当前位置:首页>文档>专题06光合作用_生物真题汇总_√近三年(2023-2025)高考生物真题分专项精编_真题分专项汇编

专题06光合作用_生物真题汇总_√近三年(2023-2025)高考生物真题分专项精编_真题分专项汇编

  • 2026-03-02 11:15:37 2026-03-02 11:15:37

文档预览

专题06光合作用_生物真题汇总_√近三年(2023-2025)高考生物真题分专项精编_真题分专项汇编
专题06光合作用_生物真题汇总_√近三年(2023-2025)高考生物真题分专项精编_真题分专项汇编
专题06光合作用_生物真题汇总_√近三年(2023-2025)高考生物真题分专项精编_真题分专项汇编
专题06光合作用_生物真题汇总_√近三年(2023-2025)高考生物真题分专项精编_真题分专项汇编
专题06光合作用_生物真题汇总_√近三年(2023-2025)高考生物真题分专项精编_真题分专项汇编
专题06光合作用_生物真题汇总_√近三年(2023-2025)高考生物真题分专项精编_真题分专项汇编
专题06光合作用_生物真题汇总_√近三年(2023-2025)高考生物真题分专项精编_真题分专项汇编
专题06光合作用_生物真题汇总_√近三年(2023-2025)高考生物真题分专项精编_真题分专项汇编
专题06光合作用_生物真题汇总_√近三年(2023-2025)高考生物真题分专项精编_真题分专项汇编
专题06光合作用_生物真题汇总_√近三年(2023-2025)高考生物真题分专项精编_真题分专项汇编
专题06光合作用_生物真题汇总_√近三年(2023-2025)高考生物真题分专项精编_真题分专项汇编
专题06光合作用_生物真题汇总_√近三年(2023-2025)高考生物真题分专项精编_真题分专项汇编
专题06光合作用_生物真题汇总_√近三年(2023-2025)高考生物真题分专项精编_真题分专项汇编
专题06光合作用_生物真题汇总_√近三年(2023-2025)高考生物真题分专项精编_真题分专项汇编
专题06光合作用_生物真题汇总_√近三年(2023-2025)高考生物真题分专项精编_真题分专项汇编
专题06光合作用_生物真题汇总_√近三年(2023-2025)高考生物真题分专项精编_真题分专项汇编
专题06光合作用_生物真题汇总_√近三年(2023-2025)高考生物真题分专项精编_真题分专项汇编
专题06光合作用_生物真题汇总_√近三年(2023-2025)高考生物真题分专项精编_真题分专项汇编
专题06光合作用_生物真题汇总_√近三年(2023-2025)高考生物真题分专项精编_真题分专项汇编
专题06光合作用_生物真题汇总_√近三年(2023-2025)高考生物真题分专项精编_真题分专项汇编
专题06光合作用_生物真题汇总_√近三年(2023-2025)高考生物真题分专项精编_真题分专项汇编
专题06光合作用_生物真题汇总_√近三年(2023-2025)高考生物真题分专项精编_真题分专项汇编
专题06光合作用_生物真题汇总_√近三年(2023-2025)高考生物真题分专项精编_真题分专项汇编
专题06光合作用_生物真题汇总_√近三年(2023-2025)高考生物真题分专项精编_真题分专项汇编
专题06光合作用_生物真题汇总_√近三年(2023-2025)高考生物真题分专项精编_真题分专项汇编
专题06光合作用_生物真题汇总_√近三年(2023-2025)高考生物真题分专项精编_真题分专项汇编
专题06光合作用_生物真题汇总_√近三年(2023-2025)高考生物真题分专项精编_真题分专项汇编
专题06光合作用_生物真题汇总_√近三年(2023-2025)高考生物真题分专项精编_真题分专项汇编
专题06光合作用_生物真题汇总_√近三年(2023-2025)高考生物真题分专项精编_真题分专项汇编
专题06光合作用_生物真题汇总_√近三年(2023-2025)高考生物真题分专项精编_真题分专项汇编
专题06光合作用_生物真题汇总_√近三年(2023-2025)高考生物真题分专项精编_真题分专项汇编
专题06光合作用_生物真题汇总_√近三年(2023-2025)高考生物真题分专项精编_真题分专项汇编
专题06光合作用_生物真题汇总_√近三年(2023-2025)高考生物真题分专项精编_真题分专项汇编

文档信息

文档格式
doc
文档大小
2.952 MB
文档页数
33 页
上传时间
2026-03-02 11:15:37

文档内容

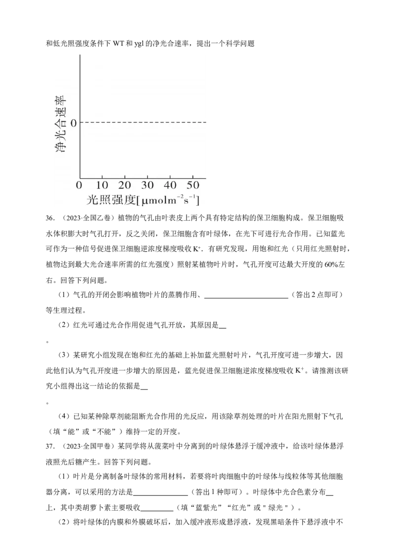
近三年(2023-2025)高考生物真题分专项精编 专题06 光合作用 一、选择题 1.(2023·湖北)高温是制约世界粮食安全的因素之一,高温往往使植物叶片变黄、变褐。研究 发现平均气温每升高1℃,水稻、小麦等作物减产约3%~8%。关于高温下作物减产的原因,下 列叙述错误的是( ) A.呼吸作用变强,消耗大量养分 B.光合作用强度减弱,有机物合成减少 C.蒸腾作用增强,植物易失水发生萎蔫 D.叶绿素降解,光反应生成的NADH和ATP减少 2.(2023·江苏)下列关于“提取和分离叶绿体色素”实验叙述合理的是( ) A.用有机溶剂提取色素时,加入碳酸钙是为了防止类胡萝卜素被破坏 B.若连续多次重复画滤液细线可累积更多的色素,但易出现色素带重叠 C.该实验提取和分离色素的方法可用于测定绿叶中各种色素含量 D.用红色苋菜叶进行实验可得到5条色素带,花青素位于叶绿素a、b之间 (2023·天津)在细胞中,细胞器结构、功能的稳定对于维持细胞的稳定十分重要。真核生物细 胞中的核糖体分为两部分,在结构上与原核生物核糖体相差较大。真核细胞中的线粒体、叶绿 体内含有基因,并可以在其中表达,因此线粒体、叶绿体同样含有核糖体,这类核糖体与原核 生物核糖体较为相似。植物细胞前质体可在光照诱导下变为叶绿体。 内质网和高尔基体在细胞分裂前期会破裂成较小的结构,当细胞分裂完成后,重新组装。 经合成加工后,高尔基体会释放含有溶酶体水解酶的囊泡,与前溶酶体融合,产生最适合溶 酶体水解酶的酸性环境,构成溶酶体。溶酶体对于清除细胞内衰老、损伤的细胞器至关重要。 3.某种抗生素对细菌核糖体有损伤作用,大量摄入会危害人体,其最有可能危害人类细胞哪个 细胞器?( ) A.线粒体 B.内质网 C.细胞质核糖体 D.中心体 4.下列说法或推断,正确的是( ) A.叶绿体基质只能合成有机物,线粒体基质只能分解有机物 B.细胞分裂中期可以观察到线粒体与高尔基体 C.叶绿体和线粒体内基因表达都遵循中心法则 D.植物细胞叶绿体均由前质体产生5.下列说法或推断,错误的是( ) A.经游离核糖体合成后,溶酶体水解酶囊泡进入前溶酶体,形成溶酶体 B.溶酶体分解衰老、损伤的细胞器的产物,可以被再次利用 C.若溶酶体功能异常,细胞内可能积累异常线粒体 D.溶酶体水解酶进入细胞质基质后活性降低 6.(2023·天津)下图是某种植物光合作用及呼吸作用部分过程的图,关于此图说法错误的是( ) A.HCO -经主动运输进入细胞质基质 3 B.HCO -通过通道蛋白进入叶绿体基质 3 C.光反应生成的H+促进了HCO -进入类囊体 3 D.光反应生成的物质X保障了暗反应的CO 供应 2 7.(2023·湖北)植物光合作用的光反应依赖类囊体膜上PSⅠ和PSⅡ光复合体,PSⅡ光复合体含 有光合色素,能吸收光能,并分解水。研究发现,PSⅡ光复合体上的蛋白质LHCⅡ,通过与 PSⅡ结合或分离来增强或减弱对光能的捕获(如图所示)。LHCⅡ与PSⅡ的分离依赖LHC蛋白 激酶的催化。下列叙述错误的是( ) A.叶肉细胞内LHC蛋白激酶活性下降,PSIⅡ光复合体对光能的捕获增强 B.Mg2+含量减少会导致PSⅡ光复合体对光能的捕获减弱 C.弱光下LHCⅡ与PSⅡ结合,不利于对光能的捕获D.PSⅡ光复合体分解水可以产生H+、电子和O 2 8.(2023·新课标卷)我国劳动人民在漫长的历史进程中,积累了丰富的生产、生活经验,并在 实践中应用。生产和生活中常采取的一些措施如下。 ①低温储存,即果实、蔬菜等收获后在低温条件下存放 ②春化处理,即对某些作物萌发的种子或幼苗进行适度低温处理 ③风干储藏,即小麦、玉米等种子收获后经适当风干处理后储藏 ④光周期处理,即在作物生长的某一时期控制每天光照和黑暗的相对时长 ⑤合理密植,即栽种作物时做到密度适当,行距、株距合理 ⑥间作种植,即同一生长期内,在同一块土地上隔行种植两种高矮不同的作物 关于这些措施,下列说法合理的是( ) A.措施②④分别反映了低温和登夜长短与作物开花的关系 B.措施③⑤的主要目的是降低有机物的消耗 C.措施②⑤⑥的主要日的是促进作物的光合作用 D.措施①③④的主要目的是降低作物或种子的呼吸作用强度 9.(2024·浙江)植物细胞胞质溶胶中的 、 通过离子通道进入液泡,Na+、Ca2+逆浓度梯 度转运到液泡,以调节细胞渗透压。白天光合作用合成的蔗糖可富集在液泡中,夜间这些蔗糖 运到胞质溶胶。植物液泡中部分离子与蔗糖的转运机制如图所示。下列叙述错误的是( ) A.液泡通过主动运输方式维持膜内外的H+浓度梯度 B. 、 通过离子通道进入液泡不需要ATP直接供能 C.Na+、Ca2+进入液泡需要载体蛋白协助不需要消耗能量 D.白天液泡富集蔗糖有利于光合作用的持续进行 10.(2024·广东)银杏是我国特有的珍稀植物,其叶片变黄后极具观赏价值。某同学用纸层析 法探究银杏绿叶和黄叶的色素差别,下列实验操作正确的是( ) A.选择新鲜程度不同的叶片混合研磨 B.研磨时用水补充损失的提取液 C.将两组滤纸条置于同一烧杯中层析D.用过的层析液直接倒入下水道 11.(2024·重庆)苹果变甜主要是因为多糖水解为可溶性糖,细胞中可溶性糖储存的主要场所 是( ) A.叶绿体 B.液泡 C.内质网 D.溶酶体 12.(2024·江西)农谚有云:“雨生百谷”。“雨”有利于种子的萌发,是“百谷”丰收的基 础。下列关于种子萌发的说法,错误的是( ) A.种子萌发时,细胞内自由水所占的比例升高 B.水可借助通道蛋白以协助扩散方式进入细胞 C.水直接参与了有氧呼吸过程中丙酮酸的生成 D.光合作用中,水的光解发生在类囊体薄膜上 13.(2024·山东)仙人掌的茎由内部薄壁细胞和进行光合作用的外层细胞等组成,内部薄壁细 胞的细胞壁伸缩性更大。水分充足时,内部薄壁细胞和外层细胞的渗透压保持相等;干旱环境 下,内部薄壁细胞中单糖合成多糖的速率比外层细胞快。下列说法错误的是( ) A.细胞失水过程中,细胞液浓度增大 B.干旱环境下,外层细胞的细胞液浓度比内部薄壁细胞的低 C.失水比例相同的情况下,外层细胞更易发生质壁分离 D.干旱环境下内部薄壁细胞合成多糖的速率更快,有利于外层细胞的光合作用 14.(2024·福建)叶片从黑暗中转移到光照下,其光合速率要先经过一个增高过程,然后达到 稳定的高水平状态,这个增高过程称为光合作用的光诱导期。已知黑暗中的大豆叶片气孔处于 关闭状态,壳梭孢素处理可使大豆叶片气孔充分开放。为研究气孔开放与光诱导期的关系,科 研人员将大豆叶片分为两组,A组不处理,B组用壳梭孢素处理,将两组叶片从黑暗中转移到 光照下,测定光合速率,结果如图所示。 下列分析正确的是( ) A.0min时,A组胞间CO 浓度等于B组胞间CO 浓度 2 2 B.30min时,B组叶绿体中C 生成和还原速率均大于A组 3 C.30min时,限制A组光合速率的主要因素是光照时间 D.与A组叶片相比,B组叶片光合作用的光诱导期更长15.(2024·北京)某同学用植物叶片在室温下进行光合作用实验,测定单位时间单位叶面积的 氧气释放量,结果如图所示。若想提高X,可采取的做法是( ) A.