当前位置:首页>文档>2023年高考押题预测卷03(上海卷)-数学(全解全析)_2.2025数学总复习_2023年新高考资料_42023年高考数学押题预测卷

2023年高考押题预测卷03(上海卷)-数学(全解全析)_2.2025数学总复习_2023年新高考资料_42023年高考数学押题预测卷

  • 2026-03-09 23:54:37 2026-03-09 23:54:37

文档预览

2023年高考押题预测卷03(上海卷)-数学(全解全析)_2.2025数学总复习_2023年新高考资料_42023年高考数学押题预测卷
2023年高考押题预测卷03(上海卷)-数学(全解全析)_2.2025数学总复习_2023年新高考资料_42023年高考数学押题预测卷
2023年高考押题预测卷03(上海卷)-数学(全解全析)_2.2025数学总复习_2023年新高考资料_42023年高考数学押题预测卷
2023年高考押题预测卷03(上海卷)-数学(全解全析)_2.2025数学总复习_2023年新高考资料_42023年高考数学押题预测卷
2023年高考押题预测卷03(上海卷)-数学(全解全析)_2.2025数学总复习_2023年新高考资料_42023年高考数学押题预测卷
2023年高考押题预测卷03(上海卷)-数学(全解全析)_2.2025数学总复习_2023年新高考资料_42023年高考数学押题预测卷
2023年高考押题预测卷03(上海卷)-数学(全解全析)_2.2025数学总复习_2023年新高考资料_42023年高考数学押题预测卷
2023年高考押题预测卷03(上海卷)-数学(全解全析)_2.2025数学总复习_2023年新高考资料_42023年高考数学押题预测卷
2023年高考押题预测卷03(上海卷)-数学(全解全析)_2.2025数学总复习_2023年新高考资料_42023年高考数学押题预测卷
2023年高考押题预测卷03(上海卷)-数学(全解全析)_2.2025数学总复习_2023年新高考资料_42023年高考数学押题预测卷
2023年高考押题预测卷03(上海卷)-数学(全解全析)_2.2025数学总复习_2023年新高考资料_42023年高考数学押题预测卷
2023年高考押题预测卷03(上海卷)-数学(全解全析)_2.2025数学总复习_2023年新高考资料_42023年高考数学押题预测卷
2023年高考押题预测卷03(上海卷)-数学(全解全析)_2.2025数学总复习_2023年新高考资料_42023年高考数学押题预测卷
2023年高考押题预测卷03(上海卷)-数学(全解全析)_2.2025数学总复习_2023年新高考资料_42023年高考数学押题预测卷
2023年高考押题预测卷03(上海卷)-数学(全解全析)_2.2025数学总复习_2023年新高考资料_42023年高考数学押题预测卷
2023年高考押题预测卷03(上海卷)-数学(全解全析)_2.2025数学总复习_2023年新高考资料_42023年高考数学押题预测卷
2023年高考押题预测卷03(上海卷)-数学(全解全析)_2.2025数学总复习_2023年新高考资料_42023年高考数学押题预测卷
2023年高考押题预测卷03(上海卷)-数学(全解全析)_2.2025数学总复习_2023年新高考资料_42023年高考数学押题预测卷
2023年高考押题预测卷03(上海卷)-数学(全解全析)_2.2025数学总复习_2023年新高考资料_42023年高考数学押题预测卷
2023年高考押题预测卷03(上海卷)-数学(全解全析)_2.2025数学总复习_2023年新高考资料_42023年高考数学押题预测卷
2023年高考押题预测卷03(上海卷)-数学(全解全析)_2.2025数学总复习_2023年新高考资料_42023年高考数学押题预测卷
2023年高考押题预测卷03(上海卷)-数学(全解全析)_2.2025数学总复习_2023年新高考资料_42023年高考数学押题预测卷
2023年高考押题预测卷03(上海卷)-数学(全解全析)_2.2025数学总复习_2023年新高考资料_42023年高考数学押题预测卷
2023年高考押题预测卷03(上海卷)-数学(全解全析)_2.2025数学总复习_2023年新高考资料_42023年高考数学押题预测卷
2023年高考押题预测卷03(上海卷)-数学(全解全析)_2.2025数学总复习_2023年新高考资料_42023年高考数学押题预测卷

文档信息

文档格式
docx
文档大小
2.017 MB
文档页数
25 页
上传时间
2026-03-09 23:54:37

文档内容

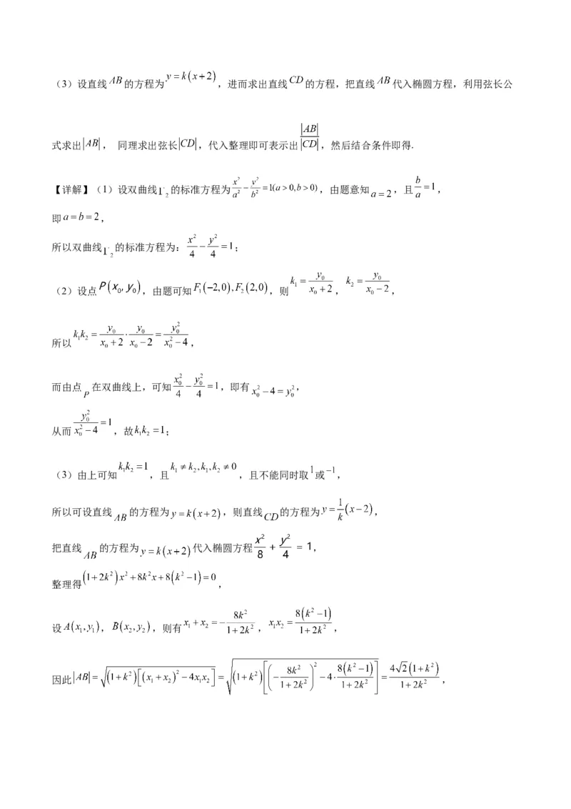
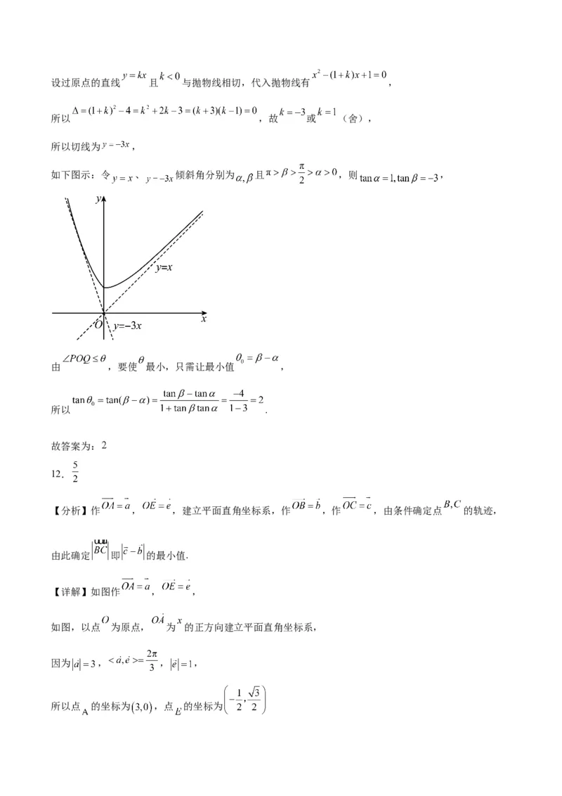
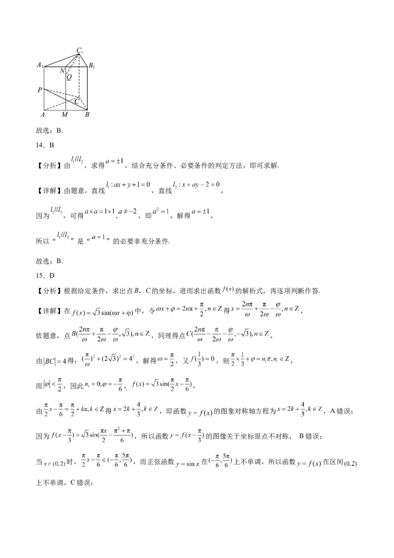
