当前位置:首页>文档>2025届高中地理一轮复习讲义:第一部分自然地理第六单元地球上的水第24课时 海水的性质(教师版)_9.2025地理总复习_2025年新高考资料_一轮复习

2025届高中地理一轮复习讲义:第一部分自然地理第六单元地球上的水第24课时 海水的性质(教师版)_9.2025地理总复习_2025年新高考资料_一轮复习

  • 2026-04-09 19:27:13 2026-03-12 01:28:05

文档预览

2025届高中地理一轮复习讲义:第一部分自然地理第六单元地球上的水第24课时 海水的性质(教师版)_9.2025地理总复习_2025年新高考资料_一轮复习
2025届高中地理一轮复习讲义:第一部分自然地理第六单元地球上的水第24课时 海水的性质(教师版)_9.2025地理总复习_2025年新高考资料_一轮复习
2025届高中地理一轮复习讲义:第一部分自然地理第六单元地球上的水第24课时 海水的性质(教师版)_9.2025地理总复习_2025年新高考资料_一轮复习
2025届高中地理一轮复习讲义:第一部分自然地理第六单元地球上的水第24课时 海水的性质(教师版)_9.2025地理总复习_2025年新高考资料_一轮复习
2025届高中地理一轮复习讲义:第一部分自然地理第六单元地球上的水第24课时 海水的性质(教师版)_9.2025地理总复习_2025年新高考资料_一轮复习
2025届高中地理一轮复习讲义:第一部分自然地理第六单元地球上的水第24课时 海水的性质(教师版)_9.2025地理总复习_2025年新高考资料_一轮复习
2025届高中地理一轮复习讲义:第一部分自然地理第六单元地球上的水第24课时 海水的性质(教师版)_9.2025地理总复习_2025年新高考资料_一轮复习
2025届高中地理一轮复习讲义:第一部分自然地理第六单元地球上的水第24课时 海水的性质(教师版)_9.2025地理总复习_2025年新高考资料_一轮复习
2025届高中地理一轮复习讲义:第一部分自然地理第六单元地球上的水第24课时 海水的性质(教师版)_9.2025地理总复习_2025年新高考资料_一轮复习
2025届高中地理一轮复习讲义:第一部分自然地理第六单元地球上的水第24课时 海水的性质(教师版)_9.2025地理总复习_2025年新高考资料_一轮复习
2025届高中地理一轮复习讲义:第一部分自然地理第六单元地球上的水第24课时 海水的性质(教师版)_9.2025地理总复习_2025年新高考资料_一轮复习
2025届高中地理一轮复习讲义:第一部分自然地理第六单元地球上的水第24课时 海水的性质(教师版)_9.2025地理总复习_2025年新高考资料_一轮复习
2025届高中地理一轮复习讲义:第一部分自然地理第六单元地球上的水第24课时 海水的性质(教师版)_9.2025地理总复习_2025年新高考资料_一轮复习
2025届高中地理一轮复习讲义:第一部分自然地理第六单元地球上的水第24课时 海水的性质(教师版)_9.2025地理总复习_2025年新高考资料_一轮复习
2025届高中地理一轮复习讲义:第一部分自然地理第六单元地球上的水第24课时 海水的性质(教师版)_9.2025地理总复习_2025年新高考资料_一轮复习
2025届高中地理一轮复习讲义:第一部分自然地理第六单元地球上的水第24课时 海水的性质(教师版)_9.2025地理总复习_2025年新高考资料_一轮复习
2025届高中地理一轮复习讲义:第一部分自然地理第六单元地球上的水第24课时 海水的性质(教师版)_9.2025地理总复习_2025年新高考资料_一轮复习
2025届高中地理一轮复习讲义:第一部分自然地理第六单元地球上的水第24课时 海水的性质(教师版)_9.2025地理总复习_2025年新高考资料_一轮复习