增加叶片周围环境CO 浓度 B.将叶片置于4℃的冷室中 2 C.给光源加滤光片改变光的颜色 D.移动冷光源缩短与叶片的距离 16.(2024·广东)2019年,我国科考队在太平洋马里亚纳海沟采集到一种蓝细菌,其细胞内存 在由两层膜组成的片层结构,此结构可进行光合作用与呼吸作用。在该结构中,下列物质存在 的可能性最小的是( ) A.ATP B.NADP+ C.NADH D.DNA 17.(2024·贵州)为探究不同光照强度对叶色的影响,取紫鸭跖草在不同光照强度下,其他条 件相同且适宜,分组栽培,一段时间后获取各组光合色素提取液,用分光光度法(一束单色光 通过溶液时,溶液的吸光度与吸光物质的浓度成正比)分别测定每组各种光合色素含量。下列 叙述错误的是( ) A.叶片研磨时加入碳酸钙可防止破坏色素 B.分离提取液中的光合色素可采用纸层析法 C.光合色素相对含量不同可使叶色出现差异 D.测定叶绿素的含量时可使用蓝紫光波段 18.(2024·湖北真题)植物甲的花产量、品质(与叶黄素含量呈正相关)与光照长短密切相关。 研究人员用不同光照处理植物甲幼苗,实验结果如下表所示。下列叙述正确的是( ) 组 首次开花 茎粗 花的叶黄素含量 鲜花累计平均产量 光照处理 别 时间 (mm) (g/kg) (kg/hm2) 光照8h/黑暗 ① 7月4日 9.5 2.3 13000 16h 光照12h/黑暗 ② 7月18日 10.6 4.4 21800 12h 光照16h/黑暗 ③ 7月26日 11.5 2.4 22500 8h A.第①组处理有利于诱导植物甲提前开花,且产量最高 B.植物甲花的品质与光照处理中的黑暗时长呈负相关C.综合考虑花的产量和品质,应该选择第②组处理 D.植物甲花的叶黄素含量与花的产量呈正相关 19.(2023·全国乙卷)植物叶片中的色素对植物的生长发育有重要作用。下列有关叶绿体中色 素的叙述,错误的是 ( ) A.氮元素和镁元素是构成叶绿素分子的重要元素 B.叶绿素和类胡萝卜素存在于叶绿体中类囊体的薄膜上 C.用不同波长的光照射类胡萝卜素溶液,其吸收光谱在蓝紫光区有吸收峰 D.叶绿体中的色素在层析液中的溶解度越高,随层析液在滤纸上扩散得越慢 20.(2023·北京)在两种光照强度下,不同温度对某植物CO 吸收速率的影响如图。对此图理 2 解错误的是( ) A.在低光强下,CO 吸收速率随叶温升高而下降的原因是呼吸速率上升 2 B.在高光强下,M点左侧CO 吸收速率升高与光合酶活性增强相关 2 C.在图中两个CP点处,植物均不能进行光合作用 D.图中M点处光合速率与呼吸速率的差值最大 21.(2025·河北) 某科创小组将叶绿素合成相关基因转入小麦愈伤组织,获得再生植株,并进 行相关检测。下列实验操作错误的是( ) A.将种子消毒后,取种胚接种到适当的固体培养基诱导愈伤组织 B.在提取的DNA溶液中加入二苯胺试剂,沸水浴后观察颜色以鉴定DNA C.将小麦色素提取液滴加到滤纸条,然后将色素滴加部位浸入层析液进行层析 D.对叶片抽气处理后,转到富含CO 的清水中,探究不同光照下的光合作用强度 2 22.(2025·河北) 对绿色植物的光合作用和呼吸作用过程进行比较,下列叙述错误的是 ( ) A.类囊体膜上消耗HO、而线粒体基质中生成HO 2 2 B.叶绿体基质中消耗CO ,而线粒体基质中生成CO 2 2 C.类囊体膜上生成O,而线粒体内膜上消耗O 2 2D.叶绿体基质中合成有机物,而线粒体基质中分解有机物 23.(2025·河北) ATP是一种能为生命活动供能的化合物,下列过程不消耗ATP的是( ) A.肌肉的收缩 B.光合作用的暗反应 C.Ca2+载体蛋白的磷酸化 D.水的光解 24.(2025·山东)“绿叶中色素的提取和分离”实验操作中要注意“干燥”,下列说法错误的 是( ) A.应使用于燥的定性滤纸 B.绿叶需烘干后再提取色素 C.重复画线前需等待滤液细线干燥 D.无水乙醇可用入适量无水碳酸钠的95%乙醇替代 25.(2025·安徽)关于“探究光照强度对光合作用强度的影响”实验,下列叙述错误的是( ) A.用打孔器打出叶圆片时,为保证叶圆片相对一致应避开大的叶脉 B.调节LED灯光源与盛有叶圆片烧杯之间的距离,以进行对比实验 C.用化学传感器监测光照时O 浓度变化,可计算出实际光合作用强度 2 D.同一烧杯中叶圆片浮起的快慢不同,可能与其接受的光照强度不同有关 26.(2025·安徽)下列关于真核细胞内细胞器中的酶和化学反应的叙述,正确的是( ) A.高尔基体膜上分布有相应的酶,可对分泌蛋白进行修饰加工 B.核糖体中有相应的酶,可将氨基酸结合到特定tRNA的3'端 C.溶酶体内含有多种水解酶,仅能消化衰老、损伤的细胞组分 D.叶绿体中的ATP合成酶,可将光能直接转化为ATP中的化学能 27.(2025·黑吉辽蒙)下列关于实验操作和现象的叙述错误的是( ) A.观察叶绿体的形态和分布,需先用低倍镜找到叶绿体再换用高倍镜 B.用斐林试剂检测梨汁中的还原糖时,需要加热后才能呈现砖红色 C.将染色后的洋葱根尖置于载玻片上,滴清水并盖上盖玻片即可观察染色体 D.分离菠菜叶中的色素时,因层析液有挥发性,需在通风好的条件下进行 28.(2025·黑吉辽蒙)黑暗条件下,叶绿体内膜的载体蛋白NTT顺浓度梯度运输ATP、ADP和 Pi的过程示意图如下。其他条件均 适宜,下列叙述正确的是( )A.ATP、ADP 和Pi通过NTT时,无需与NTT结合 B.NTT 转运ATP、ADP和Pi的方式为主动运输 C.图中进入叶绿体基质的ATP均由线粒体产生 D.光照充足,NTT运出ADP的数量会减少甚至停止 二、非选择题 29.(2023·山东)当植物吸收的光能过多时,过剩的光能会对光反应阶段的PSⅡ复合体 (PSⅡ)造成损伤,使PSⅡ活性降低,进而导致光合作用强度减弱。细胞可通过非光化学淬灭 (NPQ)将过剩的光能耗散,减少多余光能对PSⅡ的损伤。已知拟南芥的H蛋白有2个功能: ①修复损伤的PSⅡ;②参与NPQ的调节。科研人员以拟南芥的野生型和H基因缺失突变体为材 料进行了相关实验,结果如图所示。实验中强光照射时对野生型和突变体光照的强度相同,且 强光对二者的PSⅡ均造成了损伤。 (1)该实验的自变量为 。该实验的无关变量中,影响光合作用 强度的主要环境因素有 (答出2个因素即可)。 (2)根据本实验, (填“能”或“不能”)比较出强光照射下突变体与野生型的 PSⅡ活性强弱,理由是 。 (3)据图分析,与野生型相比,强光照射下突变体中流向光合作用的能量 (填 “多”或“少”)。若测得突变体的暗反应强度高于野生型,根据本实验推测,原因是 。 30.(2023·浙江)植物工厂是一种新兴的农业生产模式,可人工控制光照、温度、CO 浓度等 2 因素。不同光质配比对生菜幼苗体内的叶绿素含量和氮含量的影响如图甲所示,不同光质配比对生菜幼苗干重的影响如图乙所示。分组如下:CK组(白光)、A组(红光:蓝光=1:2)、 B组(红光:蓝光=3:2)、C组(红光:蓝光=2:1),每组输出的功率相同。 回答下列问题: (1)光为生菜的光合作用提供 ,又能调控生菜的形态建成。生菜吸收营养液中含 氮的离子满足其对氮元素需求,若营养液中的离子浓度过高,根细胞会因 作用失水造 成生菜萎蔫。 (2)由图乙可知,A、B、C组的干重都比CK组高,原因是 。由图甲、图乙可知,选用红、蓝光配比为 ,最有利于生菜产量的提高, 原因是 。 (3)进一步探究在不同温度条件下,增施CO 对生菜光合 速率的影响,结果如图丙所 2 示。由图可知,在25℃时,提高CO 浓度对提高生菜光合速率的效果最佳,判断依据是 2 。植物工厂利用秸秆发酵生产沼气,冬天可燃烧沼气以提高CO 浓度,还可以 , 2 使光合速率进一步提高,从农业生态工程角度分析,优点还有 。31.(2023·江苏)气孔对植物的气体交换和水分代谢至关重要,气孔运动具有复杂的调控机制。 图1所示为叶片气孔保卫细胞和相邻叶肉细胞中部分的结构和物质代谢途径。①~④表示场所。 请回答下列问题: (1)光照下,光驱动产生的NADPH主要出现在 (从①~④中选填);NADPH 可用于CO 固定产物的还原,其场所有 (从①~④中选填)。液泡中与气孔开闭相关 2 的主要成分有HO、 (填写2种)等。 2 (2)研究证实气孔运动需要ATP,产生ATP的场所有 (从①~④中选填)。保卫 细胞中的糖分解为PEP,PEP再转化为 进入线粒体,经过TCA循环产生的 最终通过电子传递链氧化产生ATP。 (3)蓝光可刺激气孔张开,其机理是蓝光激活质膜上的AHA,消耗ATP将H+泵出膜外,形 成跨膜的 ,驱动细胞吸收K+等离子。 (4)细胞中的PEP可以在酶作用下合成四碳酸OAA,并进一步转化成Mal,使细胞内水势 下降(溶质浓度提高),导致保卫细胞 ,促进气孔张开。 (5)保卫细胞叶绿体中的淀粉合成和分解与气孔开闭有关,为了研究淀粉合成与细胞质中 ATP的关系,对拟南芥野生型WT和NTT突变体ntt1(叶绿体失去运入ATP的能力)保卫细胞 的淀粉粒进行了研究,其大小的变化如图2.下列相关叙述合理的有____。A.淀粉大量合成需要依赖呼吸作用提供ATP B.光照诱导WT气孔张开与叶绿体淀粉的水解有关 C.光照条件下突变体ntt1几乎不能进行光合作用 D.长时间光照可使WT叶绿体积累较多的淀粉 32.(2023·海南)海南是我国火龙果的主要种植区之一、由于火龙果是长日照植物,冬季日照 时间不足导致其不能正常开花,在生产实践中需要夜间补光,使火龙果提前开花,提早上市。 某团队研究了同一光照强度下,不同补光光源和补光时间对火龙果成花的影响,结果如图。 回答下列问题。 (1)光合作用时,火龙果植株能同时吸收红光和蓝光的光合色素是 ;用纸层析法分离叶绿体色素获得的4条色素带中,以滤液细线为基准,按照自下而上的次序, 该光合色素的色素带位于第 条。 (2)本次实验结果表明,三种补光光源中最佳的是 ,该光源的最佳补光时 间是 小时/天,判断该光源是最佳补光光源的依据是 。 (3)现有可促进火龙果增产的三种不同光照强度的白色光源,设计实验方案探究成花诱导 完成后提高火龙果产量的最适光照强度(简要写出实验思路)。 33.(2023·北京)学习以下材料,回答(1)~(4)题。 调控植物细胞活性氧产生机制的新发现能量代谢本质上是一系列氧化还原反应。在植物细胞中,线粒体和叶绿体是能量代谢的重要 场所。叶绿体内氧化还原稳态的维持对叶绿体行使正常功能非常重要。在细胞的氧化还原反应 过程中会有活性氧产生,活性氧可以调控细胞代谢,并与细胞凋亡有关。 我国科学家发现一个拟南芥突变体m(M基因突变为m基因),在受到长时间连续光照时, 植株会出现因细胞凋亡而引起的叶片黄斑等表型。M基因编码叶绿体中催化脂肪酸合成的M酶。 与野生型相比,突变体m中M酶活性下降,脂肪酸含量显著降低。 为探究M基因突变导致细胞凋亡的原因,研究人员以诱变剂处理突变体m,筛选不表现细胞 凋亡,但仍保留m基因的突变株。通过对所获一系列突变体的详细解析,发现叶绿体中pMDH 酶、线粒体中mMDH酶和线粒体内膜复合物I(催化有氧呼吸第三阶段的酶)等均参与细胞凋 亡过程。由此揭示出一条活性氧产生的新途径(如图):A酸作为叶绿体中氧化还原平衡的调 节物质,从叶绿体经细胞质基质进入到线粒体中,在mMDH酶的作用下产生NADH([H])和 B酸,NADH被氧化会产生活性氧。活性氧超过一定水平后引发细胞凋亡。 在上述研究中,科学家从拟南芥突变体m入手,揭示出在叶绿体和线粒体之间存在着一条A 酸-B酸循环途径。对A酸-B酸循环的进一步研究,将为探索植物在不同环境胁迫下生长的调控 机制提供新的思路。 (1)叶绿体通过 作用将CO 转化为糖。从文中可知,叶绿体也可以合成脂肪的组 2 分 。 (2)结合文中图示分析,M基因突变为m后,植株在长时间光照条件下出现细胞凋亡的原 因是: ,A酸 转运到线粒体,最终导致产生过量活性氧并诱发细胞凋亡。 (3)请将下列各项的序号排序,以呈现本文中科学家解析“M基因突变导致细胞凋亡机 制”的研究思路: 。 ①确定相应蛋白的细胞定位和功能 ②用诱变剂处理突变体m ③鉴定相关基因④筛选保留m基因但不表现凋亡的突变株 (4)本文拓展了高中教材中关于细胞器间协调配合的内容,请从细胞器间协作以维持稳态 与平衡的角度加以概括说明。 34.(2023·湖南)下图是水稻和玉米的光合作用暗反应示意图。卡尔文循环的Rubisco酶对CO 2 的K 为450μmol·L-1(K越小,酶对底物的亲和力越大),该酶既可催化RuBP与CO 反应,进 m 2 行卡尔文循环,又可催化RuBP与O 反应,进行光呼吸(绿色植物在光照下消耗O 并释放CO 2 2 2 的反应)。该酶的酶促反应方向受CO 和O 相对浓度的影响。与水稻相比,玉米叶肉细胞紧密 2 2 围绕维管束鞘,其中叶肉细胞叶绿体是水光解的主要场所,维管束鞘细胞的叶绿体主要与ATP 生成有关。玉米的暗反应先在叶肉细胞中利用PEPC酶(PEPC对CO 的K 为7μmol·L-1)催化 2 m 磷酸烯醇式丙酮酸(PEP)与CO 反应生成C,固定产物C 转运到维管束鞘细胞后释放CO , 2 4 4 2 再进行卡尔文循环。回答下列问题: (1)玉米的卡尔文循环中第一个光合还原产物是 (填具体名称),该产 物跨叶绿体膜转运到细胞质基质合成 (填"葡萄糖""蔗糖"或"淀粉")后,再通过长距离运输到其他组织器官。 (2)在干旱、高光照强度环境下,玉米的光合作用强度 (填"高于"或"低于")水 稻。从光合作用机制及其调控分析,原因是 (答出三点即可)。 (3)某研究将蓝细菌的CO 浓缩机制导入水稻,水稻叶绿体中CO 浓度大幅提升,其他生 2 2 理代谢不受影响,但在光饱和条件下水稻的光合作用强度无明显变化。其原因可能是 (答出三点即可)。 35.(2023·广东)光合作用机理是作物高产的重要理论基础。大田常规栽培时,水稻野生型 (WT)的产量和黄绿叶突变体(ygl)的产危差异不明显,但在高密度栽培条件下ygl产量更高,其 相关生理特征见下表和下图。(光饱和点:光合速率不再随光照强度增加时的光照强度;光补偿 点:光合过程中吸收的CO 与呼吸过程中释放的CO 等量时的光照强度。) 2 2 分析图表,回答下列问题: (1)ygl叶色黄绿的原因包括叶绿素含量较低利 ,叶片主 要吸收可见光中的 光。 (2)光照強度逐渐增加达到2000 μmol m-2's-1时,ygl的净光合速率较WT更高,但两者净光 合速率都不再随光照强度的增加而增加,比较两者的光饱和点,可得ygl WT (填“高 于”、“低于”或"等于")。ygl有较高的光补偿点,可能的原因是叶绿素含量较低和 。 (3)与WT相比,ygl叶绿素含量低,高密度栽培条件下,更多的光可到达下层叶片,且 ygl群体的净光合速率较高,表明该群体 ,是其高产的原因之一。 (4)试分析在0~50μmolm-2s-1范围的低光照强度下,WT和ygl净光仓速率的变化,在下图 坐标系中绘制净光合速率趋势曲线。在此基础上,分析图6a和你绘制的曲线,比较高光照强度和低光照强度条件下WT和ygl的净光合速率,提出一个科学问题 36.(2023·全国乙卷)植物的气孔由叶表皮上两个具有特定结构的保卫细胞构成。保卫细胞吸 水体积膨大时气孔打开,反之关闭,保卫细胞含有叶绿体,在光下可进行光合作用。已知蓝光 可作为一种信号促进保卫细胞逆浓度梯度吸收K⁺.有研究发现,用饱和红光(只用红光照射时, 植物达到最大光合速率所需的红光强度)照射某植物叶片时,气孔开度可达最大开度的60%左 右。回答下列问题。 (1)气孔的开闭会影响植物叶片的蒸腾作用、 (答出2点即可) 等生理过程。 (2)红光可通过光合作用促进气孔开放,其原因是 。 (3)某研究小组发现在饱和红光的基础上补加蓝光照射叶片,气孔开度可进一步增大,因 此他们认为气孔开度进一步增大的原因是,蓝光促进保卫细胞逆浓度梯度吸收K+。请推测该研 究小组得出这一结论的依据是 。 (4)已知某种除草剂能阻断光合作用的光反应,用该除草剂处理的叶片在阳光照射下气孔 (填“能”或“不能”)维持一定的开度。 37.(2023·全国甲卷)某同学将从菠菜叶中分离到的叶绿体悬浮于缓冲液中,给该叶绿体悬浮 液照光后糖产生。回答下列问题。 (1)叶片是分离制备叶绿体的常用材料,若要将叶肉细胞中的叶绿体与线粒体等其他细胞 器分离,可以采用的方法是 (答出1种即可)。叶绿体中光合色素分布 上,其中类胡萝卜素主要吸收 (填“蓝紫光”“红光”或"绿光")。 (2)将叶绿体的内膜和外膜破坏后,加入缓冲液形成悬浮液,发现黑暗条件下悬浮液中不能产生糖,原因是 。 (3)叶片进行光合作用时,叶绿体中会产生淀粉。请设计实验证明叶绿体中有淀粉存在, 简要写出实验思路和预期结果。 38.(2023·浙江)叶片是给植物其他器官提供有机物的“源”,果实是储存有机物的“库”。 现以某植物为材料研究不同库源比(以果实数量与叶片数量比值表示)对叶片光合作用和光合 产物分配的影响,实验结果见表1。 项目 甲组 乙组 丙组 处理 库源比 1/2 1/4 1/6 单位叶面积叶绿素相对含量 78.7 75.5 75.0 净光合速率(μmol·m-2·s-1) 9.31 8.99 8.75 果实中含13C光合产物(mg) 21.96 37.38 66.06 单果重(g) 11.81 12.21 19.59 注:①甲、乙、丙组均保留枝条顶部1个果实并分别保留大小基本一致的2、4、6片成熟叶, 用13CO 供应给各组保留的叶片进行光合作用。②净光合速率:单位时间单位叶面积从外界环境 2 吸收的13CO 量。 2 回答下列问题: (1)叶片叶绿素含量测定时,可先提取叶绿体色素,再进行测定。提取叶绿体色素时,选 择乙醇作为提取液的依据是 。 (2)研究光合产物从源分配到库时,给叶片供应13CO ,13CO 先与叶绿体内的 2 2 结合而被固定,形成的产物还原为糖需接受光反应合成的 中的化学能。合成的 糖分子运输到果实等库中。在本实验中,选用13CO 的原因有 2 (答出2点即可)。 (3)分析实验甲、乙、丙组结果可知,随着该植物库源比降低,叶净光合速率 (填“升高”或“降低”)、果实中含13C光合产物的量 (填“增加”或“减少”)。 库源比升高导致果实单果重变化的原因是 。 (4)为进一步研究叶片光合产物的分配原则进行了实验,库源处理如图所示,用13CO 供应 2 给保留的叶片进行光合作用,结果见表2。果实位置 果实中含13C光合产物(mg) 单果重(g) 第1果 26.91 12.31 第2果 18.00 10.43 第3果 2.14 8.19 根据表2实验结果,从库与源的距离分析,叶片光合产物分配给果实的特点是 。 (5)综合上述实验结果,从调整库源比分析,下列措施中能提高单枝的合格果实产量(单 果重10g以上为合格)的是哪一项?( ) A.除草 B.遮光 C.蔬果 D.松土 39.(2024·安徽)为探究基因 OsNAC 对光合作用的影响研究人员在相同条件下种植某品种水 稻的野生型(WT)、OsNAC 敲除突变体(KO)及 OsNAC 过量表达株(OE),测定了灌浆期旗叶(位 于植株最顶端)净光合速率和叶绿素含量,结果见下表。回答下列问题。 净光合速率(μmol.m .s-1) 叶绿素含量(mg·g-1) 2 WT 24.0 4.0 KO 20.3 3.2 OE 27.7 4.6 (1)旗叶从外界吸收1分子 CO 与核酮糖-1,5-二磷酸结合,在特定酶作用下形成2分子3- 2 磷酸甘油酸;在有关酶的作用下,3-磷酸甘油酸接受 释放的能量并被还原, 随后在叶绿体基质中转化为 。 (2)与WT相比,实验组KO与OE的设置分别采用了自变量控制中的 、 (填科学方法)。 (3)据表可知,OsNAC过量表达会使旗叶净光合速率 。为进一步探究该基因的 功能,研究人员测定了旗叶中编码蔗糖转运蛋白基因的相对表达量、蔗糖含量及单株产量,结 果如图。结合图表,分析OsNAC过量表达会使旗叶净光合速率发生相应变化的原因:① ;② 。 40.(2024·河北)高原地区蓝光和紫外光较强,常采用覆膜措施辅助林木育苗。为探究不同颜 色覆膜对藏川杨幼苗生长的影响,研究者检测了白膜、蓝膜和绿膜对不同光的透过率,以及覆 膜后幼苗光合色素的含量,结果如图、表所示。 覆膜处理 叶绿素含量(mg/g) 类胡萝卜素含量(mg/g) 白膜 1.67 0.71 蓝膜 2.20 0.90 绿膜 1.74 0.65 回答下列问题: (1)如图所示,三种颜色的膜对紫外光、蓝光和绿光的透过率有明显差异,其中 光可被位于叶绿体 上的光合色素高效吸收后用于光反应,进而使暗反应阶段的 还原转化为 和 。与白膜覆盖相比,蓝膜和绿膜透过的 较少, 可更好地减弱幼苗受到的辐射。(2)光合色素溶液的浓度与其光吸收值成正比,选择适当波长的光可对色素含量进行测定。 提取光合色素时,可利用 作为溶剂。测定叶绿素含量时,应选择红光而不能选择 蓝紫光,原因是 。 (3)研究表明,覆盖蓝膜更有利于藏川杨幼苗在高原环境的生长。根据上述检测结果,其 原因为 (答出两点即可)。 41.(2024·重庆)重庆石柱是我国著名传统中药黄连的主产区之一,黄连生长缓慢,存在明显 的光饱和(光合速率不再随光强增加而增加)和光抑制(光能过剩导致光合速率降低)现象。 (1)探寻提高黄连产量的技术措施,研究人员对黄连的光合特征进行了研究,结果如图1。 ①黄连的光饱和点约为 μmol•m﹣2•s﹣1。光强大于1300μmol•m﹣2•s﹣1后,胞间二氧 化碳浓度增加主要是由于 。 ②推测光强对黄连生长的影响主要表现为 。黄连叶片适应弱光的特征有 (答2点)。 (2)黄连露天栽培易发生光抑制,严重时其光合结构被破坏(主要受损的部位是位于类囊 体薄膜上的色素蛋白复合体),为减轻光抑制,黄连能采取调节光能在叶片上各去向(如图 2)的比例,提升修复能力等防御机制,具体可包括 (多选)。 ①叶片叶绿体避光运动 ②提高光合产物生成速率 ③自由基清除能力增强 ④提高叶绿素含量 ⑤增强热耗散(3)生产上常采用搭棚或林下栽培减轻黄连的光抑制,为增强黄连光合作用以提高产量还 可采取的措施及其作用是 。 42.(2024·甘肃) 类胡萝卜素不仅参与光合作用,还是一些植物激素的合成前体。研究者发现 了某作物的一种胎萌突变体,其种子大部分为黄色,少部分呈白色,白色种子未完全成熟即可 在母体上萌发。经鉴定,白色种子为某基因的纯合突变体。在正常光照下(400μmol·m-2•s-1), 纯合突变体叶片中叶绿体发育异常、类囊体消失。将野生型和纯合突变体种子在黑暗中萌发后 转移到正常光和弱光(1μmol·m-2•s-1)下培养一周,提取并测定叶片叶绿素和类胡萝卜素含量, 结果如图所示。回答下列问题。 (1)提取叶片中叶绿素和类胡萝卜素常使用的溶剂是 ,加入少许碳酸钙可以 。 (2)野生型植株叶片叶绿素含量在正常光下比弱光下高,其原因是 。 (3)正常光照条件下种植纯合突变体将无法获得种子,因为 。 (4)现已知此突变体与类胡萝卜素合成有关,本研究中支持此结论的证据有:①纯合体种 子为白色;② 。 (5)纯合突变体中可能存在某种植物激素X的合成缺陷,X最可能是 。若 以上推断合理,则干旱处理能够提高野生型中激素X的含量,但不影响纯合突变体中X的含量。 为检验上述假设,请完成下面的实验设计: ①植物培养和处理:取野生型和纯合突变体种子,萌发后在 条件下培养 一周,然后将野生型植株均分为A、B两组,将突变体植株均分为C、D两组,A、C组为对照, B、D组干旱处理4小时。 ②测量指标:每组取3-5株植物的叶片,在显微镜下观察、测量并记录各组的 。 ③预期结果: 。 43.(2024·湖南)钾是植物生长发育的必需元素,主要生理功能包括参与酶活性调节、渗透调 节以及促进光合产物的运输和转化等。研究表明,缺钾导致某种植物的气孔导度下降,使CO 2 通过气孔的阻力增大;Rubisco的羧化酶(催化CO 的固定反应)活性下降,最终导致净光合速 2 率下降。回答下列问题: (1)从物质和能量转化角度分析,叶绿体的光合作用即在光能驱动下,水分解产生 ;光能转化为电能,再转化为 中储存的化学能,用于暗反应的过程。(2)长期缺钾导致该植物的叶绿素含量 ,从叶绿素的合成角度分析,原因是 (答出两点即可)。 (3)现发现该植物群体中有一植株,在正常供钾条件下,总叶绿素含量正常,但气孔导度 等其他光合作用相关指标均与缺钾时相近,推测是Rtbisco的编码基因发生突变所致。Rubisco 由两个基因(包括1个核基因和1个叶绿体基因)编码,这两个基因及两端的DNA序列已知。 拟以该突变体的叶片组织为实验材料,以测序的方式确定突变位点。写出关键实验步骤:① ;② ;③ ;④基因测序;⑤ 。 44.(2024·浙江)原产热带的观赏植物一品红,花小,顶部有像花瓣一样的红色叶片,下部叶 片绿色。回答下列问题: (1)科学研究一般经历观察现象、提出问题、查找信息、作出假设、验证假设等过程。 ①某同学观察一品红的叶片颜色,提出了问题:红叶是否具有光合作用能力。 ②该同学检索文献获得相关资料:植物能通过光合作用合成淀粉。检测叶片中淀粉的方法, 先将叶片浸入沸水处理;再转入热甲醇处理;然后将叶片置于含有少量水的培养皿内并展开, 滴加碘-碘化钾溶液(或碘液),观察颜色变化。 ③ 结 合 上 述 资 料 , 作 出 可 通 过 实 验 验 证 的 假 设 : 。 ④为验证假设进行实验。请完善分组处理,并将支持假设的预期结果填入表格。 分组处理 预期结果 绿叶+光照 变蓝 绿叶+黑暗 不变蓝 ⅰ ⅱ ⅲ ⅳ ⑤ 分 析 : 检 测 叶 片 淀 粉 的 方 法 中 , 叶 片 浸 入 沸 水 处 理 的 目 的 是 。热甲醇处理的目的是 . (2)对一品红研究发现,红叶和绿叶的叶绿素含量分别为0.02g(Chl)·m-2和0.20g(Chl) ·m-2,红叶含有较多的水溶性花青素。在不同光强下测得的q 值和电子传递速率(ETR)值分 NP 别如图甲、乙所示。q 值反映叶绿体通过热耗散的方式去除过剩光能的能力;ETR值反映光合 NP 膜上电子传递的速率,与光反应速率呈正相关。花青素与叶绿素的吸收光谱如图丙所示。①分析图甲可知,在光强 500~2000μmol·m-2·s-1 范围内,相对于绿叶,红叶的 能力较弱。分析图乙可知,在光强800~2000μmol·m-2·s-1,范围内,红叶并未出现类似绿叶的光 合作用被 现象。结合图丙可知,强光下,贮藏于红叶细胞 内的花青素可通 过 方式达到保护叶绿体的作用。 ②现有实验证实,生长在高光强环境下的一品红,红叶叶面积大,颜色更红。综合上述研究 结果可知,在强光环境下,红叶具有较高花青素含量和较大叶面积,其作用除了能进行光合作 用外,还有保护 的功能。一品红的花小,不受关注,但能依赖花瓣状的红 叶吸引 ,完成传粉。 45.(2024·山东)从开花至籽粒成熟,小麦叶片逐渐变黄。与野生型相比,某突变体叶片变黄 的速度慢,籽粒淀粉含量低。研究发现,该突变体内细胞分裂素合成异常,进而影响了类囊体 膜蛋白稳定性和蔗糖转化酶活性,而呼吸代谢不受影响。类囊体膜蛋白稳定性和蔗糖转化酶活 性检测结果如图所示,开花14天后植株的胞间CO 浓度和气孔导度如表所示,其中Lov为细胞 2 分裂素合成抑制剂,KT为细胞分裂素类植物生长调节剂,气孔导度表示气孔张开的程度。已知 蔗糖转化酶催化蔗糖分解为单糖。 检测指标 植株 14天 21天 28天 野生型 140 151 270 胞间CO 浓度(μmolCO mol-1) 2 2 突变体 110 140 205 野生型 125 95 41 气孔导度(molH Om-2s-1) 2 突变体 140 112 78 (1)光反应在类囊体上进行,生成可供暗反应利用的物质有 。结合细胞分 裂素的作用,据图分析,与野生型相比,开花后突变体叶片变黄的速度慢的原因是 。 (2)光饱和点是光合速率达到最大时的最低光照强度。据表分析,与野生型相比,开花14 天后突变体的光饱和点 (填“高”或“低”),理由是。 (3)已知叶片的光合产物主要以蔗糖的形式运输到植株各处。据图分析,突变体籽粒淀粉 含量低的原因是 。 46.(2024·湖北真题)气孔是指植物叶表皮组织上两个保卫细胞之间的孔隙。植物通过调节气 孔大小,控制CO 进入和水分的散失,影响光合作用和含水量。科研工作者以拟南芥为实验材 2 料,研究并发现了相关环境因素调控气孔关闭的机理(图1)。已知ht1基因、rhc1基因各编码 蛋白甲和乙中的一种,但对应关系未知。研究者利用野生型(wt)、ht1基因功能缺失突变体 (h)、rhc1基因功能缺失突变体(r)和ht1/rhc1双基因功能缺失突变体(h/r),进行了相关实 验,结果如图2所示。 回答下列问题: (1)保卫细胞液泡中的溶质转运到胞外,导致保卫细胞 (填“吸水”或“失 水”),引起气孔关闭,进而使植物光合作用速率 (填“增大”或“不变”或“减 小”)。 (2)图2中的wt组和r组对比,说明高浓度CO 时rhc1基因产物 (填“促进” 2 或“抑制”)气孔关闭。 (3)由图1可知,短暂干旱环境中,植物体内脱落酸含量上升,这对植物的积极意义是 。 (4)根据实验结果判断:编码蛋白甲的基因是 (填“ht1”或“rhc1”)。 47.(2024·新课标)某同学将一种高等植物幼苗分为4组(a、b、c、d),分别置于密闭装置 中照光培养,a、b、c、d组的光照强度依次增大,实验过程中温度保持恒定。一段时间(t)后 测定装置内O 浓度,结果如图所示,其中M为初始O 浓度,c、d组O 浓度相同。回答下列问 2 2 2 题。 (1)太阳光中的可见光由不同颜色的光组成,其中高等植物光合作用利用的光主要是,原因是 。 (2)光照t时间时,a组CO 浓度 (填“大于”“小于”或“等于”)b组。 2 (3)若延长光照时间c、d组O 浓度不再增加,则光照t时间时a、b、c中光合速率最大的 2 是 组,判断依据是 。 (4)光照t时间后,将d组密闭装置打开,并以c组光照强度继续照光,其幼苗光合速率会 (填“升高”“降低”或“不变”)。 48.(2024·全国甲卷)在自然条件下,某植物叶片光合速率和呼吸速率随温度变化的趋势如图 所示。回答下列问题。 (1)该植物叶片在温度a和c时的光合速率相等,叶片有机物积累速率 (填“相 等”或“不相等”),原因是 。 (2)在温度d时,该植物体的干重会减少,原因是 。 (3)温度超过b时,该植物由于暗反应速率降低导致光合速率降低。暗反应速率降低的原因 可能是 。(答出一点即可) (4)通常情况下,为了最大程度地获得光合产物,农作物在温室栽培过程中,白天温室的 温度应控制在 最大时的温度。 49.(2024·黑吉辽)在光下叶绿体中的C 能与CO 反应形成C;当CO /O 比值低时,C 也能与 5 2 3 2 2 5O 反应形成C 等化合物。C 在叶绿体、过氧化物酶体和线粒体中经过一系列化学反应完成光呼 2 2 2 吸过程。上述过程在叶绿体与线粒体中主要物质变化如图1。 光呼吸将已经同化的碳释放,且整体上是消耗能量的过程。回答下列问题。 (1)反应①是 过程。 (2)与光呼吸不同,以葡萄糖为反应物的有氧呼吸产生NADH的场所是 和 。 (3)我国科学家将改变光呼吸的相关基因转入某种农作物野生型植株(WT),得到转基因 株系1和2,测定净光合速率,结果如图2、图3。图2中植物光合作用CO 的来源除了有外界 2 环境外,还可来自 和 (填生理过程)。7﹣10时株系1和2与WT净 光合速率逐渐产生差异,原因是 。据图3中的数据 (填“能”或“不能”)计算出株系1的总光合速率,理由是 。 (4)结合上述结果分析,选择转基因株系1进行种植,产量可能更具优势,判断的依据是 。 50.(2024·浙江选考) 长江流域的油菜生产易受渍害。渍害是因洪、涝积水或地下水位过度升 高,导致作物根系长期缺氧,对植株造成的胁迫及伤害。 回答下列问题: (1)发生渍害时,油菜地上部分以有氧(需氧)呼吸为主,有氧呼吸释放能量最多的是第 阶段。地下部分细胞利用丙酮酸进行乙醇发酵。这一过程发生的场所是 ,此代谢过程中需要乙醇脱氢酶的催化,促进氢接受体(NAD+)再生,从而使 得以顺利进行。因此,渍害条件下乙醇脱氢酶活性越高的品种越 (耐渍害/不耐渍 害)。 (2)以不同渍害能力的油菜品种为材料,经不同时长的渍害处理,测定相关生理指标并进 行相关性分析,结果见下表。 光合速率 蒸腾速率 气孔导度 胞间CO 浓度 叶绿素含量 2 光合速率 1 蒸腾速率 0.95 1 气孔导度 0.99 0.94 1 胞间CO 浓度 -0.99 -0.98 -0.99 1 2 叶绿素含量 0.86 0.90 0.90 -093 1 注:表中数值为相关系数(r),代表两个指标之间相关的密切程度。当|r|接近1时,相关越 密切,越接近0时相关越不密切。 据表分析,与叶绿素含量呈负相关的指标是 。已知渍害条件下光合速率显 著下降,则蒸腾速率呈 趋势。综合分析表内各指标的相关性,光合速率下降主要由 (气孔限制因素/非气孔限制因素)导致的,理由是 。 (3)植物通过形成系列适应机制响应渍害。受渍害时,植物体内 (激素)大量积 累,诱导气孔关闭,调整相关反应,防止有毒物质积累,提高植物对渍害的耐受力;渍害发生 后,有些植物根系细胞通过 ,将自身某些薄壁组织转化腔隙,形成通气组织, 促进氧气运输到根部,缓解渍害。 51.(2025·陕晋青宁)叶绿体中R酶既能催化CO 固定,也能催化C 与O 反应,CO 和O 两种 2 5 2 2 2 底物竞争R酶同一活性位点;线粒体中G酶参与催化甘氨酸转化为丝氨酸,如图(a)。为探究 保卫细胞巾G酶对植物光合作用的影响,研究者以野生型植株W为参照,构建了G酶表达量仅 在保卫细胞中增加的植株S,实验结果如图(b)。回答下列问题。(1)R酶催化CO 固定的场所是叶绿体的 ,产物C 在光反应生成的 2 3 参与下合成糖类等有机物。 (2)植物保卫细胞吸水,气孔开度增大。由图(a)(b)可知,相同光照条件下植株S保卫 细胞中G酶表达量提高,叶片的净光合速率高于植株W,原因是 。 (3)保持环境中CO 浓度不变,当O 浓度从21%升高到40%时,植株S的净光合速率 2 2 (填“增大”或“减小”);相较于植株W,植株S的净光合速率变化幅度 (填 “大”“小”或“无法判断”)。 (4)若需确认保卫细胞中G酶对叶片净光合速率的影响,还需补充一个实验组。写出实验 思路及预期结果: 。 52.(2025·江苏)科研人员从植物叶绿体中分离类囊体,构建含类囊体的人工细胞,并探究光 照等因素对人工细胞功能的影响。请回答下列问题: (1)细胞破碎后,在适宜温度下用低渗溶液处理,涨破 膜,获得类囊体悬液。经 离心分离获得类囊体,为保持其活性,需加入 溶液重新悬浮,并保存备用。 (2)类囊体浓度用单位体积类囊体悬液中叶绿素的含量表示。吸取5 μL 类囊体悬液溶于 995 μL 的 溶液中,混匀后,测定出叶绿素浓度为3 μg/mL,则类囊体的浓度为 μg/mL。(3)为检测类囊体活性,实验前需对类囊体进行多次洗涤,目的是消除类囊体悬液中原有 光反应产物对后续实验结果的影响,这些产物主要有 。 (4)已知荧光素 PY 的强弱与pH大小正相关。