当前位置:首页>文档>专题07圆周运动(解析版)_4.2025物理总复习_赠品通用版(老高考)复习资料_专项复习_2023年高考冲刺物理热点知识讲练与题型归纳(全国通用)

专题07圆周运动(解析版)_4.2025物理总复习_赠品通用版(老高考)复习资料_专项复习_2023年高考冲刺物理热点知识讲练与题型归纳(全国通用)

  • 2026-03-09 19:50:09 2026-03-09 19:45:38

文档预览

专题07圆周运动(解析版)_4.2025物理总复习_赠品通用版(老高考)复习资料_专项复习_2023年高考冲刺物理热点知识讲练与题型归纳(全国通用)
专题07圆周运动(解析版)_4.2025物理总复习_赠品通用版(老高考)复习资料_专项复习_2023年高考冲刺物理热点知识讲练与题型归纳(全国通用)
专题07圆周运动(解析版)_4.2025物理总复习_赠品通用版(老高考)复习资料_专项复习_2023年高考冲刺物理热点知识讲练与题型归纳(全国通用)
专题07圆周运动(解析版)_4.2025物理总复习_赠品通用版(老高考)复习资料_专项复习_2023年高考冲刺物理热点知识讲练与题型归纳(全国通用)
专题07圆周运动(解析版)_4.2025物理总复习_赠品通用版(老高考)复习资料_专项复习_2023年高考冲刺物理热点知识讲练与题型归纳(全国通用)
专题07圆周运动(解析版)_4.2025物理总复习_赠品通用版(老高考)复习资料_专项复习_2023年高考冲刺物理热点知识讲练与题型归纳(全国通用)
专题07圆周运动(解析版)_4.2025物理总复习_赠品通用版(老高考)复习资料_专项复习_2023年高考冲刺物理热点知识讲练与题型归纳(全国通用)
专题07圆周运动(解析版)_4.2025物理总复习_赠品通用版(老高考)复习资料_专项复习_2023年高考冲刺物理热点知识讲练与题型归纳(全国通用)
专题07圆周运动(解析版)_4.2025物理总复习_赠品通用版(老高考)复习资料_专项复习_2023年高考冲刺物理热点知识讲练与题型归纳(全国通用)
专题07圆周运动(解析版)_4.2025物理总复习_赠品通用版(老高考)复习资料_专项复习_2023年高考冲刺物理热点知识讲练与题型归纳(全国通用)
专题07圆周运动(解析版)_4.2025物理总复习_赠品通用版(老高考)复习资料_专项复习_2023年高考冲刺物理热点知识讲练与题型归纳(全国通用)
专题07圆周运动(解析版)_4.2025物理总复习_赠品通用版(老高考)复习资料_专项复习_2023年高考冲刺物理热点知识讲练与题型归纳(全国通用)
专题07圆周运动(解析版)_4.2025物理总复习_赠品通用版(老高考)复习资料_专项复习_2023年高考冲刺物理热点知识讲练与题型归纳(全国通用)
专题07圆周运动(解析版)_4.2025物理总复习_赠品通用版(老高考)复习资料_专项复习_2023年高考冲刺物理热点知识讲练与题型归纳(全国通用)
专题07圆周运动(解析版)_4.2025物理总复习_赠品通用版(老高考)复习资料_专项复习_2023年高考冲刺物理热点知识讲练与题型归纳(全国通用)
专题07圆周运动(解析版)_4.2025物理总复习_赠品通用版(老高考)复习资料_专项复习_2023年高考冲刺物理热点知识讲练与题型归纳(全国通用)
专题07圆周运动(解析版)_4.2025物理总复习_赠品通用版(老高考)复习资料_专项复习_2023年高考冲刺物理热点知识讲练与题型归纳(全国通用)
专题07圆周运动(解析版)_4.2025物理总复习_赠品通用版(老高考)复习资料_专项复习_2023年高考冲刺物理热点知识讲练与题型归纳(全国通用)
专题07圆周运动(解析版)_4.2025物理总复习_赠品通用版(老高考)复习资料_专项复习_2023年高考冲刺物理热点知识讲练与题型归纳(全国通用)
专题07圆周运动(解析版)_4.2025物理总复习_赠品通用版(老高考)复习资料_专项复习_2023年高考冲刺物理热点知识讲练与题型归纳(全国通用)
专题07圆周运动(解析版)_4.2025物理总复习_赠品通用版(老高考)复习资料_专项复习_2023年高考冲刺物理热点知识讲练与题型归纳(全国通用)
专题07圆周运动(解析版)_4.2025物理总复习_赠品通用版(老高考)复习资料_专项复习_2023年高考冲刺物理热点知识讲练与题型归纳(全国通用)
专题07圆周运动(解析版)_4.2025物理总复习_赠品通用版(老高考)复习资料_专项复习_2023年高考冲刺物理热点知识讲练与题型归纳(全国通用)
专题07圆周运动(解析版)_4.2025物理总复习_赠品通用版(老高考)复习资料_专项复习_2023年高考冲刺物理热点知识讲练与题型归纳(全国通用)
专题07圆周运动(解析版)_4.2025物理总复习_赠品通用版(老高考)复习资料_专项复习_2023年高考冲刺物理热点知识讲练与题型归纳(全国通用)

文档信息

文档格式
docx
文档大小
0.715 MB
文档页数
25 页
上传时间
2026-03-09 19:45:38

文档内容

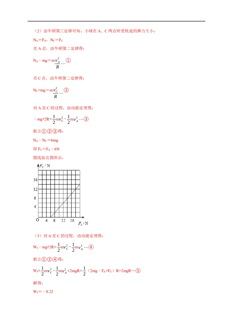
专题 07 圆周运动 [题型导航] 题型一 圆周运动的运动学问题...........................................................................................................1 题型二 圆周运动的动力学问题...........................................................................................................5 题型三 竖直面内圆周运动的两类模型问题.....................................................................................12 题型四 圆周运动中的两类临界问题.................................................................................................18 [考点分析] 题型一 圆周运动的运动学问题 1.线速度:描述物体圆周运动快慢的物理量.v==. 2.角速度:描述物体绕圆心转动快慢的物理量.ω==. 3.周期和频率:描述物体绕圆心转动快慢的物理量.T=,T=. 4.向心加速度:描述速度方向变化快慢的物理量.a=rω2==ωv=r. n 5.相互关系:(1)v=ωr=r= 2π rf . (2)a==rω2=ωv=r=4π2f2r. n [例题1] 如图为车牌自动识别系统的直杆道闸,离地面高为1m的细直杆可绕O在竖直面 内匀速转动。汽车从自动识别线ab处到达直杆处的时间为3.3s,自动识别系统的反应时间为 0.3s;汽车可看成高1.6m的长方体,其左侧面底边在aa′直线上,且O到汽车左侧面的距离 为0.6m,要使汽车安全通过道闸,直杆转动的角速度至少为( )π 3π π π A. rad/s B. rad/s C. rad/s D. rad/s 4 4 6 12 【解答】解:设汽车恰好通过道闸时直杆转过的角度为 , 1.6-1 θ 由几何知识得:tan = =1, 0.6 θ π 解得: = 4 θ 直杆转动的时间:t=t汽车 ﹣t反应时间 =(3.3﹣0.3)s=3s π π 直杆转动的角速度: θ 4 rad/s= rad/s,故ABC错误,D正确。 = = 12 t 3 ω 故选:D。 [例题2] 某机器的齿轮系统如图所示,中间的轮叫做太阳轮,它是主动轮。从动轮称为行 星轮,主动轮、行星轮与最外面的大轮彼此密切啮合在一起,如果太阳轮一周的齿数为 n ,行 1 星轮一周的齿数为n ,当太阳轮转动的角速度为 时,最外面的大轮转动的角速度为( ) 2 ω n n A. 1 ω B. 2 ω n +2n n +n 1 2 1 2n n C. 1 ω D. 2 ω n +n n -n 1 2 1 2 【解答】解:主动轮、行星轮与大轮分别用A、B、C表示,由图可知,A与B为齿轮传动,所 以线速度大小相等,B与C也是车轮传动,线速度也相等,所以A与B、C的线速度是相等的; 2πR R n 有线速度关系可知: A = A = 1 2πR R n B B 2 n 则:R = 2 ⋅R B n A 1 由图可知:R =2R +R C B A A、B与C的线速度相同,得: R = ′R A C ω ω n ω 联立可得:ω'= 1 .故A正确,BCD错误 n +2n 1 2 故选:A。 [例题3] 无级变速是在变速范围内任意连续变换速度的变速系统.如图所示是无级变速模 型示意图,主动轮、从动轮中间有一个滚轮,各轮间不打滑,通过滚轮位置改变实现无级变速。 A、B为滚轮轴上两点,则( ) A.从动轮和主动轮转动方向始终相反 B.滚轮在A处,从动轮转速大于主动轮转速 C.滚轮在B处,从动轮转速大于主动轮转速 D.滚轮从A到B,从动轮转速先变大后变小 【解答】解:A、从动轮和主动轮转动方向始终相同,故A错误; B、角速度 =2 n,则主动轮的线速度v =r =2 r n ,从动轮的线速度v =r =2 r n . 1 1 1 1 1 2 2 1 2 2 ω π ω π ω πr 1 因为主动轮和从动轮的线速度相等,则2 r n =2 r n ,所以n =n . ,滚轮在A处,r >r , 1 1 2 2 2 1 r 1 2 2 π π 从动轮转速大于主动轮转速,故B正确; C、在B处,r <r ,从动轮转速,小于主动轮转速,故C错误; 1 2 D、滚轮从A到B,r 逐渐减小,r 逐渐增大,故从动轮转速逐渐减小,故D错误; 1 2 故选:B。 [例题4] 由于高度限制,车库出入口采用图所示的曲杆道闸,道闸由转动杆OP与横杆PQ 链接而成,P、Q为横杆的两个端点.在道闸抬起过程中,杆PQ始终保持水平.杆OP绕O点 从与水平方向成30°匀速转动到60°的过程中,下列说法正确的是( ) A.P点的线速度大小不变 B.P点的加速度方向不变 C.Q点在竖直方向做匀速运动 D.Q点在水平方向做匀速运动 【解答】解:A、由题知杆OP绕O点从与水平方向成30°匀速转动到60°,则P点绕O点做匀速 圆周运动,则P点的线速度大小不变。故A正确; B、由题知杆OP绕O点从与水平方向成30°匀速转动到60°,则P点绕O点做匀速圆周运动,P 点的加速度方向时刻指向O点。故B错误; C、Q点在竖直方向的运动与P点相同,相对于O点在竖直方向的位置y关于时间t的关系为 π y=l OP⋅sin( + t) 6 ω 则可看出Q点在竖直方向不是匀速运动。故C错误; D.Q点相对于O点在水平方向的位置x关于时间t的关系为 π x=l OP⋅cos( + t)+l PQ 6 ω 则可看出Q点在水平方向也不是匀速运动。故D错误. 故选:A。[例题5] 如图所示为旋转脱水拖把结构图。把拖把头放置于脱水筒中,手握固定套杆向下 运动,固定套杆就会给旋转杆施加驱动力,驱动旋转杆、拖把头和脱水筒一起转动,把拖把上 的水甩出去。旋转杆上有长度为 35cm的螺杆,螺杆的螺距(相邻螺纹之间的距离)为 d= 5cm,拖把头的托盘半径为10cm,拖布条的长度为6cm,脱水筒的半径为12cm。某次脱水时, 固定套杆在1s内匀速下压了35cm,该过程中拖把头匀速转动,则下列说法正确的是( ) A.拖把头的周期为7s B.拖把头转动的角速度为14 rad/s C.紧贴脱水筒内壁的拖布条上π附着的水最不容易甩出 D.旋转时脱水筒内壁与托盘边缘处的点向心加速度之比为5:6 【解答】解:A、旋转杆上有长度为35cm的螺杆,相邻螺纹之间的距离为d=5cm,所以共7圈, 1 固定套杆在1s内匀速下压了35cm,所以1s转了7个周期,故周期为:T= s,故A错误; 7 2π 2π ω= = rad/s=14πrad/s B、根据周期和角速度的关系式: T 1 ,故B正确; 7 C、紧贴脱水筒内壁的拖布条半径最大,根据a= 2r,半径越大,向心加速度越大,需要的向心 力越大,越容易甩出,故C错误; ω D、脱水筒内壁半径为12cm,托盘边缘半径为10cm,根据a= 2r,向心加速度之比为a r 1= 1 a r 2 2 ω 故a 6 1= a 5 2 故D错误。 故选:B。题型二 圆周运动的动力学问题 1.向心力的来源 向心力是按力的作用效果命名的,可以是重力、弹力、摩擦力等各种力,也可以是几个力的合力或 某个力的分力,因此在受力分析中要避免再另外添加一个向心力. 2.向心力的确定 (1)确定圆周运动的轨道所在的平面,确定圆心的位置. (2)分析物体的受力情况,找出所有的力沿半径方向指向圆心的合力,就是向心力. 3.向心力的公式F=ma =m= mω 2 r =mr= mr 4π 2 f 2 n n 解决圆周运动问题的主要步骤 (1)审清题意,确定研究对象;明确物体做圆周运动的平面是至关重要的一环; (2)分析物体的运动情况,即物体的线速度、角速度、周期、轨道平面、圆心、半径等; (3)分析物体的受力情况,画出受力分析图,确定向心力的来源; (4)根据牛顿运动定律及向心力公式列方程. [例题6] (多选)如图所示,足够大的水平圆台中央固定一光滑竖直细杆,原长为L的轻 质弹簧套在竖直杆上,质量均为m的光滑小球A、B用长为L的轻杆及光滑铰链相连,小球A 穿过竖直杆置于弹簧上。让小球B以不同的角速度 绕竖直杆匀速转动,当转动的角速度为 时,小球B刚好离开台面。弹簧始终在弹性限度内ω,劲度系数为 k,重力加速度为g,则( 0 ω) mg A.小球均静止时,弹簧的长度为L- k B.角速度 = 时,小球A对弹簧的压力为mg 0 ω ω√ kg C.角速度 = 0 kL-2mg ω D.角速度从 继续增大的过程中,小球A对弹簧的压力不变 0 【解答】解:ωA、光滑小球均静止时,则可知,杆没有作用力,否则B球不可能平衡的,对Amg 受力分析,重力与弹簧的弹力,处于平衡,依据胡克定律,那么弹簧的形变量△x= ,因此 k mg 弹簧的长度为L′=L- ,故A正确; k B、角速度 = 时,球B在杆及重力作用下,提供向心力,做匀速圆周运动,那么,杆对小球 0 A有作用力ω,因ω此弹簧对A的支持力大于mg,则球A对弹簧的压力也大于mg,故B错误; C、当转动的角速度为 时,小球B刚好离开台面,对B分析,杆的拉力与重力的合力提供向 0 心力,如下图所示: ω mg 根据矢量的合成法则,结合牛顿第二定律,则有 =mω2Lcos , tanθ 0 θ 对AB整体分析,弹簧的弹力F′=2mg 2mg 依据胡克定律,则弹簧的形变量L″= , k L-L″ 根据几何知识,则有: =sin L θ √ kg 综上所述,解得: = ,故C正确; 0 kL-2mg ω D、由上分析,可知,当转动的角速度为 时,小球B刚好离开台面,弹簧弹力等于2mg,当 0 角速度从 继续增大的过程中,弹簧弹力ω仍等于2mg,因此小球A对弹簧的压力不会变,故D 0 正确; ω 故选:ACD。 [例题7] (多选)如图所示,半径为R的半球形容器固定在可以绕竖直轴旋转的水平转台 上,转台转轴与过容器球心O的竖直线重合,转台以一定角速度 匀速旋转。有两个质量均 为m的小物块落入容器内,经过一段时间后,两小物块都随容器一ω起转动且相对容器内壁静止, 两物块和球心O点的连线相互垂直,且A物块和球心O点的连线与竖直方向的夹角 =60°, 已知重力加速度大小为g,则下列说法正确的是( ) θ(√3-1)mg A.若A物块受到的摩擦力恰好为零,B物块受到的摩擦力的大小为 4 (√3-1)mg B.若A物块受到的摩擦力恰好为零,B物块受到的摩擦力的大小为 2 (√3-1)mg C.若B物块受到的摩擦力恰好为零,A物块受到的摩擦力的大小为 2 (√3-1)mg D.若B物块受到的摩擦力恰好为零,A物块受到的摩擦力的大小为 4 【解答】解:AB、当A摩擦力恰为零时,物块与圆心连线与竖直方向的夹角为60°,受力如图1 所示, 图1 根据牛顿第二定律得: mgtan60°=mr 2 r=Rsin60° ω 此时B滑块有沿斜面向上滑的趋势,摩擦力沿罐壁切线向下,受力如图2所示。图2 竖直方向上:Ncos30°﹣fsin30°﹣mg=0 水平方向上:Nsin30°+fcos30°=mr′ 2 (√ω3-1)mg 其中r′=Rsin30°,联立解得:f= ,故A错误,B正确; 2 CD、当B摩擦力恰为零时,物块与圆心连线与竖直方向的夹角为300 根据牛顿第二定律得:mgtan30°=mr 2 其中r=Rsin30° ω 此时A滑块有沿斜面向下滑的趋势,摩擦力沿罐壁切线向上, 竖直方向上:Ncos60°+fsin60°﹣mg=0 水平方向上:Nsin60°﹣fcos60°=mr′ 2 (√3-1)ωmg r′=Rsin60°,联立解得:f= ,故C正确。D错误; 2 故选:BC。 [例题8] 如图所示,在竖直面内固定三枚钉子a、b、c,三枚钉子构成边长d=10cm的等 边三角形,其中钉子a、b沿着竖直方向。长为L=0.3m的细线一端固定在钉子a上,另一端 系着质量m=200g的小球,细线拉直与边ab垂直,然后将小球以v =√3m/s的初速度竖直向 0 下抛出,小球可视为质点,不考虑钉子的粗细,重力加速度 g=10m/s2,细线碰到钉子c后, 物块到达最高点时,细线拉力大小为( ) A.0N B.1N C.2N D.3N 【解答】解:设物块到达量高点速度为v,根据机械能守恒得 1 1 mv 2= mv2+mgh 0 2 2 d 5 h=L﹣d﹣d- =L- d 2 2 代入数据联立解得v=√2m/s 根据牛顿第二定律v2 F+mg=m d 解得细线拉力大小为 F=mv2 mg=0.2 (√2) 2 N﹣0.2×10N=2N - × d 0.1 故选:C。 [例题9] (多选)如图所示为波轮式洗衣机的工作原理示意图,当甩衣桶在电机的带动下 高速旋转时,衣服紧贴在甩衣桶器壁上,从而迅速将水甩出。衣服(带水,可视为质点)质量 为m,衣服和器壁的动摩擦因数约为 ,甩衣桶的半径为 ,洗衣机的外桶的半径为R,当角 速度达到 时,衣服上的水恰好被甩μ出,假设滑动摩擦力γ和最大静摩擦力相等,重力加速度 0 为g,则下ω列说法正确的是( ) A.衣服(带水)做匀变速曲线运动 √ g B.电动机的角速度至少为 时,衣服才掉不下来 μr C.当 = 时,水滴下落高度 g(R-r) 2 打到外筒上 0 2ω2r2 0 ω ω D.当 = 时,水滴下落高度 g(R2-r2 )打到外筒上 0 2ω2r2 0 ω ω 【解答】A.衣服(带水)做变速曲线运动,因为其向心加速度也是变化的,故A错误; B.竖直方向,根据平衡条件有mg= N 由于弹力提供向心力,由牛顿第二定μ律有 N=m 2r 0 联立解ω得 √ g = 0 μr ω故B正确; CD.当 = 时,水滴打到外筒上,则水滴下落高度为h,根据平抛运动规律有 0 h= 1 g ω t2 ω 2 x=vt r2+x2=R2 v=r 0 联立ω解得 h g(R2-r2 ) = 2ω2r2 0 故C错误,D正确。 故选:BD。 [例题10] 现将等宽双线在水平面内绕制成如图1所示轨道,两段半圆形轨道半径均为R =√3m,两段直轨道AB、A'B长度均为l=1.35m。在轨道上放置个质量m=0.1kg的小圆柱体, 如图2所示,圆柱体与轨道两侧相切处和圆柱截面圆心O连线的夹角 为120°,如图3所示, 两轨道与小圆柱体的动摩擦因数均为 =0.5,小圆柱尺寸和轨道间距相θ对轨道长度可忽略不计, 初始时小圆柱位于 A 点处,现μ使之获得沿直轨道 AB 方向的初速度 v 。