当前位置:首页>文档>2023年高考押题预测卷01(上海卷)-数学(全解全析)_2.2025数学总复习_2023年新高考资料_42023年高考数学押题预测卷

2023年高考押题预测卷01(上海卷)-数学(全解全析)_2.2025数学总复习_2023年新高考资料_42023年高考数学押题预测卷

  • 2026-04-16 21:50:29 2026-03-09 12:36:31

文档预览

2023年高考押题预测卷01(上海卷)-数学(全解全析)_2.2025数学总复习_2023年新高考资料_42023年高考数学押题预测卷
2023年高考押题预测卷01(上海卷)-数学(全解全析)_2.2025数学总复习_2023年新高考资料_42023年高考数学押题预测卷
2023年高考押题预测卷01(上海卷)-数学(全解全析)_2.2025数学总复习_2023年新高考资料_42023年高考数学押题预测卷
2023年高考押题预测卷01(上海卷)-数学(全解全析)_2.2025数学总复习_2023年新高考资料_42023年高考数学押题预测卷
2023年高考押题预测卷01(上海卷)-数学(全解全析)_2.2025数学总复习_2023年新高考资料_42023年高考数学押题预测卷
2023年高考押题预测卷01(上海卷)-数学(全解全析)_2.2025数学总复习_2023年新高考资料_42023年高考数学押题预测卷
2023年高考押题预测卷01(上海卷)-数学(全解全析)_2.2025数学总复习_2023年新高考资料_42023年高考数学押题预测卷
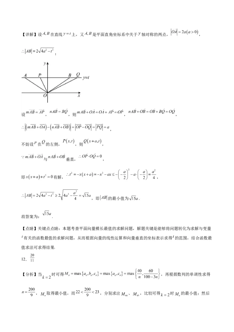
2023年高考押题预测卷01(上海卷)-数学(全解全析)_2.2025数学总复习_2023年新高考资料_42023年高考数学押题预测卷
2023年高考押题预测卷01(上海卷)-数学(全解全析)_2.2025数学总复习_2023年新高考资料_42023年高考数学押题预测卷
2023年高考押题预测卷01(上海卷)-数学(全解全析)_2.2025数学总复习_2023年新高考资料_42023年高考数学押题预测卷
2023年高考押题预测卷01(上海卷)-数学(全解全析)_2.2025数学总复习_2023年新高考资料_42023年高考数学押题预测卷
2023年高考押题预测卷01(上海卷)-数学(全解全析)_2.2025数学总复习_2023年新高考资料_42023年高考数学押题预测卷
2023年高考押题预测卷01(上海卷)-数学(全解全析)_2.2025数学总复习_2023年新高考资料_42023年高考数学押题预测卷
2023年高考押题预测卷01(上海卷)-数学(全解全析)_2.2025数学总复习_2023年新高考资料_42023年高考数学押题预测卷
2023年高考押题预测卷01(上海卷)-数学(全解全析)_2.2025数学总复习_2023年新高考资料_42023年高考数学押题预测卷
2023年高考押题预测卷01(上海卷)-数学(全解全析)_2.2025数学总复习_2023年新高考资料_42023年高考数学押题预测卷
2023年高考押题预测卷01(上海卷)-数学(全解全析)_2.2025数学总复习_2023年新高考资料_42023年高考数学押题预测卷
2023年高考押题预测卷01(上海卷)-数学(全解全析)_2.2025数学总复习_2023年新高考资料_42023年高考数学押题预测卷
2023年高考押题预测卷01(上海卷)-数学(全解全析)_2.2025数学总复习_2023年新高考资料_42023年高考数学押题预测卷
2023年高考押题预测卷01(上海卷)-数学(全解全析)_2.2025数学总复习_2023年新高考资料_42023年高考数学押题预测卷