图示具有光反应活性的人工细胞,在适宜光 照下,荧光强度 (填“变强”“不变”或“变弱”),说明类囊体膜具有的功能有 。 (5)在光反应研究的基础上,利用人工细胞开展类似碳反应生成糖类的实验研究,理论上 还需要的物质有 。 53.(2025·山东)高光强环境下,植物光合系统吸收的过剩光能会对光合系统造成损伤,引起 光合作用强度下降。植物进化出的多种机制可在一定程度上减轻该损伤。某绿藻可在高光强下 正常生长,其部分光合过程如图所示。 (1)叶绿体膜的基本支架是 ;叶绿体中含有许多由类囊体组成的 ,扩展了受光面积。 (2)据图分析,生成NADPH所需的电子源自于 。采用同位素示踪法可追踪物质 的去向,用含3HO的溶液培养该绿藻一段时间后,以其光合产物葡萄糖为原料进行有氧呼吸时, 2 能进入线粒体基质被3H标记的物质有H2O、 .离心收集绿藻并重新放入含 H18O的培养液中,在适宜光照条件下继续培养,绿藻产生的带18O标记的气体有 。 2 (3)据图分析,通过途径①和途径②消耗过剩的光能减轻光合系统损伤的机制分别为 。 54.(2025·安徽)为探究水通道蛋白NtPIP对作物耐涝性的影响,科研小组测定了油菜的野生 型(WT)及NtPIP基因过量表达株(OE)在正常供氧(AT)和低氧(HT,模拟涝渍)条件下的根细胞呼 吸速率和氧浓度,结果见图1。回答下列问题。 (1)据图1分析,低氧胁迫下,NtPIP基因过量表达会使根细胞有氧呼吸 ,原因 是 。有氧呼吸第二阶 段丙酮酸中的化学能大部分被转化为 中储存的能量。 (2)科学家早期在探索有氧呼吸第二阶段代谢路径时发现,在添加丙二酸的组织悬浮液中 加入分子A、B或C时,E增多并累积(图2a);当加入F、G或H时,E也同样累积(图2b)。根 据此结果,针对有氧呼吸第二阶段代谢路径提出假设 。 (3)科研小组还发现,低氧条件下,NtPIP基因过量表达株的叶片净光合速率高于野生型。 结合根细胞呼吸速率的变化分析,其原因是 。 (4)光合作用光反应实质是光能引起的氧化还原反应,最终接受电子的物质(最终电子受体) 是 ,而最终提供电子的物质(最终电子供体)是 。 55.(2025·浙江)西兰花可食用部分为绿色花蕾、花茎组成花球,采摘后容易出现褪色、黄化、 老化等现象。某兴趣小组进行如下实验,以探究西兰花花球的保鲜方法。 实验分黑暗组、日光组和红光组三组。日光组和红光组的光照强度均为50μmol·m-2·s-1。各处 理的西兰花球均贮藏于20℃条件下,测定指标和结果如图所示。回答下列问题: (1)西兰花球采摘后水和 供应中断。水是光合作用的原料在光反应中,水裂 解产生O 和 。 2 (2)三组实验中花球的质量损失率均随着时间延长而 。前3天日光组和红光组的 质量损失率低于黑暗组,原因有 。第4天日光组的质量损失率高于黑暗组,原因可能是日光诱导气孔开放,引起 增强从而散失较多水分。 (3)第4天日光组和红光组的 下降比黑暗组更明显,但过氧化氢酶活性仍高 于黑暗组,因此推测日光或红光照射能减轻 过程产生的过氧化氢对细胞的损伤, 从而延缓衰老。 (4)第4天黑暗组西兰花花球出现褪色、黄化现象,原因是 。综合分析图中结果, 处理对西兰花花球保鲜效果最明显。 56.(2024·广东)某湖泊曾处于重度富营养化状态,水面漂浮着大量浮游藻类。管理部门通过 控源、清淤、换水以及引种沉水植物等手段,成功实现了水体生态恢复。引种的3种多年生草 本沉水植物(①金鱼藻、②黑藻、③苦草,答题时植物名称可用对应序号表示)在不同光照强 度下光合速率及水质净化能力见图。回答下列问题: (1)湖水富营养化时,浮游藻类大量繁殖,水体透明度低,湖底光照不足。原有沉水植物 因光合作用合成的有机物少于 的有机物,最终衰退和消亡。 (2)生态恢复后,该湖泊形成了以上述3种草本沉水植物为优势的群落垂直结构,从湖底到 水面依次是 ,其原因是 。 (3)为了达到湖水净化的目的,选择引种上述3种草本沉水植物的理由是 ,三者配合能实现综合治理效果。 (4)上述3种草本沉水植物中只有黑藻具有C 光合作用途径(浓缩CO 形成高浓度C 后, 4 2 4 再分解成CO 传递给C)使其在CO 受限的水体中仍可有效地进行光合作用,在水生植物群落 2 5 2 中竞争力较强。根据图a设计一个简单的实验方案,验证黑藻的碳浓缩优势,完成下列表格。 实验设计方案 实验材料 对照组: 实验组:黑藻 控制光照强度为 μmol·m-2·s-1 实验条件 营养及环境条件相同且适宜,培养时间相同 控制条件 测量指标 (5)目前在湖边浅水区种植的沉水植物因强光抑制造成生长不良,此外,大量沉水植物叶 片凋落,需及时打捞,增加维护成本。针对这两个实际问题从生态学角度提出合理的解决措施 。
基本 文件 流程 错误 SQL 调试
  1. 请求信息 : 2026-03-02 11:27:13 HTTP/1.1 GET : https://www.yeyulingfeng.com/wendang/330373.html
  2. 运行时间 : 0.094232s [ 吞吐率:10.61req/s ] 内存消耗:7,326.79kb 文件加载:144
  3. 缓存信息 : 0 reads,0 writes
  4. 会话信息 : SESSION_ID=7053f08ff75f797c102b77678781a0d5
  1. /yingpanguazai/ssd/ssd1/www/wwww.yeyulingfeng.com/public/index.php ( 0.79 KB )
  2. /yingpanguazai/ssd/ssd1/www/wwww.yeyulingfeng.com/vendor/autoload.php ( 0.17 KB )
  3. /yingpanguazai/ssd/ssd1/www/wwww.yeyulingfeng.com/vendor/composer/autoload_real.php ( 2.49 KB )
  4. /yingpanguazai/ssd/ssd1/www/wwww.yeyulingfeng.com/vendor/composer/platform_check.php ( 0.90 KB )
  5. /yingpanguazai/ssd/ssd1/www/wwww.yeyulingfeng.com/vendor/composer/ClassLoader.php ( 14.03 KB )
  6. /yingpanguazai/ssd/ssd1/www/wwww.yeyulingfeng.com/vendor/composer/autoload_static.php ( 6.05 KB )
  7. /yingpanguazai/ssd/ssd1/www/wwww.yeyulingfeng.com/vendor/topthink/think-helper/src/helper.php ( 8.34 KB )
  8. /yingpanguazai/ssd/ssd1/www/wwww.yeyulingfeng.com/vendor/topthink/think-validate/src/helper.php ( 2.19 KB )
  9. /yingpanguazai/ssd/ssd1/www/wwww.yeyulingfeng.com/vendor/ralouphie/getallheaders/src/getallheaders.php ( 1.60 KB )
  10. /yingpanguazai/ssd/ssd1/www/wwww.yeyulingfeng.com/vendor/topthink/think-orm/src/helper.php ( 1.47 KB )
  11. /yingpanguazai/ssd/ssd1/www/wwww.yeyulingfeng.com/vendor/topthink/think-orm/stubs/load_stubs.php ( 0.16 KB )
  12. /yingpanguazai/ssd/ssd1/www/wwww.yeyulingfeng.com/vendor/topthink/framework/src/think/Exception.php ( 1.69 KB )
  13. /yingpanguazai/ssd/ssd1/www/wwww.yeyulingfeng.com/vendor/topthink/think-container/src/Facade.php ( 2.71 KB )
  14. /yingpanguazai/ssd/ssd1/www/wwww.yeyulingfeng.com/vendor/symfony/deprecation-contracts/function.php ( 0.99 KB )
  15. /yingpanguazai/ssd/ssd1/www/wwww.yeyulingfeng.com/vendor/symfony/polyfill-mbstring/bootstrap.php ( 8.26 KB )
  16. /yingpanguazai/ssd/ssd1/www/wwww.yeyulingfeng.com/vendor/symfony/polyfill-mbstring/bootstrap80.php ( 9.78 KB )
  17. /yingpanguazai/ssd/ssd1/www/wwww.yeyulingfeng.com/vendor/symfony/var-dumper/Resources/functions/dump.php ( 1.49 KB )
  18. /yingpanguazai/ssd/ssd1/www/wwww.yeyulingfeng.com/vendor/topthink/think-dumper/src/helper.php ( 0.18 KB )
  19. /yingpanguazai/ssd/ssd1/www/wwww.yeyulingfeng.com/vendor/symfony/var-dumper/VarDumper.php ( 4.30 KB )
  20. /yingpanguazai/ssd/ssd1/www/wwww.yeyulingfeng.com/vendor/guzzlehttp/guzzle/src/functions_include.php ( 0.16 KB )
  21. /yingpanguazai/ssd/ssd1/www/wwww.yeyulingfeng.com/vendor/guzzlehttp/guzzle/src/functions.php ( 5.54 KB )
  22. /yingpanguazai/ssd/ssd1/www/wwww.yeyulingfeng.com/vendor/topthink/framework/src/think/App.php ( 15.30 KB )
  23. /yingpanguazai/ssd/ssd1/www/wwww.yeyulingfeng.com/vendor/topthink/think-container/src/Container.php ( 15.76 KB )
  24. /yingpanguazai/ssd/ssd1/www/wwww.yeyulingfeng.com/vendor/psr/container/src/ContainerInterface.php ( 1.02 KB )
  25. /yingpanguazai/ssd/ssd1/www/wwww.yeyulingfeng.com/app/provider.php ( 0.19 KB )