2023年高考押题预测卷03【上海卷】 数学·全解全析 1. 【分析】根据全集,利用补集运算求解. 【详解】因为 且 , , 所以 , 故答案为: 2.21 【分析】利用二项式的展开式求通项,再求对应项系数即可. 【详解】设 的通项为: ,令 ,则 ,其系数为21 故答案为:21 3.5 【分析】设 , ,根据题干条件得到 , ,化简得到 , 根据 求出最大值. 【详解】设 , ,则 , 变形为 ,两边平方后得到 , 两边平方后得到 ,将 代入 , 即 ,故 , 则 , 当 时, 取得最大值,最大值为5 故答案为:54. 【分析】共面分为平行和相交,平行时,只需要考虑对面平行中的直线即可,相交时分为:在侧面内相交, 两个相邻面相交于一个点,相隔一个面中相交于对角线延长线上,分别分析几种情况下对角线共面的个数, 再利用古典概型的概率计算公式,计算结果即可. 【详解】解:由题意知,若两个对角线在同一个侧面,因为有6个侧面,所以共有6组; 若相交且交点在正六棱柱的顶点上,因为有12个顶点,所以共有12组, 若相交且交点在对角线延长线上时,如图所示,连接 , 先考虑下底面,根据正六边形性质可知 ,所以 , 且 ,故 共面,且 共面, 故 相交,且 相交,故共面有2组, 则正六边形对角线 所对应的有2组共面的面对角线, 同理可知正六边形对角线 所对的分别有两组,共6组, 故对于上底面对角线 , , 同样各对两组,共6组, 若对面平行,一组对面中有2组对角线平行,三组对面共有6组, 所以共面的概率是 . 故答案为: 5. 【分析】分别确定第一轮比赛,第二轮比赛,第三轮比赛安排方案数,再由分步乘法计数原理确定总的方 法数. 【详解】由已知可得第一轮比赛的安排方法数为 ,即 种安排方法,第二轮比赛的安排方法数为 ,即3种安排方法, 第三轮比赛的安排方法数为1, 由分步乘法计数原理可得所有的安排方法数为315; 故答案为:315. 6. 【分析】首先确定到动点P距离为1的点的轨迹所构成的空间体在垂直于平面 的视角下看的平面图形, 得到 区域内的几何体为半圆柱, 区域内的几何体为被平面截的部分球, 区域内的几何体为棱柱,然后由空间几何体的体积公式求解即可. 【详解】解:到动点P距离为1的点的轨迹所构成的空间体在垂直于平面 的视角下看,如图所示: 其中 区域内的几何体为半圆柱, 区域内的几何体为被平面截的部分球, 球心分别为A,B,C, 区域内的几何体为棱柱,其高为2. 因为 为矩形, 所以 , 因为 , 同理 , 所以 , 所以这三个区域的几何体合成一个完整的半径为1的球, 所以 ( 表示区域 几何体的体积,其它以此类推), (其中 表示半圆底面). ,所以几何体L的体积等于 . 故答案为: . 7.16 【分析】根据题意设 ,利用函数奇偶性可以得到设 ,再利用基本不等式即 可求出结果. 【详解】由函数 , 设 ,则 的定义域为 , , 则 ,所以 是奇函数, 则 , 又因为正实数 满足 , 所以 , , 当且仅当 时取到等号. 故答案为:16. 8. 【分析】由绝对值三角不等式可得 在 恒成立,即有 或 在 恒成立,分别求解即可得答案. 【详解】解:因为在绝对值三角不等式 中,当 同号时有 , 又因为 ,所以 在 恒成立, 所以 或 在 恒成立, 即有 或 在 恒成立, 由 ,解得 , 由 ,解得 , 综上所述实数a的取值范围为 . 故答案为: 9. 【分析】题中函数为圆 的一段劣弧,在旋转过程中,只需根据函数的定义考虑一个 只有唯一确 定的 与之对应,即图形与 只有一个交点时旋转的角度符合题意. 【详解】画出函数 的图象,如图1所示: 圆弧所在的圆方程为 , , ,在图象绕原点旋转的过程中,当 从图1的位置旋转到 点时,根据函数的定义知这个旋转过程所得的图形均为函数的图象,如图2所示: 此时绕着原点旋转弧度为 ; 若函数图象在图2位置绕着原点继续旋转,当点 在 轴上方,点 在 轴下方时,根据函数的定义知, 所得图形不是函数的图象,如图3所示: 此时转过的角度为 ,不满足题意; 若函数的图象在图3位置绕着原点继续旋转,当整个图象都在 轴下方时,根据函数的定义知,所得图形 是函数的图象,如图4所示: 此时转过的角度为 ; 故答案为: .10. 【分析】首先分析各段函数的单调性,依题意只需函数 的值域为 ,分 、 两种情况讨论, 分别求出函数在各段的最大(小)值,即可得到不等式组,解得即可. 【详解】因为函数 在定义域 上单调递增, 函数 在 上单调递减,在 上单调递增, 要使对任意实数 ,总存在实数 ,使得 ,即函数 的值域为 , 当 时 在 上单调递增,在 上也单调递增, 则只需 ,解得 ; 当 时 在 上的最小值为 ,则只需要 ,解得 ; 综上可得 ,即实数 的取值范围是 . 故答案为: 11. 【分析】根据解析式知曲线在 、 上分别为双曲线、抛物线的一部分,确定双曲线部分的渐近线、 抛物线部分的切线,两线倾斜角的差即为 的最小值 ,应用差角正切公式求其正切值. 