当前位置:首页>文档>2025届高中地理一轮复习讲义:第二部分人文地理第十四单元环境与发展第58课时 人类面临的主要环境问题(教师版)_9.2025地理总复习_2025年新高考资料_一轮复习

2025届高中地理一轮复习讲义:第二部分人文地理第十四单元环境与发展第58课时 人类面临的主要环境问题(教师版)_9.2025地理总复习_2025年新高考资料_一轮复习

  • 2026-04-06 04:26:08 2026-03-12 02:09:31

文档预览

2025届高中地理一轮复习讲义:第二部分人文地理第十四单元环境与发展第58课时 人类面临的主要环境问题(教师版)_9.2025地理总复习_2025年新高考资料_一轮复习
2025届高中地理一轮复习讲义:第二部分人文地理第十四单元环境与发展第58课时 人类面临的主要环境问题(教师版)_9.2025地理总复习_2025年新高考资料_一轮复习
2025届高中地理一轮复习讲义:第二部分人文地理第十四单元环境与发展第58课时 人类面临的主要环境问题(教师版)_9.2025地理总复习_2025年新高考资料_一轮复习
2025届高中地理一轮复习讲义:第二部分人文地理第十四单元环境与发展第58课时 人类面临的主要环境问题(教师版)_9.2025地理总复习_2025年新高考资料_一轮复习
2025届高中地理一轮复习讲义:第二部分人文地理第十四单元环境与发展第58课时 人类面临的主要环境问题(教师版)_9.2025地理总复习_2025年新高考资料_一轮复习
2025届高中地理一轮复习讲义:第二部分人文地理第十四单元环境与发展第58课时 人类面临的主要环境问题(教师版)_9.2025地理总复习_2025年新高考资料_一轮复习
2025届高中地理一轮复习讲义:第二部分人文地理第十四单元环境与发展第58课时 人类面临的主要环境问题(教师版)_9.2025地理总复习_2025年新高考资料_一轮复习
2025届高中地理一轮复习讲义:第二部分人文地理第十四单元环境与发展第58课时 人类面临的主要环境问题(教师版)_9.2025地理总复习_2025年新高考资料_一轮复习
2025届高中地理一轮复习讲义:第二部分人文地理第十四单元环境与发展第58课时 人类面临的主要环境问题(教师版)_9.2025地理总复习_2025年新高考资料_一轮复习
2025届高中地理一轮复习讲义:第二部分人文地理第十四单元环境与发展第58课时 人类面临的主要环境问题(教师版)_9.2025地理总复习_2025年新高考资料_一轮复习
2025届高中地理一轮复习讲义:第二部分人文地理第十四单元环境与发展第58课时 人类面临的主要环境问题(教师版)_9.2025地理总复习_2025年新高考资料_一轮复习
2025届高中地理一轮复习讲义:第二部分人文地理第十四单元环境与发展第58课时 人类面临的主要环境问题(教师版)_9.2025地理总复习_2025年新高考资料_一轮复习

