng.com/vendor/topthink/think-orm/src/db/concern/AggregateQuery.php ( 3.26 KB )
  121. /yingpanguazai/ssd/ssd1/www/wwww.yeyulingfeng.com/vendor/topthink/think-orm/src/db/concern/ModelRelationQuery.php ( 20.07 KB )
  122. /yingpanguazai/ssd/ssd1/www/wwww.yeyulingfeng.com/vendor/topthink/think-orm/src/db/concern/ParamsBind.php ( 3.66 KB )
  123. /yingpanguazai/ssd/ssd1/www/wwww.yeyulingfeng.com/vendor/topthink/think-orm/src/db/concern/ResultOperation.php ( 7.01 KB )
  124. /yingpanguazai/ssd/ssd1/www/wwww.yeyulingfeng.com/vendor/topthink/think-orm/src/db/concern/WhereQuery.php ( 19.37 KB )
  125. /yingpanguazai/ssd/ssd1/www/wwww.yeyulingfeng.com/vendor/topthink/think-orm/src/db/concern/JoinAndViewQuery.php ( 7.11 KB )
  126. /yingpanguazai/ssd/ssd1/www/wwww.yeyulingfeng.com/vendor/topthink/think-orm/src/db/concern/TableFieldInfo.php ( 2.63 KB )
  127. /yingpanguazai/ssd/ssd1/www/wwww.yeyulingfeng.com/vendor/topthink/think-orm/src/db/concern/Transaction.php ( 2.77 KB )
  128. /yingpanguazai/ssd/ssd1/www/wwww.yeyulingfeng.com/vendor/topthink/framework/src/think/log/driver/File.php ( 5.96 KB )
  129. /yingpanguazai/ssd/ssd1/www/wwww.yeyulingfeng.com/vendor/topthink/framework/src/think/contract/LogHandlerInterface.php ( 0.86 KB )
  130. /yingpanguazai/ssd/ssd1/www/wwww.yeyulingfeng.com/vendor/topthink/framework/src/think/log/Channel.php ( 3.89 KB )
  131. /yingpanguazai/ssd/ssd1/www/wwww.yeyulingfeng.com/vendor/topthink/framework/src/think/event/LogRecord.php ( 1.02 KB )
  132. /yingpanguazai/ssd/ssd1/www/wwww.yeyulingfeng.com/vendor/topthink/think-helper/src/Collection.php ( 16.47 KB )
  133. /yingpanguazai/ssd/ssd1/www/wwww.yeyulingfeng.com/vendor/topthink/framework/src/think/facade/View.php ( 1.70 KB )
  134. /yingpanguazai/ssd/ssd1/www/wwww.yeyulingfeng.com/vendor/topthink/framework/src/think/View.php ( 4.39 KB )
  135. /yingpanguazai/ssd/ssd1/www/wwww.yeyulingfeng.com/vendor/topthink/framework/src/think/Response.php ( 8.81 KB )
  136. /yingpanguazai/ssd/ssd1/www/wwww.yeyulingfeng.com/vendor/topthink/framework/src/think/response/View.php ( 3.29 KB )
  137. /yingpanguazai/ssd/ssd1/www/wwww.yeyulingfeng.com/vendor/topthink/framework/src/think/Cookie.php ( 6.06 KB )
  138. /yingpanguazai/ssd/ssd1/www/wwww.yeyulingfeng.com/vendor/topthink/think-view/src/Think.php ( 8.38 KB )
  139. /yingpanguazai/ssd/ssd1/www/wwww.yeyulingfeng.com/vendor/topthink/framework/src/think/contract/TemplateHandlerInterface.php ( 1.60 KB )
  140. /yingpanguazai/ssd/ssd1/www/wwww.yeyulingfeng.com/vendor/topthink/think-template/src/Template.php ( 46.61 KB )
  141. /yingpanguazai/ssd/ssd1/www/wwww.yeyulingfeng.com/vendor/topthink/think-template/src/template/driver/File.php ( 2.41 KB )
  142. /yingpanguazai/ssd/ssd1/www/wwww.yeyulingfeng.com/vendor/topthink/think-template/src/template/contract/DriverInterface.php ( 0.86 KB )
  143. /yingpanguazai/ssd/ssd1/www/wwww.yeyulingfeng.com/runtime/temp/10a0c909b6afa23b5a52a2e2d58c3c0f.php ( 21.70 KB )
  144. /yingpanguazai/ssd/ssd1/www/wwww.yeyulingfeng.com/vendor/topthink/think-trace/src/Html.php ( 4.42 KB )
  1. CONNECT:[ UseTime:0.001115s ] mysql:host=127.0.0.1;port=3306;dbname=wenku;charset=utf8mb4
  2. SHOW FULL COLUMNS FROM `fenlei` [ RunTime:0.001477s ]
  3. SELECT * FROM `fenlei` WHERE `fid` = 0 [ RunTime:0.000712s ]
  4. SELECT * FROM `fenlei` WHERE `fid` = 63 [ RunTime:0.000739s ]
  5. SHOW FULL COLUMNS FROM `set` [ RunTime:0.001326s ]
  6. SELECT * FROM `set` [ RunTime:0.000615s ]
  7. SHOW FULL COLUMNS FROM `wendang` [ RunTime:0.001449s ]
  8. SELECT * FROM `wendang` WHERE `id` = 329969 LIMIT 1 [ RunTime:0.002793s ]
  9. UPDATE `wendang` SET `liulancishu` = 2 WHERE `id` = 329969 [ RunTime:0.003016s ]
  10. UPDATE `wendang` SET `lasttime` = 1772321559 WHERE `id` = 329969 [ RunTime:0.001352s ]
  11. SELECT * FROM `wendang` WHERE `id` < 329969 ORDER BY `id` DESC LIMIT 1 [ RunTime:0.001277s ]
  12. SELECT * FROM `wendang` WHERE `id` > 329969 ORDER BY `id` ASC LIMIT 1 [ RunTime:0.001276s ]
  13. SELECT * FROM `wendang` WHERE `id` <> 329969 ORDER BY `id` DESC LIMIT 10 [ RunTime:0.002634s ]
  14. SELECT * FROM `wendang` WHERE `id` <> 329969 ORDER BY `id` DESC LIMIT 10,10 [ RunTime:0.005795s ]
  15. SELECT * FROM `wendang` WHERE `id` <> 329969 ORDER BY `id` DESC LIMIT 20,10 [ RunTime:0.006382s ]
0.176764s