2025届高中地理一轮复习讲义:第一部分自然地理第六单元地球上的水第24课时 海水的性质(教师版)_9.2025地理总复习_2025年新高考资料_一轮复习
2025届高中地理一轮复习讲义:第一部分自然地理第六单元地球上的水第24课时 海水的性质(教师版)_9.2025地理总复习_2025年新高考资料_一轮复习

文档信息

文档格式
doc
文档大小
2.334 MB
文档页数
20 页
上传时间
2026-03-12 01:28:05

文档内容

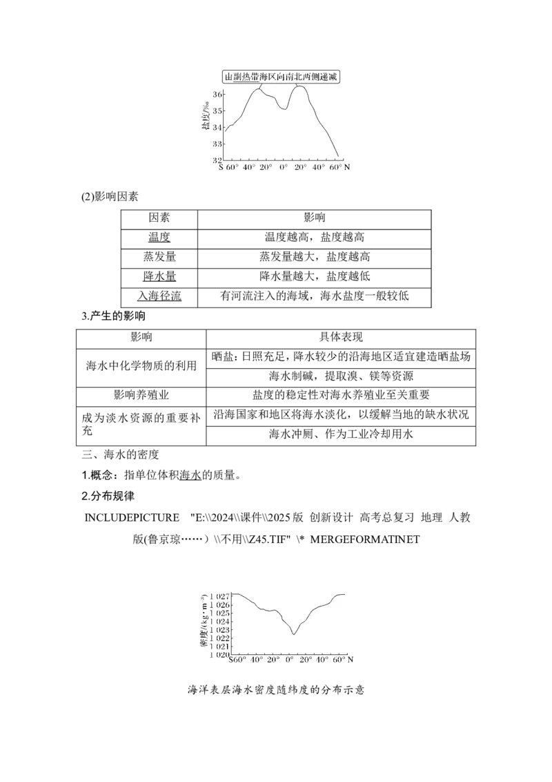
第 24 课时 海水的性质 课程标准:运用图表等资料,说明海水性质对人类活动的影响。 目标导航 知识导图 INCLUDEPICTURE "E:\\2024\\课件\ 1.结合图示材料,分析影响海水温度、盐 \2025版 创新设计 高考总复习 地理 度和密度的主要因素。 人教版(鲁京琼……)\\不用\\Z40.TIF" 2.运用图表等资料,归纳总结海水温度、 \* MERGEFORMATINET 盐度、密度的时空分布规律。 3.联系生产、生活实际,说明海水性质对 人类活动的影响。 INCLUDEPICTURE "E:\\2024\\课件\\2025版 创新设计 高考总复习 地理 人教 版(鲁京琼……)\\不用\\图表自主填绘.TIF" \* MERGEFORMATINET 一、海水的温度 1.热量来源:主要来自太阳辐射。 2.分布规律 (1)海洋表层水温分布规律,如下图8月份北半球海洋表层水温分布示意图。 INCLUDEPICTURE "E:\\2024\\课件\\2025版 创新设计 高考总复习 地理 人教 版(鲁京琼……)\\不用\\Z41.TIF" \* MERGEFORMATINET(2)垂直分布规律 区域 水温变化 原因 海水温度随深度变化幅度较 1 000米以内 受太阳辐射的影响大 大 太阳辐射无法进入,海水流动不 1 000米以下 海水温度变化幅度较小 强 3.产生的影响 (1)影响海洋生物:海洋表层是海洋生物的主要聚集地。 (2)影响海洋运输:冰封海域航行时需要装备破冰设施。 (3)影响气候特征:从全球尺度说,对大气温度起着调节作用;从区域尺度说,影响 气温的季节变化和日变化。 二、海水的盐度 1.概念:海水中盐类物质的质量分数。世界海洋的平均盐度约为 35 ‰ 。 2.分布规律 (1)海洋表层海水盐度随纬度变化规律。 INCLUDEPICTURE "E:\\2024\\课件\\2025版 创新设计 高考总复习 地理 人教 版(鲁京琼……)\\不用\\Z43.TIF" \* MERGEFORMATINET(2)影响因素 因素 影响 温度 温度越高,盐度越高 蒸发量 蒸发量越大,盐度越高 降水量 降水量越大,盐度越低 入海径流 有河流注入的海域,海水盐度一般较低 3.产生的影响 影响 具体表现 晒盐:日照充足,降水较少的沿海地区适宜建造晒盐场 海水中化学物质的利用 海水制碱,提取溴、镁等资源 影响养殖业 盐度的稳定性对海水养殖业至关重要 沿海国家和地区将海水淡化,以缓解当地的缺水状况 成为淡水资源的重要补 充 海水冲厕、作为工业冷却用水 三、海水的密度 1.概念:指单位体积海水的质量。 2.分布规律 INCLUDEPICTURE "E:\\2024\\课件\\2025版 创新设计 高考总复习 地理 人教 版(鲁京琼……)\\不用\\Z45.TIF" \* MERGEFORMATINET 海洋表层海水密度随纬度的分布示意随纬度的增高而增大 水平分布规律 原因:海水温度的增密效应大于盐度。