求: 0 (1)小圆柱沿AB运动时,内外轨道对小圆柱的摩擦力f 、f 的大小; 1 2 (2)当v =6m/s,小圆柱刚经B点进入圆弧轨道时,外轨和内轨对小圆柱的压力N 、N 的大 0 1 2 小; (3)为了让小圆柱不脱离内侧轨道,v 的最大值,以及在v 取最大值情形下小圆柱最终滑过的 0 0 路程s。 【解答】解:(1)圆柱体与轨道两侧相切处和圆柱截面面圆心O连线的夹角 为120°,根据对 θ称性可知,两侧弹力大小均与重力相等为1N,内外轨道对小圆柱的摩擦力为:f =f = N, 1 2 解得:f 1 =f 2 =0.5N μ (2)当v =6m/s,小圆柱刚经B点进入圆弧轨道时,根据动能定理可得: 0 1 1 mv2- mv2=-(f +f )l 2 2 0 1 2 解得:v=3m/s v2 在B点受力分析:N sin60°﹣N sin60°=m ;N cos60°+N cos60°=mg 1 2 1 2 R 联立解得:N =1.3N,N =0.7N 1 2 (3)为了让小圆柱不脱离内侧轨道,v 最大时,在B点:N' sin60°=mv2 ,N' cos60°=mg 0 1 m 1 R 1 1 根据动能定理可得: mv2 - mv2 =-(f +f )l 2 m 2 0m 1 2 联立解得:v =√57m/s 0m 在圆弧上受摩擦力仍为:f=(f +f )= (N +N ),解得:f=1N 1 2 1 2 1 μ 根据动能定理可知: mv2 =fs,解得:s=2.85m 2 0m 答:(1)小圆柱沿AB运动时,内外轨道对小圆柱的摩擦力f 、f 的大小都为0.5N; 1 2 (2)外轨和内轨对小圆柱的压力N 、N 的大小分别为1.3N,0.7N; 1 2 (3)为了让小圆柱不脱离内侧轨道,v 的最大值为√57m/s,以及在v 取最大值情形下小圆柱 0 0 最终滑过的路程s为2.85m。 题型三 竖直面内圆周运动的两类模型问题 1.在竖直平面内做圆周运动的物体,按运动到轨道最高点时的受力情况可分为两类:一是无支撑 (如球与绳连接、沿内轨道运动的过山车等),称为“绳(环)约束模型”,二是有支撑(如球与杆连接、 在弯管内的运动等),称为“杆(管)约束模型”. 2.绳、杆模型涉及的临界问题 绳模型 杆模型 常见类型均是没有支撑的小球 均是有支撑的小球 过最高点的 由mg=m得 由小球恰能做圆周运动得v =0 临 临界条件 v = 临 (1)当v=0时,F =mg,F 为支持力,沿 N N (1)过最高点时,v≥,F +mg N 半径背离圆心 =m,绳、圆轨道对球产生弹 (2)当0时,F +mg=m,F 指向圆心并 N N 圆轨道 随v的增大而增大 [例题11] 如图甲,ABC为竖直放置的半径为0.1m的半圆形轨道,在轨道的最低点和最高 点A、C各安装了一个压力传感器,可测定小球在轨道内侧,通过这两点时对轨道的压力 F 和 A F .质量为0.1kg的小球,以不同的初速度v由A点冲入ABC轨道.(g取10m/s2) C (1)若轨道ABC光滑,则小球能通过最高点C的最小速度多大? (2)若轨道ABC光滑,小球均能通过C点.试推导F 随F 变化的关系式,并在图乙中画出其 C A 图线; (3)若F 和F 的关系图线如图丙所示,求:当F =13N时小球滑经A点时的速度v ,以及小 C A A A 球由A滑至C的过程中损失的机械能 【解答】解:(1)在C点重力恰好提供向心力时速度最小: v2 mg=m c R 解得: v❑=√gR=1m/s c(2)由牛顿第三定律可知,小球在A、C两点所受轨道的弹力大小: N =F ,N =F A A C C 在A点,由牛顿第二定律得: N ﹣mg=mv2 ① A A ⋯ R 在C点,由牛顿第二定律得: N +mg=mv2 ② C C ⋯ R 对A至C的过程,由动能定理得: 1 1 ﹣mg•2R= mv2 - mv2 ⋯③ 2 C 2 A 联立①②③得: N ﹣N =6mg A C 即F =F ﹣6N C A 图线如右图所示: (3)对A至C的过程,由动能定理得: 1 1 W f ﹣mg•2R= 2 mv C 2 - 2 mv2 A ⋯④ 联立①②④得: 1 1 1 W= mv2 - mv2 +2mgR= (2mg﹣F +F )R+2mgR…⑤ f 2 C 2 A 2 A C 解得: W=﹣0.2J fv =2√3m/s A 由功能关系得,损失的机械能为0.2J; 答:(1)若轨道ABC光滑,则小球能通过最高点C的最小速度为1m/s; (2)若轨道ABC光滑,小球均能通过C点.F 随F 变化的关系式为F =F ﹣6,其图线如图 C A C A 所示; (3)当F =13N时小球滑经A点时的速度为2√3m/s,小球由A滑至C的过程中损失的机械能 A 为0.2J. [例题12] (多选)如图甲所示,轻杆一端固定在 O点,另一端固定质量为m的小球。现 让小球在竖直平面内做圆周运动,小球运动到最高点时,杆与小球间弹力大小为F,速度大小 为v,其F﹣v2图象如图乙所示。则( ) mb A.小球做圆周运动的半径R= a b B.当地的重力加速度大小g= R C.v2=c时,小球受到的弹力方向向上 D.v2=2b时,小球受到的弹力大小与重力大小相等 【解答】解:A、由图乙知,若v=0,则F=mg=a.当F=0时,v2=b,则小球在最高点时, v2 b mb 当F=0,有:mg=m =m ,联立解得R= ,故A正确; R R a v2 F a b B、v2=0时,根据牛顿第二定律得:mg﹣F=m =0,则F=mg=a,所以:g= = = .故 R m m R B正确。 C、由图可知:当v2<b时,杆对小球弹力方向向上,当v2>b时,杆对小球弹力方向向下,所 以当v2=c时,杆对小球弹力方向向下,故C错误; v2 2b D、若v2=2b时。由牛顿第二定律有 F+mg=m =m ,结合A项分析解得 F=mg=a,故D R R 正确。故选:ABD。 [例题13] (多选)如图所示,水平的木板B托着木块A一起在竖直平面内做匀速圆周运动, 从水平位置a沿逆时针方向运动到最高点b的过程中( ) A.B对A的支持力越来越大 B.B对A的支持力越来越小 C.B对A的摩擦力越来越小 D.B对A的摩擦力越来越大 【解答】解:A在运动的过程中受重力、支持力、静摩擦力,三个力的合力提供向心力。合力 沿水平方向的分力等于A所受的摩擦力,合力沿竖直方向的分力等于重力和支持力的合力,合 力的大小不变,由a到b的运动过程中,合力沿水平方向的分力减小,所以摩擦力减小。合力沿 竖直方向的分力逐渐增大,所以支持力逐渐减小。故B、C正确,A、D错误。 故选:BC。 [例题14] 摆动是生活中常见的运动形式,秋千、钟摆的运动都是我们熟悉的摆动。摆的形 状各异,却遵循着相似的规律。 (1)如图1所示,一个摆的摆长为L,小球质量为m,拉起小球使摆线与竖直方向夹角为 时 将小球由静止释放,忽略空气阻力。 θ a.求小球运动到最低点时绳对球的拉力的大小F。 b.如图2所示,当小球运动到摆线与竖直方向夹角为 ( < )时,求此时小球的角速度大小 。 α α θ 1 ω(2)如图3所示,长为L的轻杆,一端可绕固定在O点的光滑轴承在竖直平面内转动,在距O L 点为 和L处分别固定一个质量为m、可看作质点的小球,忽略轻杆的质量和空气阻力。 2 a.将杆与小球组成的系统拉到与竖直方向成 角的位置由静止释放,当系统向下运动到与竖直 方向夹角为 ( < )时,求此时系统的角速度θ 大小 。 2 b.若 较小α,系α统θ的运动可看作简谐运动,对比 2ω和 1 的表达式,参照单摆的周期公式T= θ ω ω √L 2 ,写出此系统做简谐运动的周期的表达式,并说明依据。 g π【解答】解:(1)a.根据机械能守恒定律可得 1 mgL (1﹣cos )= mv2 2 θ 在最低点根据牛顿第二定律 v2 F﹣mg=m L 解得 F=mg (3﹣2cos ) b.根据机械能守恒θ定律可得 1 mgL (cos ﹣cos )= mv 2 1 2 α θ v 角速度为 = 1 1 L ω 联立解得 √2g(cosα-cosθ) 1= L ω (2)a.根据机械能守恒定律可得 L 1 1 mgL (cos ﹣cos )+mg⋅ (cos ﹣cos )= mv 2+ mv ′2 2 2 2 2 2 α θ α θ 其中 L v = L,v' = ⋅ 2 2 2 2 2 ω ω 代入解得 √12g(cosα-cosθ) 2= 5L ω√5L b.此系统做简谐运动的周期为T'=2π 6g 对比 和 的表达式可得 2 1 ω ω ω √6 2= ω 5 1 可以表示系统运动过程中的任意位置对应的角度,可知两个系统在运动过程中任意位置的角速 α度大小均满足 ω √6 2= ω 5 1 因此 T' √5 = T 6 可得 T' √5T=2 √5L = π 6 6g 答:(1)a.小球运动到最低点时绳对球的拉力的大小为mg (3﹣2cos )。 θ b.此时小球的角速度大小为√2g(cosα-cosθ)。 L (2)a.此时系统的角速度大小为√12g(cosα-cosθ)。 5L √5L b.此系统做简谐运动的周期的表达式为T'=2π ,依据见解析。 6g [例题15] (多选)一端连在光滑固定轴上,可在竖直平面内自由转动的轻杆,另一端与一 小球相连,如图甲所示。