【详解】在 上,曲线方程为 是双曲线上支的一部分( ), 所以该部分渐近线为 , 在 上,曲线方程为 是抛物线的一部分,设过原点的直线 且 与抛物线相切,代入抛物线有 , 所以 ,故 或 (舍), 所以切线为 , 如下图示:令 、 倾斜角分别为 且 ,则 , 由 ,要使 最小,只需让最小值 , 所以 . 故答案为: 12. 【分析】作 , ,建立平面直角坐标系,作 ,作 ,由条件确定点 的轨迹, 由此确定 即 的最小值. 【详解】如图作 , , 如图,以点 为原点, 为 的正方向建立平面直角坐标系, 因为 , , , 所以点 的坐标为 ,点 的坐标为作 ,设点 的坐标为 , 因为 , 所以 ,所以 , 所以点 在以 为圆心,以 为半径的圆上, 因为对任意的实数 ,均有 , 所以 ,又 , 所以 恒成立, 所以 , 所以 ,即 , 作 ,设点 的坐标为 , 则 ,即 , 所以点 在直线 上, 因为 , 又点 在圆 上一动点, 点 在直线 上一动点, 所以点 到点 的最小距离为点 到点 的距离减去圆的半径 , 即 ,当且仅当点 为线段 与圆的交点时等号成立, 因为点 到直线 的距离 , 所以点 到点 的距离大于等于 ,即 ,所以 , 当且仅当 垂直于直线 且点 为线段 与圆的交点时等号成立, 所以 的最小值为 , 故答案为: . 【点睛】本题解决的关键在于建立平面直角坐标系,利用条件结合向量的坐标运算及性质确定点的轨迹, 由此结合直线与圆的性质求解. 13.B 【分析】证明 平面 ,从而可证 四点不共面,即可判断AB;设 , 将 分别用 表示,假设直线 与直线CP垂直,则 ,求出 即可判断C;证 明 平面 ,即可判断D. 【详解】在正三棱柱 中, 因为点M、N分别为棱AB、 的中点,所以 , 又 平面 , 平面 , 所以 平面 , 因为 平面 , , ,所以 四点不共面, 所以直线 与直线CP始终异面,故A错误,B正确; 对于C,设 , 则 , , 若直线 与直线CP垂直,则 , 即 , 所以 , 即 ,解得 , 因为 ,所以不存在点 使得直线 与直线CP垂直,故C错误; 对于D,连接 , 因为 为 的中点,所以 , 又因 平面 , 平面 , 所以 , 因为 平面 , 所以 平面 , 又 平面 ,所以 , 所以当点 在 的位置时,直线 与直线BP垂直,故D错误.故选:B. 14.B 【分析】由 ,求得 ,结合充分条件、必要条件的判定方法,即可求解. 【详解】由题意,直线 ,直线 , 因为 ,可得 , ,即 ,解得 , 所以“ ”是“ ”的必要非充分条件. 故选:B. 15.D 【分析】根据给定条件,求出点B,C的坐标,进而求出函数 的解析式,再逐项判断作答. 【详解】在 中,令 得 , 依题意,点 ,同理得点 , 由 得: ,解得 ,又 ,则 , 而 ,因此 , , 由 得 ,即函数 的图象对称轴方程为 ,A错误; 因为 ,所以函数 的图像关于坐标原点不对称, B错误; 当 时, ,而正弦函数 在 上不单调,所以函数 在区间 上不单调,C错误;当 时, ,依题意, , 又正弦函数 在 内各有1个极小值点,在 内无极小值点, 所以函数 在区间 内有且有 个极小值点,D正确. 故选:D 【点睛】思路点睛:涉及求正(余)型函数在指定区间上的单调性问题,先根据给定的自变量取值区间求出 相位的范围,再利用正(余)函数性质列出不等式求解即得. 16.D 【分析】由已知可变形为 ,构造函数 ,利用导函数分析单调 性以及最值即可一一判断求解. 【详解】因为 ,所以 ,所以 , 由 可得 ,则 , 则有 , 设函数 , , 当 时, ,当 时, , 所以 在 单调递增, 单调递减, 所以 , 因为 ,所以 以此类推,对任意 ,故B错误; 所以 ,故A错误; 因为 ,所以数列 中不存在某一项为最大项,C错误;因为 ,所以 , , 所以存在正整数n,使得 ,D正确. 【点睛】关键点点睛:本题关键在于据题意转化为 ,利用函数 的单调性以及最值分析求解. 17.(1)证明见解析 (2) 【分析】(1)结合三角函数的定义证明 ,然后由线面垂直的判定定理得证线面垂直; (2)建立如图所示的空间直角坐标系,用空间向量法求二面角. 【详解】(1)设BD与CE相交于点H, 因为PD⊥平面ABCD, 平面ABCD, 所以 , 由 , ,得 , 因此 , , 可得 , 因为 , 所以 ,即 , 又因为 , , 平面 , 所以CE⊥平面PBD;(2)如图,建立空间直角坐标系D-xyz, 则 , , , 所以 , , 设平面PCE的一个法向量 , 则 ,即 , 令 ,则 , ,于是 , 平面ACE的一个法向量为 , 则 , 由图形可知二面角P-CE-A为锐角, 所以二面角P-CE-A的余弦值是 . 18.(1) (2) 【分析】(1)当 时,求得公差 , 将求和公式及通项公式代入 求得 .(2)当 =1时为等差数列求和,当 时用错位相减求和. 【详解】(1)设等差数列 的公差为 ,由 得: ,所以 ,即 , 又 , 所以 . (2)由 ,得 . 所以, , 当 时, ; 当 时, , , 所以 , 即 . 19.