文档信息

文档格式
doc
文档大小
1.094 MB
文档页数
12 页
上传时间
2026-03-12 02:09:31

文档内容

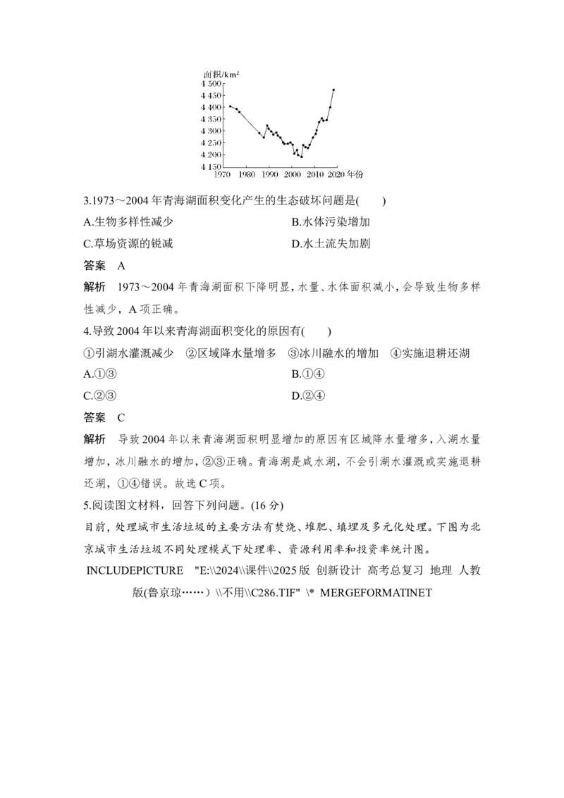
大单元十四 环境与发展 第 58 课时 人类面临的主要环境问题 课程标准:运用资料,归纳人类面临的主要环境问题。 目标导航 知识导图 1.运用人类与环境的相关模式图,并结 INCLUDEPICTURE "E:\\2024\\课件\ 合实例,解释环境问题及环境问题产生 \2025版 创新设计 高考总复习 地理 的原因。 人教版(鲁京琼……)\\不用\\L90.TIF" \* MERGEFORMATINET 2.利用图表,认识并归纳人类面临的主 要环境问题及其表现。 3.根据相关资料,举例说明环境问题的 地域差异和全球化趋势,认识协调人地 关系的重要性。 INCLUDEPICTURE "E:\\2024\\课件\\2025版 创新设计 高考总复习 地理 人教 版(鲁京琼……)\\不用\\图表自主填绘.TIF" \* MERGEFORMATINET 一、环境问题及其产生的原因 1.人类与环境的关系 (1)人类通过生产活动从自然界获取所需的资源,并把资源转化成消费品。 (2)人类生产活动和消费活动产生的废弃物,又被排放到环境中。 2.环境问题产生的原因 INCLUDEPICTURE "E:\\2024\\课件\\2025版 创新设计 高考总复习 地理 人教 版(鲁京琼……)\\不用\\L91.tif" \* MERGEFORMATINET二、环境问题的表现 1.主要环境问题及其表现 主要环境问题 表现 自然资源枯竭 森林减少、水资源危机、矿产资源短缺等 生态破坏 水土流失、土地荒漠化、生物多样性减少等 环境污染 大气污染、水体污染、土壤污染、固体废弃物等 2.环境问题的地域差异 特点 地区 环境问题 城市 主要表现为环境污染 乡村 主要表现为生态破坏 空间分布差异 发达国家 主要体现在过度消耗资源带来的环境影响 发展中国家 主要表现在掠夺式开发带来的生态破坏 全球性环境问 酸雨、臭氧层破坏、全球变暖等;土地荒漠化、生物多样性锐减、 题 水体污染等环境问题也有从局部向全球蔓延的趋势 指点迷津 1.如何区分环境污染和生态破坏 两者都属于次生环境问题。环境污染指人类任意排放废弃物和有害物质,导致环 境质量下降。生态破坏是由于人类对环境的破坏,导致环境退化,从而影响人类的 生产和生活。 2.环境自净能力 自然环境对人类排放的废弃物,具有一定的容纳、分解和清除等作用,称为环境自 净能力。 知识链接 发展中国家环境问题比发达国家更加突出的原因 (1)发展中国家和地区的环境承受着人口增长和经济社会发展的双重压力。 (2)发展中国家和地区经济、技术力量薄弱,没有足够能力解决环境问题。(3)发达国家将污染严重的工业转移到发展中国家,即转嫁污染。 思维拓展 环境问题与自然灾害的联系与区别 环境问题和自然灾害都影响人类的生产和生活,甚至危及人类的生存,但自然灾 害主要是由自然原因引起的,而自然原因和人为原因都会引发环境问题。当前人 为原因引发的环境问题尤为严重,自然灾害只是环境问题的一个方面。 INCLUDEPICTURE "E:\\2024\\课件\\2025版 创新设计 高考总复习 地理 人教 版(鲁京琼……)\\不用\\重点互动突破.TIF" \* MERGEFORMATINET 重点 环境问题的表现 INCLUDEPICTURE "E:\\2024\\课件\\2025版 创新设计 高考总复习 地理 人教 版(鲁京琼……)\\不用\\精讲点拨.TIF" \* MERGEFORMATINET 1.环境污染 表现 原因 危害 治理措施 工业废气和交通尾气等任意排 大气污染 放到大气中 工业废水和农业生产使用的农 大量废弃物进 根本措施在于减 水体污染 药、化肥等废弃物任意排放到江 入环境之中, 少污染物的排放 河湖海中 改变了当地的 (可通过提高利用 自然环境组成 工业三废和农业生产使用的化 率、净化处理后 土壤污染 成分,其中有 肥、农药等任意排放到土壤中 排放、使用环保 些废弃物在环 原料和燃料等达 固体废弃 城市建设、生活垃圾堆积在城市 境中几乎不能 到目的),同时加 物污染 或郊区 降解,造成较 强绿化,以增强 严重的环境污 噪声污染 交通、工厂、建筑业等产生噪声 环境自净能力; 染,直接威胁 对于全球性环境 放射性污 放射性物质泄漏、核废料处理不 人类健康,影 问题还需要加强 染 当 响人类生活质 国际合作 量 海岸带工业发展、海上航运泄 海洋污染 漏、海上石油开采等产生的污染 物排入海洋 2.