纬度越高,水温越低, 密度越大 垂直分布规律 一般情况下,海水密度随深度的增加而增大 方法技巧 影响海水温度的因素 INCLUDEPICTURE "E:\\2024\\课件\\2025版 创新设计 高考总复习 地理 人教 版(鲁京琼……)\\不用\\Z42.TIF" \* MERGEFORMATINET 特别提醒 副热带 副热带一般指温带靠近热带的地区(位于南北回归线到南北纬40°附近),其夏季气 温与热带相似,但冬季气温明显比热带低。 方法技巧 1.影响海水盐度的因素 INCLUDEPICTURE "E:\\2024\\课件\\2025版 创新设计 高考总复习 地理 人教 版(鲁京琼……)\\不用\\Z44.TIF" \* MERGEFORMATINET(1)同一纬度海域,主要考虑各海域降水量与蒸发量的关系以及海区的形状。 (2)不同纬度海域,主要考虑海水运动的影响;其次近岸海域河流径流注入量的大 小;高纬度海域还要考虑结冰、融冰的情况。 2.海水温度、盐度、密度和深度的相互关系 (1)一般来说,盐度越大,密度则越大;压力越大,密度也越大。 (2)在冰点温度(35‰盐度的海水冰点温度为-1.91 ℃)以上,温度越高,海水密度越 小。 (3)随着深度增大,压力增大,故深层海水一般比浅层海水密度大。 (4)对于表层海水来说,海水密度主要受盐度和温度的影响。 (5)一般来说,在大河的入海口,海水的盐度较低,密度也较小,但密度也可能因为 河水裹挟泥沙而增大。 知识链接 海中断崖 海水如果出现上层密度大、下层密度小的状态,海水浮力由上至下急剧减小,就会 出现“海中断崖”。潜艇潜航时如果维持上层海水密度,一旦进入下层低密度水域 就会因为自身密度过大,迅速下沉。这种情形对潜艇来说是致命的危险,由于此类 险情的发生难以预计,也就没有什么标准对策,因此,绝大多数情况下都是艇毁人 亡的结局。 INCLUDEPICTURE "E:\\2024\\课件\\2025版 创新设计 高考总复习 地理 人教 版(鲁京琼……)\\不用\\重点互动突破.TIF" \* MERGEFORMATINET 重点 海水的性质 INCLUDEPICTURE "E:\\2024\\课件\\2025版 创新设计 高考总复习 地理 人教版(鲁京琼……)\\不用\\精讲点拨.TIF" \* MERGEFORMATINET 1.海洋表层水温高低的比较 INCLUDEPICTURE "E:\\2024\\课件\\2025版 创新设计 高考总复习 地理 人教 版(鲁京琼……)\\不用\\Z47.TIF" \* MERGEFORMATINET 2.海水盐度高低差异的分析 INCLUDEPICTURE "E:\\2024\\课件\\2025版 创新设计 高考总复习 地理 人教 版(鲁京琼……)\\不用\\Z48.TIF" \* MERGEFORMATINET3.图示法理解影响海水密度的因素 INCLUDEPICTURE "E:\\2024\\课件\\2025版 创新设计 高考总复习 地理 人教 版(鲁京琼……)\\不用\\Z49.TIF" \* MERGEFORMATINET 4.盐场选址的自然条件 (1)地形:地形平坦开阔,或位于山地的背风坡(雨天少),有利于盐田布局和海盐晒 制。 (2)海滩:泥质海滩,有利于提高盐产量。 (3)气候:晴天多,降水少,蒸发旺盛,平均风速大,有利于海盐晒制。 (4)海水盐度:附近无大河注入,海水盐度较高,有利于提高盐产量。 INCLUDEPICTURE "E:\\2024\\课件\\2025版 创新设计 高考总复习 地理 人教版(鲁京琼……)\\不用\\真题感悟.TIF" \* MERGEFORMATINET [典例] (2022·山东卷)亚得里亚海是地中海的一个海湾(下图),其洋流是地中海洋 流系统的一部分。洋流在海湾内的运动促进了海水更新。据此完成下题。 