(1)有 的把握认为电解电容质量与铝箔质量有关,理由见解析 (2)0.846 【分析】(1)计算 ,与临界值比较,得出结论; (2)根据全概率公式计算 ,再由条件概率公式求解即可.【详解】(1)提出原假设 :电解电容质量与铝䈹质量无关. 由题意及 列联表,可得 . 由于 ,而 , 因此,根据检测组的数据,原假设不成立,并且有 的把握认为电解电容质量与铝箔质量有关. (2)设第一次取出的元件是优等品的事件为 ,第二次取出的元件是合格品的事件为 .取出的元件是第 一箱、第二箱的事件分别为 , . 则由全概率公式,得 , 于是,由条件概率公式,得 . 因此,在第一次取出的是优等品的情况下,第二次取出的是合格品的概率约为0.846. 20.(1) ; (2)证明见解析; (3) . 【分析】(1)根据题意双曲线的 ,且 ,进而可求双曲线的标准方程; (2)设点 ,利用斜率公式结合条件即可证出;(3)设直线 的方程为 ,进而求出直线 的方程,把直线 代入椭圆方程,利用弦长公 式求出 , 同理求出弦长 ,代入整理即可表示出 ,然后结合条件即得. 【详解】(1)设双曲线 的标准方程为 ,由题意知 ,且 , 即 , 所以双曲线 的标准方程为: ; (2)设点 ,由题可知 ,则 , , 所以 , 而由点 在双曲线上,可知 ,即有 , 从而 ,故 ; (3)由上可知 ,且 ,且不能同时取 或 , 所以可设直线 的方程为 ,则直线 的方程为 , 把直线 的方程为 代入椭圆方程 , 整理得 , 设 , ,则有 , , 因此 ,同理可得 , 因此 ,又 , 所以 ,所以 , 所以 的取值范围为 . 【点睛】方法点睛:利用韦达定理法解决直线与圆锥曲线相交问题的基本步骤如下: (1)设直线方程,设交点坐标为 ; (2)联立直线与圆锥曲线的方程,得到关于 (或 )的一元二次方程,必要时计算 ; (3)列出韦达定理; (4)将所求问题或题中的关系转化为 、 (或 、 )的形式; (5)代入韦达定理求解. 21.(1)函数 在 上的增区间为: 与 ; 减区间为: 与 .当 时, 取极小值,极小值为 ,当 时,函数 取极大值,极大值为 ,当 时,函数 取极大值,极大值为 ; (2) ; (3)证明见解析. 【分析】(1)求函数 的导函数,解不等式 可得函数 的单调递增区间,解不等式可得 函数 的单调递减区间,解方程 ,由此确定函数的极值点; (2)令 ,由已知可得 在区间 上恒成立,证明当 时, 函数 单调递增,再判断 时,不满足要求,由此确定 的范围; (3)利用导数研究函数 , 的单调性,作出函数的图象,证明曲线 与 有 唯一交点 ,结合图象证明 ,再证明 , , ,由此完成证明. 【详解】(1)由题设,有 ,可得 令 可得 ,所以 , 所以函数 在区间 上单调递增; 令 可得 ,解得 ,. 函数 在区间 上单调递增; 令 可得 ,所以 , 所以,函数 在 上的递增区间为: 与 ; 递减区间为: 与 .当 时,函数 取极大值,极大值为 , 当 时,函数 取极小值,极小值为 , 当 时,函数 取极大值,极大值为 ; (2)关于 不等式 在区间 恒成立, 即: 在区间 上恒成立. 令 , 则 , 令 则 , 由(1)知: 在 上的极大值为 , 又 , 从而 在 上的最大值为1, 即 在 上恒成立. 于是 在 上恒成立, 所以 在 上单调递增; 从而 ,当 时, ,当且仅当 时等号成立, 所以 在 上单调递增; 从而 在 上恒成立. 所以,当 时 在 上恒成立. 当 时,存在 ,使得 , 当 时, ,函数 在 上单调递减, 又 ,所以当 时, ,与已知矛盾, 综合上述,得: . (3)对于函数 ,令 ,则 . 从而当 时, ,函数 在 上单调递增; 当 时, ,函数 在 上单调递减; 故当 时, 取最大值,最大值为 . 对于函数 ,令 ,则 . 从而当 时, ,函数 在 上单调递增; 当 时, ,函数 在 上单调递减; 故当 时, 取最大值,最大值为 . 因此,函数 与 有相同的最大值.其图像如下图所示.下面先证明:曲线 与 有唯一交点. 由 ,得 ,即证明方程 有唯一实数根 . 令 ,则 . 所以 在 上恒为负数. 因为当 时, , , 所以曲线 与 在区间 上没有交点. 而在区间 上,函数 单调递减,函数 单调递增, 所以函数 在 上单调递减, 进而函数 在 上单调递减, 由 , 及零点存在定理得: 函数 在 上存在唯一零点, 从而方程 在 上有唯一实数根 ,且 . 由于直线 与曲线 , 共有3个不同交点,故直线 必过点 , 且 , , 由 ,得 ,即 , 而函数 在 上严格增, , , 故 ① 由 ,得 , 即 , 而函数 在 上严格减, , , 故 ② 由①,②得 . ③ 由 ,得 , 故有 ④ 因此,由③,④得 ,即 成等比数列. 【点睛】关键点点睛:导函数中常用的两种常用的转化方法:一是利用导数研究含参函数的单调性,常化 为不等式恒成立问题.注意分类讨论与数形结合思想的应用;二是函数的零点、不等式证明常转化为函数 的单调性、极(最)值问题处理.