现使小球在竖直平面内做圆周运动,到达某一位置开始计时,取水平 向右为正方向,小球的水平分速度v 随时间t的变化关系如图乙所示,不计空气阻力,下列说 x 法中正确的是( )A.t 时刻小球通过最高点,t 时刻小球通过最低点 1 3 B.t 时刻小球通过最高点,t 时刻小球通过最低点 2 3 C.v 大小一定小于 v 大小,图乙中 S 和 S 的面积一定相等 1 2 1 2 D.v 大小可能等于 v 大小,图乙中 S 和 S 的面积可能不等 1 2 1 2 【解答】解:AB、由对称性可知,在最高点左右两侧对称位置,小球沿水平方向分速度相同, 那么在小球到达最高点时,其前后对称时刻的小球水平分速度相等,且最高点时刻水平分速度 为正,在图乙中t 时刻满足要求,所以t 时刻小球通过最高点,同理,t 时刻小球通过最低点, 1 1 3 故A正确,B错误; CD、从t 到t ,小球重力做正功,一直在加速,在最低点时,速度最大,沿水平方向分速度也 2 3 最大,即v >v ,另外根据对称运动过程中分析,可知,S 和S 分别代表从最低点到最左边点 2 1 1 2 以及从最左边点到最高点的水平位移大小,它们对称相等,因此S 和S 面积相等,故C正确, 1 2 D错误; 故选:AC。 题型四 圆周运动中的两类临界问题 1.有些题目中有“刚好”、“恰好”、“正好”等字眼,明显表明题述的过程中存在着临界点. 2.若题目中有“取值范围”、“多长时间”、“多大距离”等词语,表明题述的过程中存在着 “起止点”,而这些起止点往往就是临界点. 3.若题目中有“最大”、“最小”、“至多”、“至少”等字眼,表明题述的过程中存在着极值, 这些极值点也往往是临界点. [例题16] (多选)如图所示,物体P用两根长度相等、不可伸长的细线系于竖直杆上,它 随杆转动,若转动角速度为 ,则( ) ωA. 只有超过某一值时,绳子AP才有拉力 B.绳ω子BP的拉力随 的增大而不变 C.绳子BP的张力一定ω大于绳子AP的张力 D.当 增大到一定程度时,绳子AP的张力大于绳子BP的张力 【解答ω】解:设BP绳与竖直方向的夹角为 ,AP绳与竖直方向的夹角为 ,对物体P进行受力 分析,根据向心力公式则有: θ α T cos =mg+T cos …① BP AP T BP sinθ+T AP sin =mα 2r…② A、当θ 较小时α,BωP绳在水平方向的分量可以提供向心力,此时AP绳没有力,当 增加到某 值时,ωBP绳在水平方向的分量不足以提供向心力,此时绳子AP才有力的作用,故Aω正确; B、 的增大,所需的向心力增大,绳子BP的力增大。故B错误; C、ω当AP绳子没有拉直时,AP绳拉力等于零,BP绳肯定有拉力,当AP绳拉直时, = ,由 ①式可知,绳BP的张力一定大于绳子AP的张力,故C正确,D错误; θ α 故选:AC。 [例题17] (多选)汽车在出厂前要进行性能测试。某次测试中,测试人员驾驶着汽车在一 个空旷的水平场地上沿直线以恒定的速度v 匀速行驶,突然发现正前方的道路出现故障,为了 0 躲避故障,测试人员采取了一些应急措施。设汽车与路面间的滑动摩擦因数为 ,最大静摩擦 力等于滑动摩擦力,重力加速度为g,则关于测试人员采取的应急措施说法正确μ的是( ) A.若直线刹车,则至少应该在道路故障前 v 2 的距离处采取刹车 0 2μg B.若以原有速率转弯,转弯半径越大,汽车受到的侧向摩擦力越大C.若以原有速率转弯,转弯的最小半径为v 2 0 μg D.以原速率转弯要比以直线刹车更安全一些 μmg 【解答】解:A、若直线刹车,刹车的加速度 a= = g,根据速度与位移关系知:x m μ v2 v 2 ,则至少应该在道路故障前 v 2 的距离处采取刹车,故A正确; = 0 = 0 0 2a 2μg 2μg mv2 B、根据摩擦力充当向心力知f= ,若以原有速率转弯,转弯半径越大,汽车受到的侧向摩 R 擦力越小,故B错误; C、当f= mg时,根据f mv2知半径最小为:R v 2,故C正确; = = 0 R μg μ D、由于R v 2 x v 2 ,以原速率转弯要比以直线刹车更危险,故D错误。 = 0 >= 0 μg 2μg 故选:AC。 [例题18] (多选)如图所示,某同学用硬塑料管和一个质量为m的铁质螺丝帽研究匀速圆 周运动,将螺丝帽套在塑料管上,手握塑料管使其保持竖直并在水平方向做半径为 r的匀速圆 周运动,则只要运动角速度合适,螺丝恰好不下滑,假设螺丝帽与塑料管间的动摩擦因数为 ,认为最大静摩擦力近似等于滑动摩擦力。则在该同学手转塑料管使螺丝帽恰好不下滑时, μ下列分析正确的是( )A.螺丝帽的重力与其受到的最大静摩擦力平衡 B.螺丝帽受到塑料管的弹力方向水平向外,背离圆心 √ g C.此时手转动塑料管的角速度ω= μr D.若塑料管的转动加快,螺丝帽不可能相对塑料管发生运动 【解答】解:A、螺丝帽受到竖直向下的重力、水平方向的弹力和竖直向上的最大静摩擦力,螺 丝帽在竖直方向上没有加速度,所以螺丝帽的重力与最大静摩擦力平衡,故A正确; B、螺丝帽做匀速圆周运动,由弹力提供向心力,所以弹力方向水平向里,指向圆心,故B错误; C、对螺丝帽受力分析,根据牛顿第二定律得:N=m 2r 竖直方向上,由平衡条件得:f m =mg ω 又根据滑动摩擦力公式得:f = N m √ g μ 联立解得: = ,故C正确; μr ω D、若塑料管的转动加快,角速度 增大,螺丝帽受到的弹力N增大,最大静摩擦力增大,螺 丝帽不可能相对塑料管发生运动,故ωD正确。 故选:ACD。 [例题19] 如图1,用一根长为L=1m的细线,一端系一质量为m=1kg的小球(可视为质 点),另一端固定在一光滑锥体顶端,锥面与竖直方向的夹角 =37°,当小球在水平面内绕锥 θ 3 体的轴做匀速圆周运动的角速度为 时,细线的张力为T.求(g=10m/s2,sin37°= ,cos37° 5 ω 4 = ,计算结果可用根式表示): 5 (1)若要小球离开锥面,则小球的角速度 至少为多大? 0 (2)若细线与竖直方向的夹角为60°,则小ω球的角速度 ′为多大? ω(3)细线的张力T与小球匀速转动的加速度 有关,当 的取值范围在0到 ′之间时,请通 过计算求解T与 2的关系,并在图2坐标纸上ω作出T﹣ 2ω的图象,标明关键点ω的坐标值。 【解答】解:(1ω)小球刚要离开锥面时的速度,此时支ω持力为零,根据牛顿第二定律得: mgtan =m Lsin ω 2 0 θ ω θ √ g 解得: = =√12.5rad/s. 0 Lcosθ ω (2)同理,当细线与竖直方向成60°角时,由牛顿第二定律及向心力公式有: mgtan =m ′2Lsin α ω√ g α 解得: ′= =2√5rad/s. Lcosα ω (3)a.当 =0时 T =mgcos =8N,标出第一个特殊点坐标( 0,8N); 1 1 b.当0< <ω √12.5rad/s时,根θ据牛顿第二定律得: Tsin ﹣Ncωos =m 2Lsin , Tcosθ+Nsin θ=mgω θ 解得 θ T=mg θ cosθ+mLω2 (sinθ) 2=8+ 9 ω2 25 当 时,T =12.5N 标出第二个特殊点坐标[12.5(rad/s)2,12.5N]; ω =√12.5rad/s 2 2 c.当√12.5rad/s≤ω≤2√5rad/s时,小球离开锥面,设细线与竖直方向夹角为 , β T sinβ=mω2Lsinβ 3 解得: T =mLω2 3 当ω=ω'=2√5rad/s时,T =20N 3 标出第三个特殊点坐标[20(rad/s)2,20N]. 画出T﹣ 2图象如图所示. ω答: (1)若要小球离开锥面,则小球的角速度 至少为√12.5rad/s. 0 (2)若细线与竖直方向的夹角为60°,则小ω球的角速度 ′为2√5rad/s. (3)T﹣ 2的图象如上所示. ω ω
基本 文件 流程 错误 SQL 调试
  1. 请求信息 : 2026-03-09 19:50:13 HTTP/1.1 GET : https://www.yeyulingfeng.com/wendang/366820.html
  2. 运行时间 : 0.115477s [ 吞吐率:8.66req/s ] 内存消耗:5,730.09kb 文件加载:144
  3. 缓存信息 : 0 reads,0 writes
  4. 会话信息 : SESSION_ID=77ca00788156f943b8f7c2def2e83106
  1. /yingpanguazai/ssd/ssd1/www/wwww.yeyulingfeng.com/public/index.php ( 0.79 KB )
  2. /yingpanguazai/ssd/ssd1/www/wwww.yeyulingfeng.com/vendor/autoload.php ( 0.17 KB )
  3. /yingpanguazai/ssd/ssd1/www/wwww.yeyulingfeng.com/vendor/composer/autoload_real.php ( 2.49 KB )
  4. /yingpanguazai/ssd/ssd1/www/wwww.yeyulingfeng.com/vendor/composer/platform_check.php ( 0.90 KB )
  5. /yingpanguazai/ssd/ssd1/www/wwww.yeyulingfeng.com/vendor/composer/ClassLoader.php ( 14.03 KB )
  6. /yingpanguazai/ssd/ssd1/www/wwww.yeyulingfeng.com/vendor/composer/autoload_static.php ( 6.05 KB )
  7. /yingpanguazai/ssd/ssd1/www/wwww.yeyulingfeng.com/vendor/topthink/think-helper/src/helper.php ( 8.34 KB )
  8. /yingpanguazai/ssd/ssd1/www/wwww.yeyulingfeng.com/vendor/topthink/think-validate/src/helper.php ( 2.19 KB )