  26. /yingpanguazai/ssd/ssd1/www/wwww.yeyulingfeng.com/vendor/topthink/framework/src/think/Http.php ( 6.04 KB )
  27. /yingpanguazai/ssd/ssd1/www/wwww.yeyulingfeng.com/vendor/topthink/think-helper/src/helper/Str.php ( 7.29 KB )
  28. /yingpanguazai/ssd/ssd1/www/wwww.yeyulingfeng.com/vendor/topthink/framework/src/think/Env.php ( 4.68 KB )
  29. /yingpanguazai/ssd/ssd1/www/wwww.yeyulingfeng.com/app/common.php ( 0.03 KB )
  30. /yingpanguazai/ssd/ssd1/www/wwww.yeyulingfeng.com/vendor/topthink/framework/src/helper.php ( 18.78 KB )
  31. /yingpanguazai/ssd/ssd1/www/wwww.yeyulingfeng.com/vendor/topthink/framework/src/think/Config.php ( 5.54 KB )
  32. /yingpanguazai/ssd/ssd1/www/wwww.yeyulingfeng.com/config/alipay.php ( 3.59 KB )
  33. /yingpanguazai/ssd/ssd1/www/wwww.yeyulingfeng.com/vendor/topthink/framework/src/think/facade/Env.php ( 1.67 KB )
  34. /yingpanguazai/ssd/ssd1/www/wwww.yeyulingfeng.com/config/app.php ( 0.95 KB )
  35. /yingpanguazai/ssd/ssd1/www/wwww.yeyulingfeng.com/config/cache.php ( 0.78 KB )
  36. /yingpanguazai/ssd/ssd1/www/wwww.yeyulingfeng.com/config/console.php ( 0.23 KB )
  37. /yingpanguazai/ssd/ssd1/www/wwww.yeyulingfeng.com/config/cookie.php ( 0.56 KB )
  38. /yingpanguazai/ssd/ssd1/www/wwww.yeyulingfeng.com/config/database.php ( 2.48 KB )
  39. /yingpanguazai/ssd/ssd1/www/wwww.yeyulingfeng.com/config/filesystem.php ( 0.61 KB )
  40. /yingpanguazai/ssd/ssd1/www/wwww.yeyulingfeng.com/config/lang.php ( 0.91 KB )
  41. /yingpanguazai/ssd/ssd1/www/wwww.yeyulingfeng.com/config/log.php ( 1.35 KB )
  42. /yingpanguazai/ssd/ssd1/www/wwww.yeyulingfeng.com/config/middleware.php ( 0.19 KB )
  43. /yingpanguazai/ssd/ssd1/www/wwww.yeyulingfeng.com/config/route.php ( 1.89 KB )
  44. /yingpanguazai/ssd/ssd1/www/wwww.yeyulingfeng.com/config/session.php ( 0.57 KB )
  45. /yingpanguazai/ssd/ssd1/www/wwww.yeyulingfeng.com/config/trace.php ( 0.34 KB )
  46. /yingpanguazai/ssd/ssd1/www/wwww.yeyulingfeng.com/config/view.php ( 0.82 KB )
  47. /yingpanguazai/ssd/ssd1/www/wwww.yeyulingfeng.com/app/event.php ( 0.25 KB )
  48. /yingpanguazai/ssd/ssd1/www/wwww.yeyulingfeng.com/vendor/topthink/framework/src/think/Event.php ( 7.67 KB )
  49. /yingpanguazai/ssd/ssd1/www/wwww.yeyulingfeng.com/app/service.php ( 0.13 KB )
  50. /yingpanguazai/ssd/ssd1/www/wwww.yeyulingfeng.com/app/AppService.php ( 0.26 KB )
  51. /yingpanguazai/ssd/ssd1/www/wwww.yeyulingfeng.com/vendor/topthink/framework/src/think/Service.php ( 1.64 KB )
  52. /yingpanguazai/ssd/ssd1/www/wwww.yeyulingfeng.com/vendor/topthink/framework/src/think/Lang.php ( 7.35 KB )
  53. /yingpanguazai/ssd/ssd1/www/wwww.yeyulingfeng.com/vendor/topthink/framework/src/lang/zh-cn.php ( 13.70 KB )
  54. /yingpanguazai/ssd/ssd1/www/wwww.yeyulingfeng.com/vendor/topthink/framework/src/think/initializer/Error.php ( 3.31 KB )
  55. /yingpanguazai/ssd/ssd1/www/wwww.yeyulingfeng.com/vendor/topthink/framework/src/think/initializer/RegisterService.php ( 1.33 KB )
  56. /yingpanguazai/ssd/ssd1/www/wwww.yeyulingfeng.com/vendor/services.php ( 0.14 KB )
  57. /yingpanguazai/ssd/ssd1/www/wwww.yeyulingfeng.com/vendor/topthink/framework/src/think/service/PaginatorService.php ( 1.52 KB )
  58. /yingpanguazai/ssd/ssd1/www/wwww.yeyulingfeng.com/vendor/topthink/framework/src/think/service/ValidateService.php ( 0.99 KB )
  59. /yingpanguazai/ssd/ssd1/www/wwww.yeyulingfeng.com/vendor/topthink/framework/src/think/service/ModelService.php ( 2.04 KB )
  60. /yingpanguazai/ssd/ssd1/www/wwww.yeyulingfeng.com/vendor/topthink/think-trace/src/Service.php ( 0.77 KB )
  61. /yingpanguazai/ssd/ssd1/www/wwww.yeyulingfeng.com/vendor/topthink/framework/src/think/Middleware.php ( 6.72 KB )
  62. /yingpanguazai/ssd/ssd1/www/wwww.yeyulingfeng.com/vendor/topthink/framework/src/think/initializer/BootService.php ( 0.77 KB )
  63. /yingpanguazai/ssd/ssd1/www/wwww.yeyulingfeng.com/vendor/topthink/think-orm/src/Paginator.php ( 11.86 KB )
  64. /yingpanguazai/ssd/ssd1/www/wwww.yeyulingfeng.com/vendor/topthink/think-validate/src/Validate.php ( 63.20 KB )
  65. /yingpanguazai/ssd/ssd1/www/wwww.yeyulingfeng.com/vendor/topthink/think-orm/src/Model.php ( 23.55 KB )
  66. /yingpanguazai/ssd/ssd1/www/wwww.yeyulingfeng.com/vendor/topthink/think-orm/src/model/concern/Attribute.php ( 21.05 KB )
  67. /yingpanguazai/ssd/ssd1/www/wwww.yeyulingfeng.com/vendor/topthink/think-orm/src/model/concern/AutoWriteData.php ( 4.21 KB )
  68. /yingpanguazai/ssd/ssd1/www/wwww.yeyulingfeng.com/vendor/topthink/think-orm/src/model/concern/Conversion.php ( 6.44 KB )
  69. /yingpanguazai/ssd/ssd1/www/wwww.yeyulingfeng.com/vendor/topthink/think-orm/src/model/concern/DbConnect.php ( 5.16 KB )
  70. /yingpanguazai/ssd/ssd1/www/wwww.yeyulingfeng.com/vendor/topthink/think-orm/src/model/concern/ModelEvent.php ( 2.33 KB )
  71. /yingpanguazai/ssd/ssd1/www/wwww.yeyulingfeng.com/vendor/topthink/think-orm/src/model/concern/RelationShip.php ( 28.29 KB )