基本 文件 流程 错误 SQL 调试
  1. 请求信息 : 2026-03-09 23:55:02 HTTP/1.1 GET : https://www.yeyulingfeng.com/wendang/367821.html
  2. 运行时间 : 0.122293s [ 吞吐率:8.18req/s ] 内存消耗:5,539.60kb 文件加载:144
  3. 缓存信息 : 0 reads,0 writes
  4. 会话信息 : SESSION_ID=77ca00788156f943b8f7c2def2e83106
  1. /yingpanguazai/ssd/ssd1/www/wwww.yeyulingfeng.com/public/index.php ( 0.79 KB )
  2. /yingpanguazai/ssd/ssd1/www/wwww.yeyulingfeng.com/vendor/autoload.php ( 0.17 KB )
  3. /yingpanguazai/ssd/ssd1/www/wwww.yeyulingfeng.com/vendor/composer/autoload_real.php ( 2.49 KB )
  4. /yingpanguazai/ssd/ssd1/www/wwww.yeyulingfeng.com/vendor/composer/platform_check.php ( 0.90 KB )
  5. /yingpanguazai/ssd/ssd1/www/wwww.yeyulingfeng.com/vendor/composer/ClassLoader.php ( 14.03 KB )
  6. /yingpanguazai/ssd/ssd1/www/wwww.yeyulingfeng.com/vendor/composer/autoload_static.php ( 6.05 KB )
  7. /yingpanguazai/ssd/ssd1/www/wwww.yeyulingfeng.com/vendor/topthink/think-helper/src/helper.php ( 8.34 KB )
  8. /yingpanguazai/ssd/ssd1/www/wwww.yeyulingfeng.com/vendor/topthink/think-validate/src/helper.php ( 2.19 KB )
  9. /yingpanguazai/ssd/ssd1/www/wwww.yeyulingfeng.com/vendor/ralouphie/getallheaders/src/getallheaders.php ( 1.60 KB )
  10. /yingpanguazai/ssd/ssd1/www/wwww.yeyulingfeng.com/vendor/topthink/think-orm/src/helper.php ( 1.47 KB )
  11. /yingpanguazai/ssd/ssd1/www/wwww.yeyulingfeng.com/vendor/topthink/think-orm/stubs/load_stubs.php ( 0.16 KB )
  12. /yingpanguazai/ssd/ssd1/www/wwww.yeyulingfeng.com/vendor/topthink/framework/src/think/Exception.php ( 1.69 KB )
  13. /yingpanguazai/ssd/ssd1/www/wwww.yeyulingfeng.com/vendor/topthink/think-container/src/Facade.php ( 2.71 KB )
  14. /yingpanguazai/ssd/ssd1/www/wwww.yeyulingfeng.com/vendor/symfony/deprecation-contracts/function.php ( 0.99 KB )
  15. /yingpanguazai/ssd/ssd1/www/wwww.yeyulingfeng.com/vendor/symfony/polyfill-mbstring/bootstrap.php ( 8.26 KB )
  16. /yingpanguazai/ssd/ssd1/www/wwww.yeyulingfeng.com/vendor/symfony/polyfill-mbstring/bootstrap80.php ( 9.78 KB )
  17. /yingpanguazai/ssd/ssd1/www/wwww.yeyulingfeng.com/vendor/symfony/var-dumper/Resources/functions/dump.php ( 1.49 KB )
  18. /yingpanguazai/ssd/ssd1/www/wwww.yeyulingfeng.com/vendor/topthink/think-dumper/src/helper.php ( 0.18 KB )
  19. /yingpanguazai/ssd/ssd1/www/wwww.yeyulingfeng.com/vendor/symfony/var-dumper/VarDumper.php ( 4.30 KB )
  20. /yingpanguazai/ssd/ssd1/www/wwww.yeyulingfeng.com/vendor/guzzlehttp/guzzle/src/functions_include.php ( 0.16 KB )
  21. /yingpanguazai/ssd/ssd1/www/wwww.yeyulingfeng.com/vendor/guzzlehttp/guzzle/src/functions.php ( 5.54 KB )
  22. /yingpanguazai/ssd/ssd1/www/wwww.yeyulingfeng.com/vendor/topthink/framework/src/think/App.php ( 15.30 KB )
  23. /yingpanguazai/ssd/ssd1/www/wwww.yeyulingfeng.com/vendor/topthink/think-container/src/Container.php ( 15.76 KB )
  24. /yingpanguazai/ssd/ssd1/www/wwww.yeyulingfeng.com/vendor/psr/container/src/ContainerInterface.php ( 1.02 KB )
  25. /yingpanguazai/ssd/ssd1/www/wwww.yeyulingfeng.com/app/provider.php ( 0.19 KB )
  26. /yingpanguazai/ssd/ssd1/www/wwww.yeyulingfeng.com/vendor/topthink/framework/src/think/Http.php ( 6.04 KB )
  27. /yingpanguazai/ssd/ssd1/www/wwww.yeyulingfeng.com/vendor/topthink/think-helper/src/helper/Str.php ( 7.29 KB )
  28. /yingpanguazai/ssd/ssd1/www/wwww.yeyulingfeng.com/vendor/topthink/framework/src/think/Env.php ( 4.68 KB )
  29. /yingpanguazai/ssd/ssd1/www/wwww.yeyulingfeng.com/app/common.php ( 0.03 KB )
  30. /yingpanguazai/ssd/ssd1/www/wwww.yeyulingfeng.com/vendor/topthink/framework/src/helper.php ( 18.78 KB )
  31. /yingpanguazai/ssd/ssd1/www/wwww.yeyulingfeng.com/vendor/topthink/framework/src/think/Config.php ( 5.54 KB )
  32. /yingpanguazai/ssd/ssd1/www/wwww.yeyulingfeng.com/config/alipay.php ( 3.59 KB )
  33. /yingpanguazai/ssd/ssd1/www/wwww.yeyulingfeng.com/vendor/topthink/framework/src/think/facade/Env.php ( 1.67 KB )
  34. /yingpanguazai/ssd/ssd1/www/wwww.yeyulingfeng.com/config/app.php ( 0.95 KB )
  35. /yingpanguazai/ssd/ssd1/www/wwww.yeyulingfeng.com/config/cache.php ( 0.78 KB )
  36. /yingpanguazai/ssd/ssd1/www/wwww.yeyulingfeng.com/config/console.php ( 0.23 KB )
  37. /yingpanguazai/ssd/ssd1/www/wwww.yeyulingfeng.com/config/cookie.php ( 0.56 KB )
  38. /yingpanguazai/ssd/ssd1/www/wwww.yeyulingfeng.com/config/database.php ( 2.48 KB )
  39. /yingpanguazai/ssd/ssd1/www/wwww.yeyulingfeng.com/config/filesystem.php ( 0.61 KB )
  40. /yingpanguazai/ssd/ssd1/www/wwww.yeyulingfeng.com/config/lang.php ( 0.91 KB )