  9. /yingpanguazai/ssd/ssd1/www/wwww.yeyulingfeng.com/vendor/ralouphie/getallheaders/src/getallheaders.php ( 1.60 KB )
  10. /yingpanguazai/ssd/ssd1/www/wwww.yeyulingfeng.com/vendor/topthink/think-orm/src/helper.php ( 1.47 KB )
  11. /yingpanguazai/ssd/ssd1/www/wwww.yeyulingfeng.com/vendor/topthink/think-orm/stubs/load_stubs.php ( 0.16 KB )
  12. /yingpanguazai/ssd/ssd1/www/wwww.yeyulingfeng.com/vendor/topthink/framework/src/think/Exception.php ( 1.69 KB )
  13. /yingpanguazai/ssd/ssd1/www/wwww.yeyulingfeng.com/vendor/topthink/think-container/src/Facade.php ( 2.71 KB )
  14. /yingpanguazai/ssd/ssd1/www/wwww.yeyulingfeng.com/vendor/symfony/deprecation-contracts/function.php ( 0.99 KB )
  15. /yingpanguazai/ssd/ssd1/www/wwww.yeyulingfeng.com/vendor/symfony/polyfill-mbstring/bootstrap.php ( 8.26 KB )
  16. /yingpanguazai/ssd/ssd1/www/wwww.yeyulingfeng.com/vendor/symfony/polyfill-mbstring/bootstrap80.php ( 9.78 KB )
  17. /yingpanguazai/ssd/ssd1/www/wwww.yeyulingfeng.com/vendor/symfony/var-dumper/Resources/functions/dump.php ( 1.49 KB )
  18. /yingpanguazai/ssd/ssd1/www/wwww.yeyulingfeng.com/vendor/topthink/think-dumper/src/helper.php ( 0.18 KB )
  19. /yingpanguazai/ssd/ssd1/www/wwww.yeyulingfeng.com/vendor/symfony/var-dumper/VarDumper.php ( 4.30 KB )
  20. /yingpanguazai/ssd/ssd1/www/wwww.yeyulingfeng.com/vendor/guzzlehttp/guzzle/src/functions_include.php ( 0.16 KB )
  21. /yingpanguazai/ssd/ssd1/www/wwww.yeyulingfeng.com/vendor/guzzlehttp/guzzle/src/functions.php ( 5.54 KB )
  22. /yingpanguazai/ssd/ssd1/www/wwww.yeyulingfeng.com/vendor/topthink/framework/src/think/App.php ( 15.30 KB )
  23. /yingpanguazai/ssd/ssd1/www/wwww.yeyulingfeng.com/vendor/topthink/think-container/src/Container.php ( 15.76 KB )
  24. /yingpanguazai/ssd/ssd1/www/wwww.yeyulingfeng.com/vendor/psr/container/src/ContainerInterface.php ( 1.02 KB )
  25. /yingpanguazai/ssd/ssd1/www/wwww.yeyulingfeng.com/app/provider.php ( 0.19 KB )
  26. /yingpanguazai/ssd/ssd1/www/wwww.yeyulingfeng.com/vendor/topthink/framework/src/think/Http.php ( 6.04 KB )
  27. /yingpanguazai/ssd/ssd1/www/wwww.yeyulingfeng.com/vendor/topthink/think-helper/src/helper/Str.php ( 7.29 KB )
  28. /yingpanguazai/ssd/ssd1/www/wwww.yeyulingfeng.com/vendor/topthink/framework/src/think/Env.php ( 4.68 KB )
  29. /yingpanguazai/ssd/ssd1/www/wwww.yeyulingfeng.com/app/common.php ( 0.03 KB )
  30. /yingpanguazai/ssd/ssd1/www/wwww.yeyulingfeng.com/vendor/topthink/framework/src/helper.php ( 18.78 KB )
  31. /yingpanguazai/ssd/ssd1/www/wwww.yeyulingfeng.com/vendor/topthink/framework/src/think/Config.php ( 5.54 KB )
  32. /yingpanguazai/ssd/ssd1/www/wwww.yeyulingfeng.com/config/alipay.php ( 3.59 KB )
  33. /yingpanguazai/ssd/ssd1/www/wwww.yeyulingfeng.com/vendor/topthink/framework/src/think/facade/Env.php ( 1.67 KB )
  34. /yingpanguazai/ssd/ssd1/www/wwww.yeyulingfeng.com/config/app.php ( 0.95 KB )
  35. /yingpanguazai/ssd/ssd1/www/wwww.yeyulingfeng.com/config/cache.php ( 0.78 KB )
  36. /yingpanguazai/ssd/ssd1/www/wwww.yeyulingfeng.com/config/console.php ( 0.23 KB )
  37. /yingpanguazai/ssd/ssd1/www/wwww.yeyulingfeng.com/config/cookie.php ( 0.56 KB )
  38. /yingpanguazai/ssd/ssd1/www/wwww.yeyulingfeng.com/config/database.php ( 2.48 KB )
  39. /yingpanguazai/ssd/ssd1/www/wwww.yeyulingfeng.com/config/filesystem.php ( 0.61 KB )
  40. /yingpanguazai/ssd/ssd1/www/wwww.yeyulingfeng.com/config/lang.php ( 0.91 KB )
  41. /yingpanguazai/ssd/ssd1/www/wwww.yeyulingfeng.com/config/log.php ( 1.35 KB )
  42. /yingpanguazai/ssd/ssd1/www/wwww.yeyulingfeng.com/config/middleware.php ( 0.19 KB )
  43. /yingpanguazai/ssd/ssd1/www/wwww.yeyulingfeng.com/config/route.php ( 1.89 KB )
  44. /yingpanguazai/ssd/ssd1/www/wwww.yeyulingfeng.com/config/session.php ( 0.57 KB )
  45. /yingpanguazai/ssd/ssd1/www/wwww.yeyulingfeng.com/config/trace.php ( 0.34 KB )
  46. /yingpanguazai/ssd/ssd1/www/wwww.yeyulingfeng.com/config/view.php ( 0.82 KB )
  47. /yingpanguazai/ssd/ssd1/www/wwww.yeyulingfeng.com/app/event.php ( 0.25 KB )
  48. /yingpanguazai/ssd/ssd1/www/wwww.yeyulingfeng.com/vendor/topthink/framework/src/think/Event.php ( 7.67 KB )
  49. /yingpanguazai/ssd/ssd1/www/wwww.yeyulingfeng.com/app/service.php ( 0.13 KB )