INCLUDEPICTURE "E:\\2024\\课件\\2025版 创新设计 高考总复习 地理 人教 版(鲁京琼……)\\不用\\22GD43.tif" \* MERGEFORMATINET 图示甲、乙、丙、丁四处表层海水盐度由高到低的顺序是( ) A.甲乙丁丙 B.甲丁乙丙 C.丙乙丁甲 D.丙丁乙甲 INCLUDEPICTURE "E:\\2024\\课件\\2025版 创新设计 高考总复习 地理 人教 版(鲁京琼……) \\不用\\关键能力提升 .TIF" \* MERGEFORMATINET INCLUDEPICTURE "E:\\2024\\课件\\2025版 创新设计 高考总复习 地理 人教 版(鲁京琼……)\\不用\\Z51.TIF" \* MERGEFORMATINET答案 D INCLUDEPICTURE "E:\\2024\\课件\\2025版 创新设计 高考总复习 地理 人教 版(鲁京琼……)\\不用\\变式训练.TIF" \* MERGEFORMATINET 吃水深度是指船舶沉入水下部分的垂直距离,通常船舶吃水深度与海水密度呈负 相关。下图示意8月大西洋表层海水温度、盐度、密度随纬度变化的曲线。据此完 成1~2题。 INCLUDEPICTURE "E:\\2024\\课件\\2025版 创新设计 高考总复习 地理 人教 版(鲁京琼……)\\不用\\Z58.TIF" \* MERGEFORMATINET 1.图中能正确表示大西洋表层海水密度随纬度变化的曲线是( ) A.① B.② C.③ D.④ 答案 C 解析 表层海水由赤道到两极温度逐渐变低,密度则逐渐变大,所以③是海水密 度曲线,①为海水温度曲线。盐度和降水量、蒸发量密切相关,副热带海区降水量 少,但是蒸发量大,成为盐度最高的海域,因此海水盐度变化是从副热带海域向赤 道和两极递减,所以②为海水盐度曲线。选C。2.若一艘考察船由60°S向60°N航行,据图推测该船吃水深度大致为( ) A.一直减小 B.一直增大 C.先减小,后增大 D.先增大,后减小 答案 D 解析 “船舶吃水深度与海水密度呈负相关”,由上题分析可知③为海水密度曲 线,据图可知由60°S到60°N,海水密度先变小,后变大,所以该船吃水深度大致 为先增大,后减小,选D。 图形专项突破 7 等盐度线图的判读 INCLUDEPICTURE "E:\\2024\\课件\\2025版 创新设计 高考总复习 地理 人教 版(鲁京琼……)\\不用\\读图流程.TIF" \* MERGEFORMATINET INCLUDEPICTURE "E:\\2024\\课件\\2025版 创新设计 高考总复习 地理 人教 版(鲁京琼……)\\不用\\Z54.TIF" \* MERGEFORMATINET 1.A、B:副热带海区,受副热带高气压带和信风带的控制,天气稳定而干燥,蒸发 量大于降水量,因而海洋表层盐度最高。 2.C:赤道地区,虽然气温较高,蒸发量较大,但由于受赤道低气压带控制,降水丰 沛,降水量大于蒸发量,盐度较低。 3.D、E:高纬度海区,气温低,海区蒸发量小,又有一定量的降水,加上融冰的影响,盐度低。 4.南北纬40°~60°附近海域盐度的比较:北纬40°~60°附近海域的盐度低,主要是 由于北纬40°~60°附近的地球表面陆地面积广阔,有较多的陆地淡水汇入海洋, 因而盐度较低。 5.赤道附近海区,盐度更低的海区位于赤道偏北,这是因为世界降水最多的地带不 在赤道上,而位于赤道偏北。 6.河流入海口盐度降低,因为河流水是淡水,会稀释高盐度的海水。河流径流量越 大,海水的盐度降低越多。 7.洋流寒暖性质不同,海水的盐度高低不同。暖流的盐度较高,寒流的盐度较低, 洋流经过地区的海水等盐度线会发生弯曲。寒暖流交汇处等盐度线密集,盐度变 化梯度大。 