文档信息

文档格式
docx
文档大小
0.917 MB
文档页数
20 页
上传时间
2026-03-09 12:36:31

文档内容

2023年高考押题预测卷01【上海卷】 数学·全解全析 1. /-0.5 【分析】 复数的乘法计算和复数的虚部和实部的意义即可求解. 【详解】 , 因为 , 所以 , 所以 , 所以 , 故答案为: . 2. 【分析】首先根据展开式中存在 一项可知 ,然后根据二项式展开式的通式结合已知条件列出关于 的方程,解方程即可求出参数 的值. 【详解】根据已知条件 是二项式展开式的某一项,故得 . 由 ,令 ,得 . 得 ,根据已知可得 ,解得 ,即 . 故答案为: . 3. 【分析】设函数 在 上的零点为 ,则由 ,则 在直线 上,则 可看作是 到直线 的距离的平方,利用导数求出其最小值即可得到答案 【详解】解:设函数 在 上的零点为 ,则 , 所以点 在直线 上, 设 为坐标原点,则 ,其最小值就是 到直线 的距离的平方, 所以 , , 设 ,设 , 则 ,所以 在 上单调递减, 所以 , 所以 即 ,所以 的最小值为 , 故答案为: 4. 【分析】计算 , ,再计算交集得到答案. 【详解】 , . 故 . 故答案为: 5. 【分析】首先求出基本事件总数,再求出满足条件的事件数,最后利用古典概型的概率公式计算可得. 【详解】依题意在一副不含大小王的 张扑克牌中不放回的抽取三次,抽到两张 ,一张 ,再不放回的抽取两次,共有 种抽法, 抽到一张 、一张 的方法有 种抽法,抽到两张 的方法有 种抽法, 故接下来两次抽取能抽到“三带二”的牌型的方法有 种, 故接下来两次抽取能抽到“三带二”的牌型的概率 . 故答案为: 6. 【分析】设双曲线的左焦点为 ,连接 , ,则 , ,解得 ,得到 , ,得到答案. 【详解】如图所示:设双曲线的左焦点为 ,连接 , , ,则 ,四边形 为矩形, . 故 , ,则 , ,故 , . 双曲线 的方程为 . 故答案为:7. 【分析】不妨设 、 、 相交于点 ,根据题意构造两个圆锥,结合轴截面可得 与 所成角的最小值与 最大值,可得答案. 【详解】不妨设 、 、 相交于点 .如图,根据题意构造两个圆锥,其中底面圆心为 ,轴 所在直 线为 ,小圆锥的母线所在直线为 ,轴截面 ;大圆锥的母线所在直线为 ,轴截面 ,且 在一条直线上. 由题意 ,又 ,可知 , 由图可知,当 移动到 , 移动到 时,可得 与 所成角的最小,最小值为 ; 当 移动到 , 移动到 时,可得 与 所成角的最大,最大值为 , 所以, 与 所成角的取值范围为 . 故答案为: . 8. 【分析】确定 , , ,再根据和差公式计算得到答案. 【详解】 , 是第二象限的角,则 , 则 ,. 故答案为: 9. (答案不唯一) 【分析】由奇函数的性质及对称轴得函数的周期,再结合已知解析式作出函数图象,由于 ,由 的定义及函数的单调性得出 , , ,求出 与 图象交点的横坐标(在 上求出,由周期性易得其他值),然后分析推理得出 时的 值. 【详解】因为 是奇函数,且图象关于直线 对称,则 , 于是 ,即函数 是周期函数,4是它的一个周期,作出函数的部分图象,如图, 当 时, ,最大值为1,因此 的最大值为1,且 , , 由于 ,因此 ,否则 ,矛盾, 在 上递增,若 ,则 ,即 ,矛盾,于是 , 即有 , ,并且有 ,否则 ,从而 , 由 得 或 ,所以图中 , ,当 时, ,满足题意,当 时, ,满足题意, 综上, 的值为 或 . 故答案为: 10.[1,13] 【分析】根据二次函数的性质和已知条件得到m与n的关系,化简 后利用不等式即可求出其 范围. 