  50. /yingpanguazai/ssd/ssd1/www/wwww.yeyulingfeng.com/app/AppService.php ( 0.26 KB )
  51. /yingpanguazai/ssd/ssd1/www/wwww.yeyulingfeng.com/vendor/topthink/framework/src/think/Service.php ( 1.64 KB )
  52. /yingpanguazai/ssd/ssd1/www/wwww.yeyulingfeng.com/vendor/topthink/framework/src/think/Lang.php ( 7.35 KB )
  53. /yingpanguazai/ssd/ssd1/www/wwww.yeyulingfeng.com/vendor/topthink/framework/src/lang/zh-cn.php ( 13.70 KB )
  54. /yingpanguazai/ssd/ssd1/www/wwww.yeyulingfeng.com/vendor/topthink/framework/src/think/initializer/Error.php ( 3.31 KB )
  55. /yingpanguazai/ssd/ssd1/www/wwww.yeyulingfeng.com/vendor/topthink/framework/src/think/initializer/RegisterService.php ( 1.33 KB )
  56. /yingpanguazai/ssd/ssd1/www/wwww.yeyulingfeng.com/vendor/services.php ( 0.14 KB )
  57. /yingpanguazai/ssd/ssd1/www/wwww.yeyulingfeng.com/vendor/topthink/framework/src/think/service/PaginatorService.php ( 1.52 KB )
  58. /yingpanguazai/ssd/ssd1/www/wwww.yeyulingfeng.com/vendor/topthink/framework/src/think/service/ValidateService.php ( 0.99 KB )
  59. /yingpanguazai/ssd/ssd1/www/wwww.yeyulingfeng.com/vendor/topthink/framework/src/think/service/ModelService.php ( 2.04 KB )
  60. /yingpanguazai/ssd/ssd1/www/wwww.yeyulingfeng.com/vendor/topthink/think-trace/src/Service.php ( 0.77 KB )
  61. /yingpanguazai/ssd/ssd1/www/wwww.yeyulingfeng.com/vendor/topthink/framework/src/think/Middleware.php ( 6.72 KB )
  62. /yingpanguazai/ssd/ssd1/www/wwww.yeyulingfeng.com/vendor/topthink/framework/src/think/initializer/BootService.php ( 0.77 KB )
  63. /yingpanguazai/ssd/ssd1/www/wwww.yeyulingfeng.com/vendor/topthink/think-orm/src/Paginator.php ( 11.86 KB )
  64. /yingpanguazai/ssd/ssd1/www/wwww.yeyulingfeng.com/vendor/topthink/think-validate/src/Validate.php ( 63.20 KB )
  65. /yingpanguazai/ssd/ssd1/www/wwww.yeyulingfeng.com/vendor/topthink/think-orm/src/Model.php ( 23.55 KB )
  66. /yingpanguazai/ssd/ssd1/www/wwww.yeyulingfeng.com/vendor/topthink/think-orm/src/model/concern/Attribute.php ( 21.05 KB )
  67. /yingpanguazai/ssd/ssd1/www/wwww.yeyulingfeng.com/vendor/topthink/think-orm/src/model/concern/AutoWriteData.php ( 4.21 KB )
  68. /yingpanguazai/ssd/ssd1/www/wwww.yeyulingfeng.com/vendor/topthink/think-orm/src/model/concern/Conversion.php ( 6.44 KB )
  69. /yingpanguazai/ssd/ssd1/www/wwww.yeyulingfeng.com/vendor/topthink/think-orm/src/model/concern/DbConnect.php ( 5.16 KB )
  70. /yingpanguazai/ssd/ssd1/www/wwww.yeyulingfeng.com/vendor/topthink/think-orm/src/model/concern/ModelEvent.php ( 2.33 KB )
  71. /yingpanguazai/ssd/ssd1/www/wwww.yeyulingfeng.com/vendor/topthink/think-orm/src/model/concern/RelationShip.php ( 28.29 KB )
  72. /yingpanguazai/ssd/ssd1/www/wwww.yeyulingfeng.com/vendor/topthink/think-helper/src/contract/Arrayable.php ( 0.09 KB )
  73. /yingpanguazai/ssd/ssd1/www/wwww.yeyulingfeng.com/vendor/topthink/think-helper/src/contract/Jsonable.php ( 0.13 KB )
  74. /yingpanguazai/ssd/ssd1/www/wwww.yeyulingfeng.com/vendor/topthink/think-orm/src/model/contract/Modelable.php ( 0.09 KB )
  75. /yingpanguazai/ssd/ssd1/www/wwww.yeyulingfeng.com/vendor/topthink/framework/src/think/Db.php ( 2.88 KB )
  76. /yingpanguazai/ssd/ssd1/www/wwww.yeyulingfeng.com/vendor/topthink/think-orm/src/DbManager.php ( 8.52 KB )
  77. /yingpanguazai/ssd/ssd1/www/wwww.yeyulingfeng.com/vendor/topthink/framework/src/think/Log.php ( 6.28 KB )
  78. /yingpanguazai/ssd/ssd1/www/wwww.yeyulingfeng.com/vendor/topthink/framework/src/think/Manager.php ( 3.92 KB )
  79. /yingpanguazai/ssd/ssd1/www/wwww.yeyulingfeng.com/vendor/psr/log/src/LoggerTrait.php ( 2.69 KB )
  80. /yingpanguazai/ssd/ssd1/www/wwww.yeyulingfeng.com/vendor/psr/log/src/LoggerInterface.php ( 2.71 KB )
  81. /yingpanguazai/ssd/ssd1/www/wwww.yeyulingfeng.com/vendor/topthink/framework/src/think/Cache.php ( 4.92 KB )
  82. /yingpanguazai/ssd/ssd1/www/wwww.yeyulingfeng.com/vendor/psr/simple-cache/src/CacheInterface.php ( 4.71 KB )
  83. /yingpanguazai/ssd/ssd1/www/wwww.yeyulingfeng.com/vendor/topthink/think-helper/src/helper/Arr.php ( 16.63 KB )
  84. /yingpanguazai/ssd/ssd1/www/wwww.yeyulingfeng.com/vendor/topthink/framework/src/think/cache/driver/File.php ( 7.84 KB )
  85. /yingpanguazai/ssd/ssd1/www/wwww.yeyulingfeng.com/vendor/topthink/framework/src/think/cache/Driver.php ( 9.03 KB )