生态破坏 表现 原因 危害 治理措施 森林环境调节 人类对自然资 根本在于恢复 毁林开荒 功能下降 源的不合理利 生态,首先要改 用、环境污染等 变和停止不合 水土流失、土地 砍伐森林、开垦草原荒漠化 土壤盐碱化 不合理的灌溉方式 都会直接和间 理的人类活动, 生物多样性减 生存环境的恶化;人类 接导致生态退 其次通过恢复 少 的过度捕猎 化问题,进而影 植被、水域等增 响人类社会经 强环境的平衡 3.资源短缺 表现 原因 治理措施 水污染、工农业生产用水量大、 水资源短缺 降水少 要从“开源”(替代资源的开 发、加强储量勘探等)和“节 土地资源短缺 城市建设用地增加等 流”(提高利用率,减少浪费、资 利用效率低、浪费严重,资源分 源循环利用等)两方面入手 能源短缺 布不均 INCLUDEPICTURE "E:\\2024\\课件\\2025版 创新设计 高考总复习 地理 人教 版(鲁京琼……)\\不用\\真题感悟.TIF" \* MERGEFORMATINET [典例] (2020·1月浙江卷)阅读材料,回答问题。 材料一 图1为世界某区域略图,图2是图1中丙地的气候资料。 INCLUDEPICTURE "E:\\2024\\课件\\2025版 创新设计 高考总复习 地理 人教 版(鲁京琼……)\\不用\\C281.TIF" \* MERGEFORMATINET 材料二 甲地有全世界最大的露天铜矿,该矿易采易选,冶炼铜需要大量的水。甲 地经百年开采,形成了长4 300 米、宽3 000米、深700米的巨型深坑,横亘在沙漠中,如同地球上一块巨型伤疤。现甲地所在国重视环境保护监管,建立了有效的环 境影响评价体系。 简析甲地铜矿开采和冶炼引发的主要环境问题。(6分) INCLUDEPICTURE "E:\\2024\\课件\\2025版 创新设计 高考总复习 地理 人教 版(鲁京琼……) \\不用\\关键能力提升 .TIF" \* MERGEFORMATINET INCLUDEPICTURE "E:\\2024\\课件\\2025版 创新设计 高考总复习 地理 人教 版(鲁京琼……)\\不用\\C282A.TIF" \* MERGEFORMATINET 答案 用水量大,加剧了干旱区水资源短缺;排放废水,造成水环境污染;排放废 气,严重污染空气;矿渣不合理处理,破坏地表生态环境。 INCLUDEPICTURE "E:\\2024\\课件\\2025版 创新设计 高考总复习 地理 人教 版(鲁京琼……)\\不用\\变式训练.TIF" \* MERGEFORMATINET (2024·山东潍坊一模)水华是淡水中藻类大量繁殖的水体富营养化现象,当水体含 有大量的营养物质(氮、磷等)和合适的水温时,藻类就会大量繁殖,使水体呈现蓝 色或绿色。巢湖位于长江中下游,是我国五大淡水湖之一。该湖入湖水系众多,水 体环境相对封闭,水体更新周期长,水华多发。下图示意巢湖分区及入湖河流。据 此完成1~2题。 INCLUDEPICTURE "E:\\2024\\课件\\2025版 创新设计 高考总复习 地理 人教版(鲁京琼……)\\不用\\C283.TIF" \* MERGEFORMATINET 1.推测巢湖水华最严重区域位于( ) A.中巢湖北部 B.中巢湖东南部 C.东巢湖东部 D.西巢湖西北部 答案 D 解析 西巢湖西北方向河流注入的多,从陆地上带来的氮、磷等营养物质多,加之 西北的河流上游有大城市合肥,排放的含氮、磷等营养物质的生产生活污水多,故 西巢湖的西北区域水华严重,D正确;从中巢湖、东巢湖注入的河流少,盐分注入 少,水华较西巢湖轻,A、B、C错误。故答案选D。 2.相比9月,7、8月巢湖水华较轻,原因可能是7、8月( ) ①治理力度加大 ②高温抑制藻类生长 ③降水稀释营养物质 ④排放到巢湖的 污水少 A.①② B.②③ C.③④ D.①④ 答案 B 解析 相比9月,7、8月巢湖水华较轻,原因是7月、8月水温高,对藻类的生长具 有抑制作用,同时7月、8月较9月降水多,稀释作用强,氮、磷的含量较少,②③正 确;治理力度、排放的污水没有月份差异,①④错误。故答案选B。 INCLUDEPICTURE "E:\\2024\\课件\\2025版 创新设计 高考总复习 地理 人教 版(鲁京琼……)\\不用\\课堂巩固精练.TIF" \* MERGEFORMATINET读下面两流域图,完成1~2题。 