INCLUDEPICTURE "E:\\2024\\课件\\2025版 创新设计 高考总复习 地理 人教 版(鲁京琼……)\\不用\\真题感悟.TIF" \* MERGEFORMATINET [典例] (2023·1月浙江卷)读8月世界局部海洋表层盐度分布图,完成(1)~(2)题。 INCLUDEPICTURE "E:\\2024\\课件\\2025版 创新设计 高考总复习 地理 人教 版(鲁京琼……)\\不用\\Z55.TIF" \* MERGEFORMATINET (1)P、Q附近洋流对流经地区的影响是( ) A.P沿岸降水增多 B.Q附近海水温度降低 C.Q沿岸降水减少 D.P附近海水温度降低 (2)导致P、Q海域等盐度线向高值方向凸出的主要因素分别是( ) A.洋流、洋流 B.纬度、洋流 C.径流、纬度 D.洋流、径流INCLUDEPICTURE "E:\\2024\\课件\\2025版 创新设计 高考总复习 地理 人教 版(鲁京琼……) \\不用\\析图能力培养 .TIF" \* MERGEFORMATINET INCLUDEPICTURE "E:\\2024\\课件\\2025版 创新设计 高考总复习 地理 人教 版(鲁京琼……)\\不用\\Z56.TIF" \* MERGEFORMATINET 答案 (1)D (2)D INCLUDEPICTURE "E:\\2024\\课件\\2025版 创新设计 高考总复习 地理 人教 版(鲁京琼……)\\不用\\读图应用.TIF" \* MERGEFORMATINET 读图,完成1~3题。 INCLUDEPICTURE "E:\\2024\\课件\\2025版 创新设计 高考总复习 地理 人教 版(鲁京琼……)\\不用\\Z57.TIF" \* MERGEFORMATINET 1.P岛附近海域盐度大约为( )A.30.5‰ B.31.5‰ C.32.5‰ D.33.5‰ 答案 B 解析 读图可知,P岛位于等盐度线31‰~32‰之间,故选B。 2.图中影响等盐度线向外海凸出的主要因素是( ) A.降水 B.暖流 C.寒流 D.径流 答案 D 解析 读图可知,图中等盐度线的分布规律是以长江口为中心,盐度向外海呈半 环状递增,说明长江口的盐度是最小的(低于28‰),主要是径流稀释了海水的缘 故,与降水和沿岸的洋流无关。故选D。 3.在等盐度线的年内变动中,Q点距大陆最近的时段是( ) A.2月 B.5月 C.7月 D.10月 答案 A 解析 图中等盐度线随长江入海径流量的变化而变化。当长江进入枯水期时,入 海径流量减少,河流对海水的稀释作用减弱,入海口附近盐度变大,等盐度线应向 陆地靠近,所以2月份长江径流量最小,此时Q点距大陆最近。故选A。 INCLUDEPICTURE "E:\\2024\\课件\\2025版 创新设计 高考总复习 地理 人教 版(鲁京琼……)\\不用\\课堂巩固精练.TIF" \* MERGEFORMATINET 下图表示不同海域的位置。据此完成1~2题。 INCLUDEPICTURE "E:\\2024\\课件\\2025版 创新设计 高考总复习 地理 人教 版(鲁京琼……)\\不用\\Z60.TIF" \* MERGEFORMATINET1.图中海区表层海水盐度由高到低排序正确的是( ) A.①③②④ B.④③②① C.③①④② D.③④①② 答案 C 解析 根据图中海域轮廓以及纬度信息可知,①为波斯湾,②为波罗的海,③为红 海,④为黑海。根据所学地理知识可知,红海盐度最高,波罗的海盐度最低,排除 A、B;波斯湾所处纬度更低,区域气候较干旱,太阳辐射更强,海水盐度较高;黑海 所处纬度较高,且周边有多条河流注入,盐度相对较低,所以四个海区表层海水盐 度由高到低的排序为③①④②,故选C。 2.关于图中四个海域海水性质的叙述,正确的是( ) A.