  86. /yingpanguazai/ssd/ssd1/www/wwww.yeyulingfeng.com/vendor/topthink/framework/src/think/contract/CacheHandlerInterface.php ( 1.99 KB )
  87. /yingpanguazai/ssd/ssd1/www/wwww.yeyulingfeng.com/app/Request.php ( 0.09 KB )
  88. /yingpanguazai/ssd/ssd1/www/wwww.yeyulingfeng.com/vendor/topthink/framework/src/think/Request.php ( 55.78 KB )
  89. /yingpanguazai/ssd/ssd1/www/wwww.yeyulingfeng.com/app/middleware.php ( 0.25 KB )
  90. /yingpanguazai/ssd/ssd1/www/wwww.yeyulingfeng.com/vendor/topthink/framework/src/think/Pipeline.php ( 2.61 KB )
  91. /yingpanguazai/ssd/ssd1/www/wwww.yeyulingfeng.com/vendor/topthink/think-trace/src/TraceDebug.php ( 3.40 KB )
  92. /yingpanguazai/ssd/ssd1/www/wwww.yeyulingfeng.com/vendor/topthink/framework/src/think/middleware/SessionInit.php ( 1.94 KB )
  93. /yingpanguazai/ssd/ssd1/www/wwww.yeyulingfeng.com/vendor/topthink/framework/src/think/Session.php ( 1.80 KB )
  94. /yingpanguazai/ssd/ssd1/www/wwww.yeyulingfeng.com/vendor/topthink/framework/src/think/session/driver/File.php ( 6.27 KB )
  95. /yingpanguazai/ssd/ssd1/www/wwww.yeyulingfeng.com/vendor/topthink/framework/src/think/contract/SessionHandlerInterface.php ( 0.87 KB )
  96. /yingpanguazai/ssd/ssd1/www/wwww.yeyulingfeng.com/vendor/topthink/framework/src/think/session/Store.php ( 7.12 KB )
  97. /yingpanguazai/ssd/ssd1/www/wwww.yeyulingfeng.com/vendor/topthink/framework/src/think/Route.php ( 23.73 KB )
  98. /yingpanguazai/ssd/ssd1/www/wwww.yeyulingfeng.com/vendor/topthink/framework/src/think/route/RuleName.php ( 5.75 KB )
  99. /yingpanguazai/ssd/ssd1/www/wwww.yeyulingfeng.com/vendor/topthink/framework/src/think/route/Domain.php ( 2.53 KB )
  100. /yingpanguazai/ssd/ssd1/www/wwww.yeyulingfeng.com/vendor/topthink/framework/src/think/route/RuleGroup.php ( 22.43 KB )
  101. /yingpanguazai/ssd/ssd1/www/wwww.yeyulingfeng.com/vendor/topthink/framework/src/think/route/Rule.php ( 26.95 KB )
  102. /yingpanguazai/ssd/ssd1/www/wwww.yeyulingfeng.com/vendor/topthink/framework/src/think/route/RuleItem.php ( 9.78 KB )
  103. /yingpanguazai/ssd/ssd1/www/wwww.yeyulingfeng.com/route/app.php ( 3.82 KB )
  104. /yingpanguazai/ssd/ssd1/www/wwww.yeyulingfeng.com/vendor/topthink/framework/src/think/facade/Route.php ( 4.70 KB )
  105. /yingpanguazai/ssd/ssd1/www/wwww.yeyulingfeng.com/vendor/topthink/framework/src/think/route/dispatch/Controller.php ( 4.74 KB )
  106. /yingpanguazai/ssd/ssd1/www/wwww.yeyulingfeng.com/vendor/topthink/framework/src/think/route/Dispatch.php ( 10.44 KB )
  107. /yingpanguazai/ssd/ssd1/www/wwww.yeyulingfeng.com/app/controller/Index.php ( 9.69 KB )
  108. /yingpanguazai/ssd/ssd1/www/wwww.yeyulingfeng.com/app/BaseController.php ( 2.05 KB )
  109. /yingpanguazai/ssd/ssd1/www/wwww.yeyulingfeng.com/vendor/topthink/think-orm/src/facade/Db.php ( 0.93 KB )
  110. /yingpanguazai/ssd/ssd1/www/wwww.yeyulingfeng.com/vendor/topthink/think-orm/src/db/connector/Mysql.php ( 5.44 KB )
  111. /yingpanguazai/ssd/ssd1/www/wwww.yeyulingfeng.com/vendor/topthink/think-orm/src/db/PDOConnection.php ( 52.47 KB )
  112. /yingpanguazai/ssd/ssd1/www/wwww.yeyulingfeng.com/vendor/topthink/think-orm/src/db/Connection.php ( 8.39 KB )
  113. /yingpanguazai/ssd/ssd1/www/wwww.yeyulingfeng.com/vendor/topthink/think-orm/src/db/ConnectionInterface.php ( 4.57 KB )
  114. /yingpanguazai/ssd/ssd1/www/wwww.yeyulingfeng.com/vendor/topthink/think-orm/src/db/builder/Mysql.php ( 16.58 KB )
  115. /yingpanguazai/ssd/ssd1/www/wwww.yeyulingfeng.com/vendor/topthink/think-orm/src/db/Builder.php ( 24.06 KB )
  116. /yingpanguazai/ssd/ssd1/www/wwww.yeyulingfeng.com/vendor/topthink/think-orm/src/db/BaseBuilder.php ( 27.50 KB )
  117. /yingpanguazai/ssd/ssd1/www/wwww.yeyulingfeng.com/vendor/topthink/think-orm/src/db/Query.php ( 15.71 KB )
  118. /yingpanguazai/ssd/ssd1/www/wwww.yeyulingfeng.com/vendor/topthink/think-orm/src/db/BaseQuery.php ( 45.13 KB )
  119. /yingpanguazai/ssd/ssd1/www/wwww.yeyulingfeng.com/vendor/topthink/think-orm/src/db/concern/TimeFieldQuery.php ( 7.43 KB )
  120. /yingpanguazai/ssd/ssd1/www/wwww.yeyulingfeng.com/vendor/topthink/think-orm/src/db/concern/AggregateQuery.php ( 3.26 KB )