【详解】二次函数f(x)对称轴为 , ∵f(x)值域为 , ∴ 且 ,n>0. , ∵ = = = = ∴ , , ∴ ∈[1,13]. 故答案为:[1,13]. 11. 【分析】设 , ,根据向量线性运算可得 ,设 ,则 ,由向量 垂直的坐标表示可构造方程,结合二次函数最值求法可求得 ,由 可求得最小值.【详解】设 在直线 上,又 是平面直角坐标系中关于 轴对称的两点, , ; 设 , ,则 , , , 不妨设 在 的左侧, ,则 , 与 垂直, , 即 有解, , ,即 的最小值为 . 故答案为: . 【点睛】关键点点睛:本题考查平面向量模长最值的求解问题,解题关键是能够将问题转化为求解与变量 有关的函数最值的求解问题,从而根据向量的线性运算和向量垂直的坐标表示求得 的范围,结合函数最 值求法可求得结果. 12. 【分析】当 时可得 ,再根据数列的单调性求得 , 取得最小值,而 ,分别求出 、 ,比较可得 时 的最小值;然后当 、 时,根据数列的单调性,分别求出可能取得最小值时的值,比较即可得答案. 【详解】当 时可得 , 因为数列 是单调递减数列,数列 为单调递增数列, 所以当 时, 取得最小值,此时 , 因为 ,而 , , 又 ,所以当 时, 的最小值为 ; 当 时, , 因为数列 为单调递减数列,数列 为单调递增数列, 所以当 时, 取得最小值,此时 , 因为 ,而 , , 此时 的最小值为 ,而 ; 当 时, , , 所以 , 令 , 因为数列 为单调递减数列,数列 为单调递增数列, 所以 时, 取得最小值,此时 ,因为 , , , 又因为 ,此时 的最小值为 . 综上所述, 的最小值为 . 故答案为: . 13.B 【分析】将支架看作一个正四棱锥,根据已知及相切关系得到三角形相似,利用相似比求球心 到点 的 距离. 【详解】 如上图正四棱锥 , 为底面中心, 为球心, 为球体与 的切点, 又 ,故 各侧面均为等边三角形, 若侧面三角形边长为 ,则 , , , 显然 △ △ ,故 ,则 . 故选:B. 14.B 【分析】解出不等式的解集,判断“ ”和“ ”之间的逻辑推理关系,即得答案. 【详解】解 ,当 时,即 ,则 ,此时解集为 , 当 时,即 ,则 ,此时解集为 , 当 时,即 ,则 ,此时解集为 ,故“ ”成立时,等价于 ; 当“ ”成立时,等价于 , 故 成立时,不一定推出 成立,反之成立, 故“ ”是“ ”的必要不充分条件, 故选:B 15.B 【分析】根据指对幂函数的性质依次判断各选项即可得答案. 【详解】解:对于A选项,函数 为奇函数,在定义域上无单调性,故错误; 对于B选项,函数 为奇函数,当 时, 为减函数,故函数 在定义域内 为减函数,故B正确; 对于C,由于函数 均为增函数,故 在定义域内为单调递增函数,故C错误; 对于D选项,函数 为非奇非偶函数,故错误. 故选:B 16.C 【分析】对①,分析当 时点 的轨迹总落在某个椭圆上即可; 对②,设 , , ,则 ,利用点差法,化简可得 ,故若存在 ,使得点 的轨迹总落在某条直线上则 为常数,再化简分析 推出无解即可 【详解】设 , , ,则 . 对①,当 时, , ,易得 ,故两式相减有 ,易得此时 ,故 ,所以 ,即 .代入 可得 ,所以 ,故存在 ,使得点 的轨迹总落在椭圆 上.故①正确; 对②, , .由题意,若存在 ,使得点 的轨迹总落在某条直线上,则 , , 两式相减有 ,即 ,又 ,故 ,即 ,又 ,故若存在 ,使得点 的轨迹总落在某条 直线上,则 为常数.即 为定值,因为分子分母 次数不同,故若为定值则 恒成立,即 ,无解.即不存在 ,使得点 的轨迹总落 在某条直线上 故选:C 17.(1)证明见解析; (2) . 【分析】(1)由 , 结合面面垂直的判定证明即可; (2)以点 为坐标原点,建立坐标系,再由向量法得出二面角 的余弦值. 