  41. /yingpanguazai/ssd/ssd1/www/wwww.yeyulingfeng.com/config/log.php ( 1.35 KB )
  42. /yingpanguazai/ssd/ssd1/www/wwww.yeyulingfeng.com/config/middleware.php ( 0.19 KB )
  43. /yingpanguazai/ssd/ssd1/www/wwww.yeyulingfeng.com/config/route.php ( 1.89 KB )
  44. /yingpanguazai/ssd/ssd1/www/wwww.yeyulingfeng.com/config/session.php ( 0.57 KB )
  45. /yingpanguazai/ssd/ssd1/www/wwww.yeyulingfeng.com/config/trace.php ( 0.34 KB )
  46. /yingpanguazai/ssd/ssd1/www/wwww.yeyulingfeng.com/config/view.php ( 0.82 KB )
  47. /yingpanguazai/ssd/ssd1/www/wwww.yeyulingfeng.com/app/event.php ( 0.25 KB )
  48. /yingpanguazai/ssd/ssd1/www/wwww.yeyulingfeng.com/vendor/topthink/framework/src/think/Event.php ( 7.67 KB )
  49. /yingpanguazai/ssd/ssd1/www/wwww.yeyulingfeng.com/app/service.php ( 0.13 KB )
  50. /yingpanguazai/ssd/ssd1/www/wwww.yeyulingfeng.com/app/AppService.php ( 0.26 KB )
  51. /yingpanguazai/ssd/ssd1/www/wwww.yeyulingfeng.com/vendor/topthink/framework/src/think/Service.php ( 1.64 KB )
  52. /yingpanguazai/ssd/ssd1/www/wwww.yeyulingfeng.com/vendor/topthink/framework/src/think/Lang.php ( 7.35 KB )
  53. /yingpanguazai/ssd/ssd1/www/wwww.yeyulingfeng.com/vendor/topthink/framework/src/lang/zh-cn.php ( 13.70 KB )
  54. /yingpanguazai/ssd/ssd1/www/wwww.yeyulingfeng.com/vendor/topthink/framework/src/think/initializer/Error.php ( 3.31 KB )
  55. /yingpanguazai/ssd/ssd1/www/wwww.yeyulingfeng.com/vendor/topthink/framework/src/think/initializer/RegisterService.php ( 1.33 KB )
  56. /yingpanguazai/ssd/ssd1/www/wwww.yeyulingfeng.com/vendor/services.php ( 0.14 KB )
  57. /yingpanguazai/ssd/ssd1/www/wwww.yeyulingfeng.com/vendor/topthink/framework/src/think/service/PaginatorService.php ( 1.52 KB )
  58. /yingpanguazai/ssd/ssd1/www/wwww.yeyulingfeng.com/vendor/topthink/framework/src/think/service/ValidateService.php ( 0.99 KB )
  59. /yingpanguazai/ssd/ssd1/www/wwww.yeyulingfeng.com/vendor/topthink/framework/src/think/service/ModelService.php ( 2.04 KB )
  60. /yingpanguazai/ssd/ssd1/www/wwww.yeyulingfeng.com/vendor/topthink/think-trace/src/Service.php ( 0.77 KB )
  61. /yingpanguazai/ssd/ssd1/www/wwww.yeyulingfeng.com/vendor/topthink/framework/src/think/Middleware.php ( 6.72 KB )
  62. /yingpanguazai/ssd/ssd1/www/wwww.yeyulingfeng.com/vendor/topthink/framework/src/think/initializer/BootService.php ( 0.77 KB )
  63. /yingpanguazai/ssd/ssd1/www/wwww.yeyulingfeng.com/vendor/topthink/think-orm/src/Paginator.php ( 11.86 KB )
  64. /yingpanguazai/ssd/ssd1/www/wwww.yeyulingfeng.com/vendor/topthink/think-validate/src/Validate.php ( 63.20 KB )
  65. /yingpanguazai/ssd/ssd1/www/wwww.yeyulingfeng.com/vendor/topthink/think-orm/src/Model.php ( 23.55 KB )
  66. /yingpanguazai/ssd/ssd1/www/wwww.yeyulingfeng.com/vendor/topthink/think-orm/src/model/concern/Attribute.php ( 21.05 KB )
  67. /yingpanguazai/ssd/ssd1/www/wwww.yeyulingfeng.com/vendor/topthink/think-orm/src/model/concern/AutoWriteData.php ( 4.21 KB )
  68. /yingpanguazai/ssd/ssd1/www/wwww.yeyulingfeng.com/vendor/topthink/think-orm/src/model/concern/Conversion.php ( 6.44 KB )
  69. /yingpanguazai/ssd/ssd1/www/wwww.yeyulingfeng.com/vendor/topthink/think-orm/src/model/concern/DbConnect.php ( 5.16 KB )
  70. /yingpanguazai/ssd/ssd1/www/wwww.yeyulingfeng.com/vendor/topthink/think-orm/src/model/concern/ModelEvent.php ( 2.33 KB )
  71. /yingpanguazai/ssd/ssd1/www/wwww.yeyulingfeng.com/vendor/topthink/think-orm/src/model/concern/RelationShip.php ( 28.29 KB )
  72. /yingpanguazai/ssd/ssd1/www/wwww.yeyulingfeng.com/vendor/topthink/think-helper/src/contract/Arrayable.php ( 0.09 KB )
  73. /yingpanguazai/ssd/ssd1/www/wwww.yeyulingfeng.com/vendor/topthink/think-helper/src/contract/Jsonable.php ( 0.13 KB )
  74. /yingpanguazai/ssd/ssd1/www/wwww.yeyulingfeng.com/vendor/topthink/think-orm/src/model/contract/Modelable.php ( 0.09 KB )
  75. /yingpanguazai/ssd/ssd1/www/wwww.yeyulingfeng.com/vendor/topthink/framework/src/think/Db.php ( 2.88 KB )
  76. /yingpanguazai/ssd/ssd1/www/wwww.yeyulingfeng.com/vendor/topthink/think-orm/src/DbManager.php ( 8.52 KB )
  77. /yingpanguazai/ssd/ssd1/www/wwww.yeyulingfeng.com/vendor/topthink/framework/src/think/Log.php ( 6.28 KB )
  78. /yingpanguazai/ssd/ssd1/www/wwww.yeyulingfeng.com/vendor/topthink/framework/src/think/Manager.php ( 3.92 KB )
  79. /yingpanguazai/ssd/ssd1/www/wwww.yeyulingfeng.com/vendor/psr/log/src/LoggerTrait.php ( 2.69 KB )
  80. /yingpanguazai/ssd/ssd1/www/wwww.yeyulingfeng.com/vendor/psr/log/src/LoggerInterface.php ( 2.71 KB )