①海域表层水温低于④海域 B.海域较封闭是②海域表层水温低的主要原因 C.从③海域出外海的货轮吃水深度会加深 D.④海域南部海水比北部海水盐度低 答案 C 解析 ①海域纬度较④海域低,表层水温高于④海域,A错;纬度较高是②海域表 层水温低的主要原因,B错;③海域表层海水盐度最高,轮船的吃水深度浅,从③ 海域出外海的轮船吃水深度会加深,C正确;④海域北部有多条河流注入,海水盐 度比南部更低,D错。 下图为海水温度和盐度与海水密度关系示意图。读图,完成3~4题。 INCLUDEPICTURE "E:\\2024\\课件\\2025版 创新设计 高考总复习 地理 人教 版(鲁京琼……)\\不用\\W1.TIF" \* MERGEFORMATINET 3.海水的密度( ) A.与海水温度呈正相关,与盐度呈负相关B.与海水温度呈正相关,与盐度呈正相关 C.与海水温度呈负相关,与盐度呈正相关 D.与海水温度呈负相关,与盐度呈负相关 答案 C 解析 注意海水密度曲线的变化趋势,密度越大,温度越低,盐度越大,即密度与 温度呈负相关,与盐度呈正相关。 4.推断下列四海区表层海水密度最小的是( ) A.南极海域 B.红海 C.赤道海区 D.副热带海区 答案 C 解析 选项四个海域中,赤道海区海水温度最高,盐度较低,因此海水密度相对最 小。 5.(2023·海南卷)阅读图文材料,完成下列要求。(15分) 在极地地区的某些海区,盐度是影响海水密度变化的主要因素。受某些因素的影 响,表层海水的盐度会发生较为明显的变化,图 1为极地地区某海区由于表层海 水盐度升高形成的环流示意图。图2为中低纬地区的某海区受盛行风影响而形成 的上升补偿流示意图。 INCLUDEPICTURE "E:\\2024\\课件\\2025版 创新设计 高考总复习 地理 人教 版(鲁京琼……)\\不用\\23KTD84.TIF" \* MERGEFORMATINET (1)说明图1所示环流的形成原因。(7分) (2)分析图2中盛行风减弱对该海区生物资源的影响。(8分) 答案 (1)海水因盐度上升导致密度增大;高密度海水下沉;周围海水流到高密度 海区。(2)盛行风减弱,导致表层海水的水平运动减弱,沿岸海区上升的海水减弱;底层海 水向表层输送的营养盐分减少;表层浮游生物数量减少,饵料减少;海区生物资源 减少。 解析 第(1)题,结合图1可知,极地地区气温低,海洋为其提供热量,该海区形成 上升暖流,受上升暖流影响,表层海水蒸发导致盐度升高,盐度升高使海水密度增 大,在重力作用下表层海水下沉,下沉的海水在上升暖流作用下再次上升,形成环 流。第(2)题,盛行风减弱导致表层海水远离海岸的能力减弱,使得下层海水上升运 动减弱;海水上升运动减弱,上升流挟带的营养盐类物质减少,进而导致该海区生 物资源数量减少。 课时作业 (2024·济南调研)据地理工作者考察,在黄海中部海面以下20~30米处,存在一个 明显的温跃层(垂直方向温度出现突变的水层),抑制了海水的上下对流,在海底洼 地的下层海水表现为相对低温,称为黄海冷水团。据此完成1~2题。 INCLUDEPICTURE "E:\\2024\\课件\\2025版 创新设计 高考总复习 地理 人教 版(鲁京琼……)\\不用\\J855.TIF" \* MERGEFORMATINET 1.黄海温跃层表现最明显的季节是( ) A.春季 B.夏季 C.秋季 D.冬季 答案 B 解析 温跃层为垂直方向温度出现突变的水层。由图可知,上下层海水温度差异最大是在夏季。根据所学知识,海水热量主要来自太阳辐射,表层夏季温度最高, 下层温度变化不大。 2.影响黄海海域表层水温的主要因素是( ) A.太阳高度 B.洋流 C.盐度 D.海陆位置 答案 A 解析 夏季上层水温明显高于其他季节,因为夏季黄海海域太阳高度大,太阳辐 射较强,海水表层接收的太阳辐射多,水温高。 