【详解】(1)在 中, , 所以 , 所以 ,所以 , 因为 平面 平面 , 所以 ,因为 , 平面 , 所以 平面 ,因为 平面 , 所以平面 平面 ; (2)因为 平面 ,所以 ,又 , 所以以 为原点, 分别为 轴建立空间直角坐标系: 则 ,则 , 设平面 的法向量为 , 则 ,取 ,得 ,得 , 取平面 的法向量为 , 设二面角 的大小为 ,由图形知, 为锐角, 所以 , 所以二面角 的余弦值为 . 18.(1)存在,理由见解析. (2)证明见解析. 【分析】(1)运用函数的奇偶性的定义,即可求出a的值,进而说明存在.(2)求出函数的导数, 在 上大于0恒成立,结合二次函数判断函数的单调性即可证明本题. 【详解】(1)若 为奇函数,则 恒成立, 即 ,∴ ,∴ , 则当 时, 为奇函数. (2)∵ , ∴ , 设 ,∴ , 开口向下,对称轴为 ,∵ ,∴ , 则 ,则当 时,函数 在区间 上是严格增函数. 19.(1) (2) 【分析】(1)在 中,求得 ,在 中,求得 ,根据三角形的面 积公式即可求解. (2)令 ,利用降次化一得到 ,根据正弦 函数的性质可求得 的取值范围,最终求得 的范围,从而可解. 【详解】(1)依题意得:点A到 的距离分别为2,6即 在 中, , ,即 , , , , 在 中, , 即 , 即 .(2)由(1)知 , 设 , , , ∴当 ,即 时,函数 的最小值 . 20.(1){bn}与{an}不成“4级关联”,理由见解析 (2)2022 (3)证明见解析 【分析】(1)根据“4级关联”的定义判断; (2)根据“4级关联”的可得 ,根据累加法即数列的周期性可求 ; (3)根据定义可得 ,再分别证明结论的充分性和必要性即可. 【详解】(1))由 ,可得 , 显然,等式不恒成立,举反例: 时,有:左 右. ∴ 与 不成“4级关联”.(2)由 可得: , 利用累加法: , 整理得: , 由 可知: 且第一周期内有 , 所以 , 而又因为 ,故 ; (3)证明:由已知可得 , 所以 , 所以 , (a)先说明必要性. 由 为递增数列可知: , 当 时, , 所以 , 当 时, , 由(*)式可知: ,故 ,(必要性得证) (b)再说明充分性. 考虑反证法.假设数列 中存在两项满足 ,得到 , 由于 结合 ,能够得到: ,可知 对于全体正整数 都成立,这与存在一项 矛盾!假设不成立,(充分性得证) 由(a)、(b),命题得证. 21.(1) ; (2)1; (3)是 , 【分析】(1)根据椭圆和双曲线的关系,结合椭圆和双曲线的性质,求得 代入方程即可求解; (2)设点 ,利用斜率方程求得k,结合双曲线方程,即可求得k; (3)法一:分两种情况讨论,当直线l的斜率为0,则 ,当直线l的斜率不为0,设直线方程并与 椭圆方程联立,结合韦达定理,然后根据 ,联立方程即可出. 法二:直接设直线 ,联立椭圆方程得到韦达定理式,根据向量关系求出 的表达式,设 ,整理得 ,再整体代入即可. 【详解】(1)设椭圆 的右焦点为(c,0)(c>0),则 , 由题知,双曲线 : ,所以 ,即 , 因为 的周长为 ,即 , 联立①②③得, , 所以椭圆 的方程为 , 双曲线 的标准方程为 (2)设双曲线 上的点 , ,则 . 又 (3)是;由题知直线l的斜率存在, 法一: ①当直线l的斜率为0时, , , ②当直线l的斜率不为0时,设其方程为 , ④ 解得 ,其中 ,且 , , , 由, 所以点R在一条定直线 上. 法二: 依题可知:直线的斜率存在,设其方程为 , , 所以 ,消元整理得, 所以 , 由 得, ,所以 , 设 ,由 得, 所以 , 所以 在定直线 上.