当前位置:首页>文档>2023年山西省阳泉市中考地理真题(空白卷)_❤山西历年中考真题_9.山西中考地理2018-2025

2023年山西省阳泉市中考地理真题(空白卷)_❤山西历年中考真题_9.山西中考地理2018-2025

  • 2026-03-23 09:23:04 2026-03-09 13:27:43

文档预览

2023年山西省阳泉市中考地理真题(空白卷)_❤山西历年中考真题_9.山西中考地理2018-2025
2023年山西省阳泉市中考地理真题(空白卷)_❤山西历年中考真题_9.山西中考地理2018-2025
2023年山西省阳泉市中考地理真题(空白卷)_❤山西历年中考真题_9.山西中考地理2018-2025
2023年山西省阳泉市中考地理真题(空白卷)_❤山西历年中考真题_9.山西中考地理2018-2025
2023年山西省阳泉市中考地理真题(空白卷)_❤山西历年中考真题_9.山西中考地理2018-2025
2023年山西省阳泉市中考地理真题(空白卷)_❤山西历年中考真题_9.山西中考地理2018-2025
2023年山西省阳泉市中考地理真题(空白卷)_❤山西历年中考真题_9.山西中考地理2018-2025
2023年山西省阳泉市中考地理真题(空白卷)_❤山西历年中考真题_9.山西中考地理2018-2025