  81. /yingpanguazai/ssd/ssd1/www/wwww.yeyulingfeng.com/vendor/topthink/framework/src/think/Cache.php ( 4.92 KB )
  82. /yingpanguazai/ssd/ssd1/www/wwww.yeyulingfeng.com/vendor/psr/simple-cache/src/CacheInterface.php ( 4.71 KB )
  83. /yingpanguazai/ssd/ssd1/www/wwww.yeyulingfeng.com/vendor/topthink/think-helper/src/helper/Arr.php ( 16.63 KB )
  84. /yingpanguazai/ssd/ssd1/www/wwww.yeyulingfeng.com/vendor/topthink/framework/src/think/cache/driver/File.php ( 7.84 KB )
  85. /yingpanguazai/ssd/ssd1/www/wwww.yeyulingfeng.com/vendor/topthink/framework/src/think/cache/Driver.php ( 9.03 KB )
  86. /yingpanguazai/ssd/ssd1/www/wwww.yeyulingfeng.com/vendor/topthink/framework/src/think/contract/CacheHandlerInterface.php ( 1.99 KB )
  87. /yingpanguazai/ssd/ssd1/www/wwww.yeyulingfeng.com/app/Request.php ( 0.09 KB )
  88. /yingpanguazai/ssd/ssd1/www/wwww.yeyulingfeng.com/vendor/topthink/framework/src/think/Request.php ( 55.78 KB )
  89. /yingpanguazai/ssd/ssd1/www/wwww.yeyulingfeng.com/app/middleware.php ( 0.25 KB )
  90. /yingpanguazai/ssd/ssd1/www/wwww.yeyulingfeng.com/vendor/topthink/framework/src/think/Pipeline.php ( 2.61 KB )
  91. /yingpanguazai/ssd/ssd1/www/wwww.yeyulingfeng.com/vendor/topthink/think-trace/src/TraceDebug.php ( 3.40 KB )
  92. /yingpanguazai/ssd/ssd1/www/wwww.yeyulingfeng.com/vendor/topthink/framework/src/think/middleware/SessionInit.php ( 1.94 KB )
  93. /yingpanguazai/ssd/ssd1/www/wwww.yeyulingfeng.com/vendor/topthink/framework/src/think/Session.php ( 1.80 KB )
  94. /yingpanguazai/ssd/ssd1/www/wwww.yeyulingfeng.com/vendor/topthink/framework/src/think/session/driver/File.php ( 6.27 KB )
  95. /yingpanguazai/ssd/ssd1/www/wwww.yeyulingfeng.com/vendor/topthink/framework/src/think/contract/SessionHandlerInterface.php ( 0.87 KB )
  96. /yingpanguazai/ssd/ssd1/www/wwww.yeyulingfeng.com/vendor/topthink/framework/src/think/session/Store.php ( 7.12 KB )
  97. /yingpanguazai/ssd/ssd1/www/wwww.yeyulingfeng.com/vendor/topthink/framework/src/think/Route.php ( 23.73 KB )
  98. /yingpanguazai/ssd/ssd1/www/wwww.yeyulingfeng.com/vendor/topthink/framework/src/think/route/RuleName.php ( 5.75 KB )
  99. /yingpanguazai/ssd/ssd1/www/wwww.yeyulingfeng.com/vendor/topthink/framework/src/think/route/Domain.php ( 2.53 KB )
  100. /yingpanguazai/ssd/ssd1/www/wwww.yeyulingfeng.com/vendor/topthink/framework/src/think/route/RuleGroup.php ( 22.43 KB )
  101. /yingpanguazai/ssd/ssd1/www/wwww.yeyulingfeng.com/vendor/topthink/framework/src/think/route/Rule.php ( 26.95 KB )
  102. /yingpanguazai/ssd/ssd1/www/wwww.yeyulingfeng.com/vendor/topthink/framework/src/think/route/RuleItem.php ( 9.78 KB )
  103. /yingpanguazai/ssd/ssd1/www/wwww.yeyulingfeng.com/route/app.php ( 3.82 KB )
  104. /yingpanguazai/ssd/ssd1/www/wwww.yeyulingfeng.com/vendor/topthink/framework/src/think/facade/Route.php ( 4.70 KB )
  105. /yingpanguazai/ssd/ssd1/www/wwww.yeyulingfeng.com/vendor/topthink/framework/src/think/route/dispatch/Controller.php ( 4.74 KB )
  106. /yingpanguazai/ssd/ssd1/www/wwww.yeyulingfeng.com/vendor/topthink/framework/src/think/route/Dispatch.php ( 10.44 KB )
  107. /yingpanguazai/ssd/ssd1/www/wwww.yeyulingfeng.com/app/controller/Index.php ( 9.69 KB )
  108. /yingpanguazai/ssd/ssd1/www/wwww.yeyulingfeng.com/app/BaseController.php ( 2.05 KB )
  109. /yingpanguazai/ssd/ssd1/www/wwww.yeyulingfeng.com/vendor/topthink/think-orm/src/facade/Db.php ( 0.93 KB )
  110. /yingpanguazai/ssd/ssd1/www/wwww.yeyulingfeng.com/vendor/topthink/think-orm/src/db/connector/Mysql.php ( 5.44 KB )
  111. /yingpanguazai/ssd/ssd1/www/wwww.yeyulingfeng.com/vendor/topthink/think-orm/src/db/PDOConnection.php ( 52.47 KB )
  112. /yingpanguazai/ssd/ssd1/www/wwww.yeyulingfeng.com/vendor/topthink/think-orm/src/db/Connection.php ( 8.39 KB )
  113. /yingpanguazai/ssd/ssd1/www/wwww.yeyulingfeng.com/vendor/topthink/think-orm/src/db/ConnectionInterface.php ( 4.57 KB )
  114. /yingpanguazai/ssd/ssd1/www/wwww.yeyulingfeng.com/vendor/topthink/think-orm/src/db/builder/Mysql.php ( 16.58 KB )
  115. /yingpanguazai/ssd/ssd1/www/wwww.yeyulingfeng.com/vendor/topthink/think-orm/src/db/Builder.php ( 24.06 KB )
  116. /yingpanguazai/ssd/ssd1/www/wwww.yeyulingfeng.com/vendor/topthink/think-orm/src/db/BaseBuilder.php ( 27.50 KB )
  117. /yingpanguazai/ssd/ssd1/www/wwww.yeyulingfeng.com/vendor/topthink/think-orm/src/db/Query.php ( 15.71 KB )
  118. /yingpanguazai/ssd/ssd1/www/wwww.yeyulingfeng.com/vendor/topthink/think-orm/src/db/BaseQuery.php ( 45.13 KB )