  121. /yingpanguazai/ssd/ssd1/www/wwww.yeyulingfeng.com/vendor/topthink/think-orm/src/db/concern/ModelRelationQuery.php ( 20.07 KB )
  122. /yingpanguazai/ssd/ssd1/www/wwww.yeyulingfeng.com/vendor/topthink/think-orm/src/db/concern/ParamsBind.php ( 3.66 KB )
  123. /yingpanguazai/ssd/ssd1/www/wwww.yeyulingfeng.com/vendor/topthink/think-orm/src/db/concern/ResultOperation.php ( 7.01 KB )
  124. /yingpanguazai/ssd/ssd1/www/wwww.yeyulingfeng.com/vendor/topthink/think-orm/src/db/concern/WhereQuery.php ( 19.37 KB )
  125. /yingpanguazai/ssd/ssd1/www/wwww.yeyulingfeng.com/vendor/topthink/think-orm/src/db/concern/JoinAndViewQuery.php ( 7.11 KB )
  126. /yingpanguazai/ssd/ssd1/www/wwww.yeyulingfeng.com/vendor/topthink/think-orm/src/db/concern/TableFieldInfo.php ( 2.63 KB )
  127. /yingpanguazai/ssd/ssd1/www/wwww.yeyulingfeng.com/vendor/topthink/think-orm/src/db/concern/Transaction.php ( 2.77 KB )
  128. /yingpanguazai/ssd/ssd1/www/wwww.yeyulingfeng.com/vendor/topthink/framework/src/think/log/driver/File.php ( 5.96 KB )
  129. /yingpanguazai/ssd/ssd1/www/wwww.yeyulingfeng.com/vendor/topthink/framework/src/think/contract/LogHandlerInterface.php ( 0.86 KB )
  130. /yingpanguazai/ssd/ssd1/www/wwww.yeyulingfeng.com/vendor/topthink/framework/src/think/log/Channel.php ( 3.89 KB )
  131. /yingpanguazai/ssd/ssd1/www/wwww.yeyulingfeng.com/vendor/topthink/framework/src/think/event/LogRecord.php ( 1.02 KB )
  132. /yingpanguazai/ssd/ssd1/www/wwww.yeyulingfeng.com/vendor/topthink/think-helper/src/Collection.php ( 16.47 KB )
  133. /yingpanguazai/ssd/ssd1/www/wwww.yeyulingfeng.com/vendor/topthink/framework/src/think/facade/View.php ( 1.70 KB )
  134. /yingpanguazai/ssd/ssd1/www/wwww.yeyulingfeng.com/vendor/topthink/framework/src/think/View.php ( 4.39 KB )
  135. /yingpanguazai/ssd/ssd1/www/wwww.yeyulingfeng.com/vendor/topthink/framework/src/think/Response.php ( 8.81 KB )
  136. /yingpanguazai/ssd/ssd1/www/wwww.yeyulingfeng.com/vendor/topthink/framework/src/think/response/View.php ( 3.29 KB )
  137. /yingpanguazai/ssd/ssd1/www/wwww.yeyulingfeng.com/vendor/topthink/framework/src/think/Cookie.php ( 6.06 KB )
  138. /yingpanguazai/ssd/ssd1/www/wwww.yeyulingfeng.com/vendor/topthink/think-view/src/Think.php ( 8.38 KB )
  139. /yingpanguazai/ssd/ssd1/www/wwww.yeyulingfeng.com/vendor/topthink/framework/src/think/contract/TemplateHandlerInterface.php ( 1.60 KB )
  140. /yingpanguazai/ssd/ssd1/www/wwww.yeyulingfeng.com/vendor/topthink/think-template/src/Template.php ( 46.61 KB )
  141. /yingpanguazai/ssd/ssd1/www/wwww.yeyulingfeng.com/vendor/topthink/think-template/src/template/driver/File.php ( 2.41 KB )
  142. /yingpanguazai/ssd/ssd1/www/wwww.yeyulingfeng.com/vendor/topthink/think-template/src/template/contract/DriverInterface.php ( 0.86 KB )
  143. /yingpanguazai/ssd/ssd1/www/wwww.yeyulingfeng.com/runtime/temp/10a0c909b6afa23b5a52a2e2d58c3c0f.php ( 21.72 KB )
  144. /yingpanguazai/ssd/ssd1/www/wwww.yeyulingfeng.com/vendor/topthink/think-trace/src/Html.php ( 4.42 KB )
  1. CONNECT:[ UseTime:0.000421s ] mysql:host=127.0.0.1;port=3306;dbname=wenku;charset=utf8mb4
  2. SHOW FULL COLUMNS FROM `fenlei` [ RunTime:0.000666s ]
  3. SELECT * FROM `fenlei` WHERE `fid` = 0 [ RunTime:0.010143s ]
  4. SELECT * FROM `fenlei` WHERE `fid` = 63 [ RunTime:0.000277s ]
  5. SHOW FULL COLUMNS FROM `set` [ RunTime:0.000530s ]
  6. SELECT * FROM `set` [ RunTime:0.000189s ]
  7. SHOW FULL COLUMNS FROM `wendang` [ RunTime:0.000640s ]
  8. SELECT * FROM `wendang` WHERE `id` = 366820 LIMIT 1 [ RunTime:0.001579s ]
  9. UPDATE `wendang` SET `liulancishu` = 2 WHERE `id` = 366820 [ RunTime:0.003385s ]
  10. UPDATE `wendang` SET `lasttime` = 1773057013 WHERE `id` = 366820 [ RunTime:0.003579s ]
  11. SELECT * FROM `wendang` WHERE `id` < 366820 ORDER BY `id` DESC LIMIT 1 [ RunTime:0.005765s ]
  12. SELECT * FROM `wendang` WHERE `id` > 366820 ORDER BY `id` ASC LIMIT 1 [ RunTime:0.000739s ]
  13. SELECT * FROM `wendang` WHERE `id` <> 366820 ORDER BY `id` DESC LIMIT 10 [ RunTime:0.006781s ]
  14. SELECT * FROM `wendang` WHERE `id` <> 366820 ORDER BY `id` DESC LIMIT 10,10 [ RunTime:0.006057s ]
  15. SELECT * FROM `wendang` WHERE `id` <> 366820 ORDER BY `id` DESC LIMIT 20,10 [ RunTime:0.003858s ]
0.117147s