文档信息

文档格式
docx
文档大小
1.206 MB
文档页数
8 页
上传时间
2026-03-09 13:27:43

文档内容

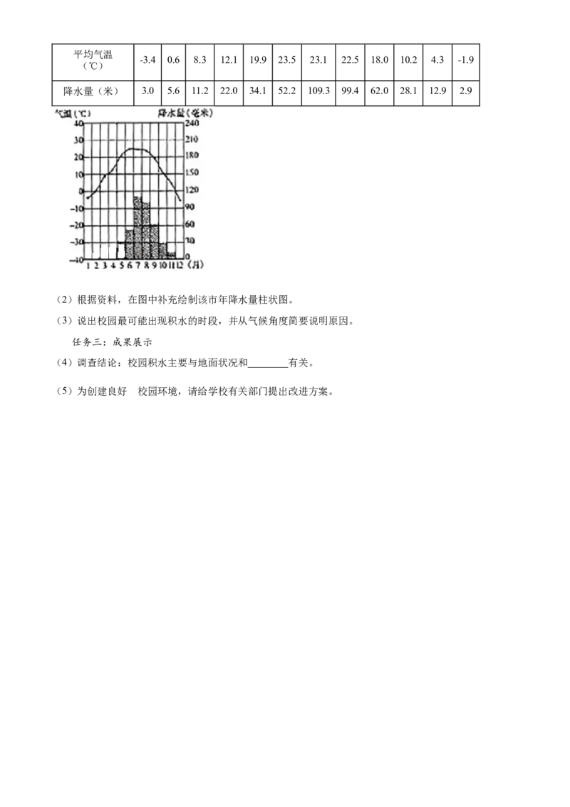
地理 第Ⅰ卷选择题(共15分) 一、选择题(每小题的四个选项中,只有一项符合题意,请选出并在答题卡上将该选项涂黑。 本大题包含15个小题,每小题1分,共15分。) 神舟十六号载人飞船于2023年5月30日在酒泉成功发射,晋谷21、小麦晋麦47号、高粱晋糯3号等 八大类种子实验材料随行“落户”太空,并将开展太空育种实验。下图示意地球公转(图中二分二至日均 指北半球)。据此完成下面小题。 1. 神舟十六号发射当天,地球运行至公转轨道中的( ) A. ①②之间 B. ②③之间 C. ③④之间 D. ④①之间 的 2. “落户”太空 八大类种子实验材料来自( ) A. 甘肃省 B. 河南省 C. 吉林省 D. 山西省 3. 我国能够开展太空育种实验,主要得益于( ) A. 便利的交通条件 B. 多样的气候类型 C. 先进的科学技术 D. 丰富的矿产资源 我国南方某市河口村位于河流交汇处的低地,河道泥沙淤积问题长期威胁百姓安全。近年来,在政府 的关怀下,河口村整体搬迁并建成宜居宜业的和美乡村。为了解河口村的“前世今生”,某中学地理社团 前往河口村附近进行研学考察。下图示意河口村及其周边地区等高线地形图(数值单位:米)。据此完成 下面小题。7月10日 7月11日 7月12日 7月13日 16~21℃ 18~24℃ 19~26℃ 22~29℃ 4. 适合开展研学考察的时间是( ) A. 7月10日 B. 7月11日 C. 7月12日 D. 7月13日 5. 河口新村位于旧址的( ) A. 东南方向 B. 东北方向 C. 西北方向 D. 西南方向 6. 据图推测河口村旧址易发生的自然灾害是( ) A. 洪涝 B. 地震 C. 海啸 D. 干旱 极地考察能力是一个国家科研能力和综合国力的体现。迄今为止,我国已在南极地区陆续建立了四个 科学考察站。作为地球上最后一片净土,南极地区的环境保护受到全世界的重视。下图示意南极地区。据 此完成下面小题。 7. 我国南极科学考察站中,纬度位置最高的是( ) A. 昆仑站 B. 中山站 C. 泰山站 D. 长城站 8. 科考队员在南极地区面临的恶劣气候条件是( )A. 炎热干燥 B. 酷寒烈风 C. 高寒缺氧 D. 高温多雨 9. 保护南极地区生态环境的正确做法是( ) A. 随手乱扔垃圾 B. 处理放射性废物 C. 禁止乱捕滥杀 D. 大力开发旅游业 黄河是中华民族的“母亲河”,十四五规划将黄河流域生态保护和高质量发展上升为重大国家战略, 下图示念黄河流域。据此完成下面小题。 10. 黄河源头所在的三江源地区被誉为( ) A. “天府之国” B. “中华水塔” C. “东方明珠” D. “鱼米之乡” 11. 黄河是世界上含沙量最大的河流,泥沙主要来源于( ) A. 源头 B. 上游 C. 中游 D. 下游 12. 落实黄河流域生态保护和高质量发展的措施是( ) A. 禁止开采煤炭 B. 大力开发航运 C. 退耕还林还草 D. 陡坡开荒种地 大熊猫是我国的国宝,主要分布在四川、陕西和甘肃的山区。作为友好使者飘洋过海“出差”到世界 各地。下图示意大熊猫“出差”的国家分布。据此完成下面小题。 13. 从纬度位置看,大熊猫“出差”的国家大部分位于( ) A. 高纬度地区 B. 赤道地区 C. 低纬度地区 D. 中纬度地区 14. 大熊猫漂洋“出差”到澳大利亚,途经的大洋是( ) A. 北冰洋 B. 太平洋 C. 大西洋 D. 印度洋 15. 大熊猫到世界各地“出差”有利于( ). A 增进国际友好 B. 实现人地和谐 C. 改善生态环境 D. 提升科技水平 第Ⅱ卷非选择题(共35分) 二、非选择题(本大题包含3个小题,共35分。) 的 16. 【寻“枣”记】小丽同学在超市购买了一种叫椰枣 果品,发现与产自我国的红枣不同。为了寻找并 了解椰枣的“家”,某地理社团开启寻“枣”之旅。阅读图文资料,完成下列内容。 探究一:慧眼识枣 椰枣是枣椰树的果实,口感香甜、软 糯,富含果糖、多种维生素、蛋白质及其 他营养物质,被誉为“沙漠面包”。 (1)说出椰枣的营养价值。 探究二:探访寻枣 枣椰树是热带、亚热带绿洲农业的代表植物,耐干旱、耐高温、喜阳光,但需要较多的水分才能结出 丰硕的果实,人们形象地称它是“头长在火中,脚浸在水里”。位于沙特阿拉伯东部的哈萨绿洲拥有该地 区最丰富的地下水资源,是该国最大的椰枣产地。 (2)简要分析哈萨绿洲成为该国最大椰枣产地的原因。 探究三:头脑风暴 同学们通过查阅资料了解到椰枣既可当粮食,又可制糖和酿酒。于是大家围绕“是否可以在沙特阿拉 伯大规模推广种植椰枣”展开讨论。(3)针对上述问题,请表明你的观点并说明理由。 (4)踏着寻“枣”的脚步继续探访、请将你对该国自然和人文地理特征的更多了解归纳并整理在信息卡 上。 ①___________②___________③___________ 的 17. 【中国智慧 中国方案】“十四五”是我国落实“双碳”目标 关键期、窗口期,我国能源行业加快转 型,新能源及其相关产业成为经济高质量发展的新引擎。阅读图文资料,完成下列内容。 探究一:能源革命 势在必行 我国2020年能源消费结构示意图 (1)说出我国2020年消费占比最大的能源以及对环境造成的影响。 探究二:以智创新 领跑全球 我国新能源汽车产销连续8年保持全球第一,是现阶段重点发展的战略性新兴产业,总部位于深圳的 我国某汽车企业、以技术突破为基础,成为2022年全球新能源汽车销量冠军。(2)说出深圳所在工业基地的名称、并简述其发展的有利条件。 探究三:绿色方案 惠及世界 发展新能源汽车是我国应对气候变化,推动绿色发展的战略举措。“中国造”新能源汽车正成为中国 工业的又一闪亮名片,为世界贡献中国方案。 (3)举例说明发展新能源汽车的重要意义。 (4)小明家计划在传统燃油车和新能源汽车中选择一种购买、请给出建议并说明理由。 18. 【项目化学习】 项目主题:我的校园 我的家 项目背景:某中学校园内在连续较长时间降水或遇暴雨天气后,部分区域路面常会出现积水,给师生 的学习生活带来不便。为解决这一问题,地理小组以“我的校园我的家”为主题,开展项目化学习。 任务一:实地调查 小组成员测量并绘制了校园平面图。某次较强降水后,同学们我到积水位置,并把积水明显的区域标 记在图中相应位置。 (1)调查发现有植被覆盖的区域积水现象不明显,试简要分析原因。 任务二:分析探究 同学们收集了所在城市的气候资料,如下表。 月份 1 2 3 4 5 6 7 8 9 10 11 12平均气温 -3.4 0.6 8.3 12.1 19.9 23.5 23.1 22.5 18.0 10.2 4.3 -1.9 (℃) 降水量(米) 3.0 5.6 11.2 22.0 34.1 52.2 109.3 99.4 62.0 28.1 12.9 2.9 (2)根据资料,在图中补充绘制该市年降水量柱状图。 (3)说出校园最可能出现积水的时段,并从气候角度简要说明原因。 任务三:成果展示 (4)调查结论:校园积水主要与地面状况和________有关。 的 (5)为创建良好 校园环境,请给学校有关部门提出改进方案。