  119. /yingpanguazai/ssd/ssd1/www/wwww.yeyulingfeng.com/vendor/topthink/think-orm/src/db/concern/TimeFieldQuery.php ( 7.43 KB )
  120. /yingpanguazai/ssd/ssd1/www/wwww.yeyulingfeng.com/vendor/topthink/think-orm/src/db/concern/AggregateQuery.php ( 3.26 KB )
  121. /yingpanguazai/ssd/ssd1/www/wwww.yeyulingfeng.com/vendor/topthink/think-orm/src/db/concern/ModelRelationQuery.php ( 20.07 KB )
  122. /yingpanguazai/ssd/ssd1/www/wwww.yeyulingfeng.com/vendor/topthink/think-orm/src/db/concern/ParamsBind.php ( 3.66 KB )
  123. /yingpanguazai/ssd/ssd1/www/wwww.yeyulingfeng.com/vendor/topthink/think-orm/src/db/concern/ResultOperation.php ( 7.01 KB )
  124. /yingpanguazai/ssd/ssd1/www/wwww.yeyulingfeng.com/vendor/topthink/think-orm/src/db/concern/WhereQuery.php ( 19.37 KB )
  125. /yingpanguazai/ssd/ssd1/www/wwww.yeyulingfeng.com/vendor/topthink/think-orm/src/db/concern/JoinAndViewQuery.php ( 7.11 KB )
  126. /yingpanguazai/ssd/ssd1/www/wwww.yeyulingfeng.com/vendor/topthink/think-orm/src/db/concern/TableFieldInfo.php ( 2.63 KB )
  127. /yingpanguazai/ssd/ssd1/www/wwww.yeyulingfeng.com/vendor/topthink/think-orm/src/db/concern/Transaction.php ( 2.77 KB )
  128. /yingpanguazai/ssd/ssd1/www/wwww.yeyulingfeng.com/vendor/topthink/framework/src/think/log/driver/File.php ( 5.96 KB )
  129. /yingpanguazai/ssd/ssd1/www/wwww.yeyulingfeng.com/vendor/topthink/framework/src/think/contract/LogHandlerInterface.php ( 0.86 KB )
  130. /yingpanguazai/ssd/ssd1/www/wwww.yeyulingfeng.com/vendor/topthink/framework/src/think/log/Channel.php ( 3.89 KB )
  131. /yingpanguazai/ssd/ssd1/www/wwww.yeyulingfeng.com/vendor/topthink/framework/src/think/event/LogRecord.php ( 1.02 KB )
  132. /yingpanguazai/ssd/ssd1/www/wwww.yeyulingfeng.com/vendor/topthink/think-helper/src/Collection.php ( 16.47 KB )
  133. /yingpanguazai/ssd/ssd1/www/wwww.yeyulingfeng.com/vendor/topthink/framework/src/think/facade/View.php ( 1.70 KB )
  134. /yingpanguazai/ssd/ssd1/www/wwww.yeyulingfeng.com/vendor/topthink/framework/src/think/View.php ( 4.39 KB )
  135. /yingpanguazai/ssd/ssd1/www/wwww.yeyulingfeng.com/vendor/topthink/framework/src/think/Response.php ( 8.81 KB )
  136. /yingpanguazai/ssd/ssd1/www/wwww.yeyulingfeng.com/vendor/topthink/framework/src/think/response/View.php ( 3.29 KB )
  137. /yingpanguazai/ssd/ssd1/www/wwww.yeyulingfeng.com/vendor/topthink/framework/src/think/Cookie.php ( 6.06 KB )
  138. /yingpanguazai/ssd/ssd1/www/wwww.yeyulingfeng.com/vendor/topthink/think-view/src/Think.php ( 8.38 KB )
  139. /yingpanguazai/ssd/ssd1/www/wwww.yeyulingfeng.com/vendor/topthink/framework/src/think/contract/TemplateHandlerInterface.php ( 1.60 KB )
  140. /yingpanguazai/ssd/ssd1/www/wwww.yeyulingfeng.com/vendor/topthink/think-template/src/Template.php ( 46.61 KB )
  141. /yingpanguazai/ssd/ssd1/www/wwww.yeyulingfeng.com/vendor/topthink/think-template/src/template/driver/File.php ( 2.41 KB )
  142. /yingpanguazai/ssd/ssd1/www/wwww.yeyulingfeng.com/vendor/topthink/think-template/src/template/contract/DriverInterface.php ( 0.86 KB )
  143. /yingpanguazai/ssd/ssd1/www/wwww.yeyulingfeng.com/runtime/temp/10a0c909b6afa23b5a52a2e2d58c3c0f.php ( 21.72 KB )
  144. /yingpanguazai/ssd/ssd1/www/wwww.yeyulingfeng.com/vendor/topthink/think-trace/src/Html.php ( 4.42 KB )
  1. CONNECT:[ UseTime:0.000601s ] mysql:host=127.0.0.1;port=3306;dbname=wenku;charset=utf8mb4
  2. SHOW FULL COLUMNS FROM `fenlei` [ RunTime:0.000896s ]
  3. SELECT * FROM `fenlei` WHERE `fid` = 0 [ RunTime:0.000406s ]
  4. SELECT * FROM `fenlei` WHERE `fid` = 63 [ RunTime:0.000503s ]
  5. SHOW FULL COLUMNS FROM `set` [ RunTime:0.000741s ]
  6. SELECT * FROM `set` [ RunTime:0.000361s ]
  7. SHOW FULL COLUMNS FROM `wendang` [ RunTime:0.000799s ]
  8. SELECT * FROM `wendang` WHERE `id` = 367821 LIMIT 1 [ RunTime:0.004436s ]
  9. UPDATE `wendang` SET `liulancishu` = 1 WHERE `id` = 367821 [ RunTime:0.002850s ]
  10. UPDATE `wendang` SET `lasttime` = 1773071702 WHERE `id` = 367821 [ RunTime:0.001464s ]
  11. SELECT * FROM `wendang` WHERE `id` < 367821 ORDER BY `id` DESC LIMIT 1 [ RunTime:0.002738s ]
  12. SELECT * FROM `wendang` WHERE `id` > 367821 ORDER BY `id` ASC LIMIT 1 [ RunTime:0.001049s ]
  13. SELECT * FROM `wendang` WHERE `id` <> 367821 ORDER BY `id` DESC LIMIT 10 [ RunTime:0.012010s ]
  14. SELECT * FROM `wendang` WHERE `id` <> 367821 ORDER BY `id` DESC LIMIT 10,10 [ RunTime:0.010675s ]
  15. SELECT * FROM `wendang` WHERE `id` <> 367821 ORDER BY `id` DESC LIMIT 20,10 [ RunTime:0.008068s ]
0.124713s