  72. /yingpanguazai/ssd/ssd1/www/wwww.yeyulingfeng.com/vendor/topthink/think-helper/src/contract/Arrayable.php ( 0.09 KB )
  73. /yingpanguazai/ssd/ssd1/www/wwww.yeyulingfeng.com/vendor/topthink/think-helper/src/contract/Jsonable.php ( 0.13 KB )
  74. /yingpanguazai/ssd/ssd1/www/wwww.yeyulingfeng.com/vendor/topthink/think-orm/src/model/contract/Modelable.php ( 0.09 KB )
  75. /yingpanguazai/ssd/ssd1/www/wwww.yeyulingfeng.com/vendor/topthink/framework/src/think/Db.php ( 2.88 KB )
  76. /yingpanguazai/ssd/ssd1/www/wwww.yeyulingfeng.com/vendor/topthink/think-orm/src/DbManager.php ( 8.52 KB )
  77. /yingpanguazai/ssd/ssd1/www/wwww.yeyulingfeng.com/vendor/topthink/framework/src/think/Log.php ( 6.28 KB )
  78. /yingpanguazai/ssd/ssd1/www/wwww.yeyulingfeng.com/vendor/topthink/framework/src/think/Manager.php ( 3.92 KB )
  79. /yingpanguazai/ssd/ssd1/www/wwww.yeyulingfeng.com/vendor/psr/log/src/LoggerTrait.php ( 2.69 KB )
  80. /yingpanguazai/ssd/ssd1/www/wwww.yeyulingfeng.com/vendor/psr/log/src/LoggerInterface.php ( 2.71 KB )
  81. /yingpanguazai/ssd/ssd1/www/wwww.yeyulingfeng.com/vendor/topthink/framework/src/think/Cache.php ( 4.92 KB )
  82. /yingpanguazai/ssd/ssd1/www/wwww.yeyulingfeng.com/vendor/psr/simple-cache/src/CacheInterface.php ( 4.71 KB )
  83. /yingpanguazai/ssd/ssd1/www/wwww.yeyulingfeng.com/vendor/topthink/think-helper/src/helper/Arr.php ( 16.63 KB )
  84. /yingpanguazai/ssd/ssd1/www/wwww.yeyulingfeng.com/vendor/topthink/framework/src/think/cache/driver/File.php ( 7.84 KB )
  85. /yingpanguazai/ssd/ssd1/www/wwww.yeyulingfeng.com/vendor/topthink/framework/src/think/cache/Driver.php ( 9.03 KB )
  86. /yingpanguazai/ssd/ssd1/www/wwww.yeyulingfeng.com/vendor/topthink/framework/src/think/contract/CacheHandlerInterface.php ( 1.99 KB )
  87. /yingpanguazai/ssd/ssd1/www/wwww.yeyulingfeng.com/app/Request.php ( 0.09 KB )
  88. /yingpanguazai/ssd/ssd1/www/wwww.yeyulingfeng.com/vendor/topthink/framework/src/think/Request.php ( 55.78 KB )
  89. /yingpanguazai/ssd/ssd1/www/wwww.yeyulingfeng.com/app/middleware.php ( 0.25 KB )
  90. /yingpanguazai/ssd/ssd1/www/wwww.yeyulingfeng.com/vendor/topthink/framework/src/think/Pipeline.php ( 2.61 KB )
  91. /yingpanguazai/ssd/ssd1/www/wwww.yeyulingfeng.com/vendor/topthink/think-trace/src/TraceDebug.php ( 3.40 KB )
  92. /yingpanguazai/ssd/ssd1/www/wwww.yeyulingfeng.com/vendor/topthink/framework/src/think/middleware/SessionInit.php ( 1.94 KB )
  93. /yingpanguazai/ssd/ssd1/www/wwww.yeyulingfeng.com/vendor/topthink/framework/src/think/Session.php ( 1.80 KB )
  94. /yingpanguazai/ssd/ssd1/www/wwww.yeyulingfeng.com/vendor/topthink/framework/src/think/session/driver/File.php ( 6.27 KB )
  95. /yingpanguazai/ssd/ssd1/www/wwww.yeyulingfeng.com/vendor/topthink/framework/src/think/contract/SessionHandlerInterface.php ( 0.87 KB )
  96. /yingpanguazai/ssd/ssd1/www/wwww.yeyulingfeng.com/vendor/topthink/framework/src/think/session/Store.php ( 7.12 KB )
  97. /yingpanguazai/ssd/ssd1/www/wwww.yeyulingfeng.com/vendor/topthink/framework/src/think/Route.php ( 23.73 KB )
  98. /yingpanguazai/ssd/ssd1/www/wwww.yeyulingfeng.com/vendor/topthink/framework/src/think/route/RuleName.php ( 5.75 KB )
  99. /yingpanguazai/ssd/ssd1/www/wwww.yeyulingfeng.com/vendor/topthink/framework/src/think/route/Domain.php ( 2.53 KB )
  100. /yingpanguazai/ssd/ssd1/www/wwww.yeyulingfeng.com/vendor/topthink/framework/src/think/route/RuleGroup.php ( 22.43 KB )
  101. /yingpanguazai/ssd/ssd1/www/wwww.yeyulingfeng.com/vendor/topthink/framework/src/think/route/Rule.php ( 26.95 KB )
  102. /yingpanguazai/ssd/ssd1/www/wwww.yeyulingfeng.com/vendor/topthink/framework/src/think/route/RuleItem.php ( 9.78 KB )
  103. /yingpanguazai/ssd/ssd1/www/wwww.yeyulingfeng.com/route/app.php ( 3.52 KB )
  104. /yingpanguazai/ssd/ssd1/www/wwww.yeyulingfeng.com/vendor/topthink/framework/src/think/facade/Route.php ( 4.70 KB )
  105. /yingpanguazai/ssd/ssd1/www/wwww.yeyulingfeng.com/vendor/topthink/framework/src/think/route/dispatch/Controller.php ( 4.74 KB )
  106. /yingpanguazai/ssd/ssd1/www/wwww.yeyulingfeng.com/vendor/topthink/framework/src/think/route/Dispatch.php ( 10.44 KB )
  107. /yingpanguazai/ssd/ssd1/www/wwww.yeyulingfeng.com/app/controller/Index.php ( 10.53 KB )
  108. /yingpanguazai/ssd/ssd1/www/wwww.yeyulingfeng.com/app/BaseController.php ( 2.05 KB )
  109. /yingpanguazai/ssd/ssd1/www/wwww.yeyulingfeng.com/vendor/topthink/think-orm/src/facade/Db.php ( 0.93 KB )
  110. /yingpanguazai/ssd/ssd1/www/wwww.yeyulingfeng.com/vendor/topthink/think-orm/src/db/connector/Mysql.php ( 5.44 KB )
  111. /yingpanguazai/ssd/ssd1/www/wwww.yeyulingfeng.com/vendor/topthink/think-orm/src/db/PDOConnection.php ( 52.47 KB )
  112. /yingpanguazai/ssd/ssd1/www/wwww.yeyulingfeng.com/vendor/topthink/think-orm/src/db/Connection.php ( 8.39 KB )
  113. /yingpanguazai/ssd/ssd1/www/wwww.yeyulingfeng.com/vendor/topthink/think-orm/src/db/ConnectionInterface.php ( 4.57 KB )
  114. /yingpanguazai/ssd/ssd1/www/wwww.yeyulingfeng.com/vendor/topthink/think-orm/src/db/builder/Mysql.php ( 16.58 KB )