海水温度的季节变化影响带鱼在我国边缘海域季节性游动,北方带鱼在黄海和渤 海之间作越冬游与繁殖游;南方带鱼沿东海西部边缘作越冬游与繁殖游。带鱼在 南、北游动的过程中形成鱼汛。下图为“我国近海2月与8月表层海水温度分布 图”(单位: ℃)。据此完成3~4题。 INCLUDEPICTURE "E:\\2024\\课件\\2025版 创新设计 高考总复习 地理 人教 版(鲁京琼……)\\不用\\Z59.TIF" \* MERGEFORMATINET 3.我国近海表层海水温度( ) A.最低值出现在黄海 B.夏季长江口比周边略低 C.冬季南北差异较大 D.季节变化从南向北减小 答案 C 解析 读图可知,我国近海表层海水温度最低值出现在渤海,A错;根据8月海水 温度分布图可知,夏季长江口表层海水温度比周边略高(长江口处表层海水温度介 于27~28 ℃之间),B错;冬季,我国近海表层海水温度南北差异大,C正确;对比2月和8月我国近海表层海水温度分布图可知,海水表层温度季节变化北方地区 更大,南方地区较小,D错。 4.能够在我国边缘海域形成带鱼鱼汛的有( ) ①北方带鱼春季向北游 ②北方带鱼秋季向北游 ③南方带鱼春季向南游 ④南方带鱼冬季向南游 A.①③ B.①④ C.②③ D.②④ 答案 B 解析 春季,随着渤海表层温度逐渐升高,北方带鱼向北作繁殖游(加之渤海海水 温度逐渐升高,浮游生物量增大,渤海海域食物更为充足);秋季,渤海表层海水温 度渐低,北方带鱼向黄海海域作越冬游,所以北方带鱼春季向北游,秋季向南游, ①正确,②错;同理,春季南方带鱼向北作繁殖游,冬季南方带鱼向南作越冬游,③ 错,④正确。选B。 (2024·南昌高三联考)海水密度是指单位体积的海水质量。下图为海洋表层温度、 盐度、密度随纬度变化示意图。据此完成5~6题。 INCLUDEPICTURE "E:\\2024\\课件\\2025版 创新设计 高考总复习 地理 人教 版(鲁京琼……)\\不用\\J857.TIF" \* MERGEFORMATINET 5.图中表示海洋表层温度、盐度、密度的曲线依次是( ) A.①②③ B.①③② C.③②① D.②①③答案 A 解析 海水温度大体上自赤道向两极海域递减,①曲线符合;盐度自南北半球的 副热带海区分别向两侧的高低纬度递减,呈现双峰值,②曲线符合;海水密度大致 上自赤道向两极海域递增,③曲线符合。 6.影响南北纬60°附近海区盐度差异较大的主要因素是( ) A.降水量与蒸发量 B.陆地淡水注入 C.海区封闭程度 D.洋流 答案 B 解析 海水盐度的高低与径流汇入有关,淡水可以稀释海水,使盐度变低。60°N 附近有亚欧大陆、北美大陆,众多河流汇入海洋。60°S附近海洋面积占绝对优势, 缺少淡水的注入,所以海洋表层平均盐度高。 7.(2024·安徽合肥检测)阅读图文材料,完成下列要求。(10分) 海水盐度的高低主要取决于蒸发量和降水量之差。在外海或大洋,海水盐度主要 受降水、蒸发等因素影响;在近岸地区,海水盐度受入海径流影响大。下图示意冬 季北印度洋表层海水盐度分布。 INCLUDEPICTURE "E:\\2024\\课件\\2025版 创新设计 高考总复习 地理 人教 版(鲁京琼……)\\不用\\J858.TIF" \* MERGEFORMATINET (1)描述图示海域表层海水盐度的空间分布特征。(6分) (2)说明阿拉伯海与孟加拉湾表层海水盐度差异的成因。(4分) 答案 (1)表层海水盐度东低西高(孟加拉湾表层海水盐度低于阿拉伯海);东部海 域表层海水盐度由北向南升高;西部海域表层海水盐度由北向南降低。 (2)阿拉伯海周边地区河流稀少,海水蒸发量大,盐度高;孟加拉湾周边地区有河流入海,陆地淡水汇入量大,对海水的稀释作用强。