  115. /yingpanguazai/ssd/ssd1/www/wwww.yeyulingfeng.com/vendor/topthink/think-orm/src/db/Builder.php ( 24.06 KB )
  116. /yingpanguazai/ssd/ssd1/www/wwww.yeyulingfeng.com/vendor/topthink/think-orm/src/db/BaseBuilder.php ( 27.50 KB )
  117. /yingpanguazai/ssd/ssd1/www/wwww.yeyulingfeng.com/vendor/topthink/think-orm/src/db/Query.php ( 15.71 KB )
  118. /yingpanguazai/ssd/ssd1/www/wwww.yeyulingfeng.com/vendor/topthink/think-orm/src/db/BaseQuery.php ( 45.13 KB )
  119. /yingpanguazai/ssd/ssd1/www/wwww.yeyulingfeng.com/vendor/topthink/think-orm/src/db/concern/TimeFieldQuery.php ( 7.43 KB )
  120. /yingpanguazai/ssd/ssd1/www/wwww.yeyulingfeng.com/vendor/topthink/think-orm/src/db/concern/AggregateQuery.php ( 3.26 KB )
  121. /yingpanguazai/ssd/ssd1/www/wwww.yeyulingfeng.com/vendor/topthink/think-orm/src/db/concern/ModelRelationQuery.php ( 20.07 KB )
  122. /yingpanguazai/ssd/ssd1/www/wwww.yeyulingfeng.com/vendor/topthink/think-orm/src/db/concern/ParamsBind.php ( 3.66 KB )
  123. /yingpanguazai/ssd/ssd1/www/wwww.yeyulingfeng.com/vendor/topthink/think-orm/src/db/concern/ResultOperation.php ( 7.01 KB )
  124. /yingpanguazai/ssd/ssd1/www/wwww.yeyulingfeng.com/vendor/topthink/think-orm/src/db/concern/WhereQuery.php ( 19.37 KB )
  125. /yingpanguazai/ssd/ssd1/www/wwww.yeyulingfeng.com/vendor/topthink/think-orm/src/db/concern/JoinAndViewQuery.php ( 7.11 KB )
  126. /yingpanguazai/ssd/ssd1/www/wwww.yeyulingfeng.com/vendor/topthink/think-orm/src/db/concern/TableFieldInfo.php ( 2.63 KB )
  127. /yingpanguazai/ssd/ssd1/www/wwww.yeyulingfeng.com/vendor/topthink/think-orm/src/db/concern/Transaction.php ( 2.77 KB )
  128. /yingpanguazai/ssd/ssd1/www/wwww.yeyulingfeng.com/vendor/topthink/framework/src/think/log/driver/File.php ( 5.96 KB )
  129. /yingpanguazai/ssd/ssd1/www/wwww.yeyulingfeng.com/vendor/topthink/framework/src/think/contract/LogHandlerInterface.php ( 0.86 KB )
  130. /yingpanguazai/ssd/ssd1/www/wwww.yeyulingfeng.com/vendor/topthink/framework/src/think/log/Channel.php ( 3.89 KB )
  131. /yingpanguazai/ssd/ssd1/www/wwww.yeyulingfeng.com/vendor/topthink/framework/src/think/event/LogRecord.php ( 1.02 KB )
  132. /yingpanguazai/ssd/ssd1/www/wwww.yeyulingfeng.com/vendor/topthink/think-helper/src/Collection.php ( 16.47 KB )
  133. /yingpanguazai/ssd/ssd1/www/wwww.yeyulingfeng.com/vendor/topthink/framework/src/think/facade/View.php ( 1.70 KB )
  134. /yingpanguazai/ssd/ssd1/www/wwww.yeyulingfeng.com/vendor/topthink/framework/src/think/View.php ( 4.39 KB )
  135. /yingpanguazai/ssd/ssd1/www/wwww.yeyulingfeng.com/vendor/topthink/framework/src/think/Response.php ( 8.81 KB )
  136. /yingpanguazai/ssd/ssd1/www/wwww.yeyulingfeng.com/vendor/topthink/framework/src/think/response/View.php ( 3.29 KB )
  137. /yingpanguazai/ssd/ssd1/www/wwww.yeyulingfeng.com/vendor/topthink/framework/src/think/Cookie.php ( 6.06 KB )
  138. /yingpanguazai/ssd/ssd1/www/wwww.yeyulingfeng.com/vendor/topthink/think-view/src/Think.php ( 8.38 KB )
  139. /yingpanguazai/ssd/ssd1/www/wwww.yeyulingfeng.com/vendor/topthink/framework/src/think/contract/TemplateHandlerInterface.php ( 1.60 KB )
  140. /yingpanguazai/ssd/ssd1/www/wwww.yeyulingfeng.com/vendor/topthink/think-template/src/Template.php ( 46.61 KB )
  141. /yingpanguazai/ssd/ssd1/www/wwww.yeyulingfeng.com/vendor/topthink/think-template/src/template/driver/File.php ( 2.41 KB )
  142. /yingpanguazai/ssd/ssd1/www/wwww.yeyulingfeng.com/vendor/topthink/think-template/src/template/contract/DriverInterface.php ( 0.86 KB )
  143. /yingpanguazai/ssd/ssd1/www/wwww.yeyulingfeng.com/runtime/temp/10a0c909b6afa23b5a52a2e2d58c3c0f.php ( 21.70 KB )
  144. /yingpanguazai/ssd/ssd1/www/wwww.yeyulingfeng.com/vendor/topthink/think-trace/src/Html.php ( 4.42 KB )
  1. CONNECT:[ UseTime:0.000655s ] mysql:host=127.0.0.1;port=3306;dbname=wenku;charset=utf8mb4
  2. SHOW FULL COLUMNS FROM `fenlei` [ RunTime:0.000547s ]
  3. SELECT * FROM `fenlei` WHERE `fid` = 0 [ RunTime:0.000258s ]
  4. SELECT * FROM `fenlei` WHERE `fid` = 63 [ RunTime:0.000243s ]
  5. SHOW FULL COLUMNS FROM `set` [ RunTime:0.000439s ]
  6. SELECT * FROM `set` [ RunTime:0.000188s ]
  7. SHOW FULL COLUMNS FROM `wendang` [ RunTime:0.000588s ]
  8. SELECT * FROM `wendang` WHERE `id` = 330373 LIMIT 1 [ RunTime:0.000440s ]
  9. UPDATE `wendang` SET `liulancishu` = 1 WHERE `id` = 330373 [ RunTime:0.003500s ]
  10. UPDATE `wendang` SET `lasttime` = 1772422033 WHERE `id` = 330373 [ RunTime:0.000489s ]
  11. SELECT * FROM `wendang` WHERE `id` < 330373 ORDER BY `id` DESC LIMIT 1 [ RunTime:0.000791s ]
  12. SELECT * FROM `wendang` WHERE `id` > 330373 ORDER BY `id` ASC LIMIT 1 [ RunTime:0.000350s ]
  13. SELECT * FROM `wendang` WHERE `id` <> 330373 ORDER BY `id` DESC LIMIT 10 [ RunTime:0.005870s ]
  14. SELECT * FROM `wendang` WHERE `id` <> 330373 ORDER BY `id` DESC LIMIT 10,10 [ RunTime:0.004869s ]
  15. SELECT * FROM `wendang` WHERE `id` <> 330373 ORDER BY `id` DESC LIMIT 20,10 [ RunTime:0.002443s ]
0.095869s