INCLUDEPICTURE "E:\\2024\\课件\\2025版 创新设计 高考总复习 地理 人教 版(鲁京琼……)\\不用\\C284.TIF" \* MERGEFORMATINET 1.据图推断,M、N两流域共同的环境问题是( ) A.水土流失 B.土地沙化 C.大气污染 D.酸雨危害 答案 B 解析 读图可知,M流域位于我国西北内陆的塔里木盆地,N流域位于内蒙古的 东北部地区。M、N两流域气候干旱,降水少,人类过度开垦、过度放牧等经济活动 以及水资源使用不合理,产生了共同的环境问题——土地沙化。 2.M、N两流域环境问题的成因分别是( ) A.工业排污、生活废水排放 B.围湖造田、毁林开荒 C.乱砍滥伐、湿地破坏 D.过度开垦、矿产开发 答案 D 解析 M流域环境问题的成因是过度开垦,具体表现为土地资源和水资源的不合 理使用;N流域环境问题源于煤炭资源的大量开发。 (2024·浙江嘉兴测试)青海湖位于我国青藏高原东北部、青海省境内,是我国最大 的内陆湖。下图为1973~2018年青海湖面积变化图。完成3~4题。 INCLUDEPICTURE "E:\\2024\\课件\\2025版 创新设计 高考总复习 地理 人教 版(鲁京琼……)\\不用\\C285.TIF" \* MERGEFORMATINET3.1973~2004年青海湖面积变化产生的生态破坏问题是( ) A.生物多样性减少 B.水体污染增加 C.草场资源的锐减 D.水土流失加剧 答案 A 解析 1973~2004年青海湖面积下降明显,水量、水体面积减小,会导致生物多样 性减少,A项正确。 4.导致2004年以来青海湖面积变化的原因有( ) ①引湖水灌溉减少 ②区域降水量增多 ③冰川融水的增加 ④实施退耕还湖 A.①③ B.①④ C.②③ D.②④ 答案 C 解析 导致2004年以来青海湖面积明显增加的原因有区域降水量增多,入湖水量 增加,冰川融水的增加,②③正确。青海湖是咸水湖,不会引湖水灌溉或实施退耕 还湖,①④错误。故选C项。 5.阅读图文材料,回答下列问题。(16分) 目前,处理城市生活垃圾的主要方法有焚烧、堆肥、填埋及多元化处理。下图为北 京城市生活垃圾不同处理模式下处理率、资源利用率和投资率统计图。 INCLUDEPICTURE "E:\\2024\\课件\\2025版 创新设计 高考总复习 地理 人教 版(鲁京琼……)\\不用\\C286.TIF" \* MERGEFORMATINET(1)单一垃圾处理方法中,处理率最高的是________。该方法与其他处理方式相比 的特点是________。(4分) (2)防治处理城市垃圾污染的原则是什么?(4分) (3)简述垃圾焚烧发电厂建设的环境意义。(4分) (4)针对城市生活垃圾这一环境问题,中学生适合的参与方式主要有哪些?(4分) 答案 (1)填埋 投资少或投资率低 (2)减量化、无害化、资源化。 (3)减少垃圾数量,少占用土地或水域;减轻环境污染,改善环境质量等。 (4)关注生活垃圾污染问题,积极参与宣传;减少生活垃圾排放;垃圾分类处理和回 收再利用等。 解析 第(1)题,读柱状图可知,填埋方法处理率是100%,高于其他两种单一垃圾 处理方法,故单一垃圾处理方法中,处理率最高的是填埋。该方法与其他处理方式 相比的特点是投资少或者投资率低。第(2)题,防治处理城市垃圾污染应遵循污染 防治基本原则,即处理城市垃圾需遵循减量化、无害化和资源化原则。第(3)题,可 以联系城市垃圾处理的三大原则,并结合焚烧处理方式的实际情况,得出焚烧处 理方式的减量(减少垃圾数量,少占用土地或水域)和无害(减轻环境污染,改善环 境质量)两方面的环境意义。第(4)题,针对城市生活垃圾这一环境问题,中学生适 合的参与方式是关注生活垃圾污染问题,积极参与宣传;减少生活垃圾排放;垃圾 分类处理和回收再利用等。 课时作业 (2024·四川遂宁模拟)火烧是生态系统中重要的干扰因子之一,对生态系统中的动 植物、土壤、水文及微生物产生一定影响。下图示意敦煌西湖荒漠湿地芦苇植物群落火烧后第一年干扰样地和未干扰样地植物群落特征变化。研究发现,火烧干扰 后芦苇植物群落的植物萌芽时间提前,枯黄时间推后。据此完成1~3题。 INCLUDEPICTURE "E:\\2024\\课件\\2025版 创新设计 高考总复习 地理 人教 版(鲁京琼……)\\不用\\C287.TIF" \* MERGEFORMATINET 1.火烧干扰区域发生时( ) A.表土含水量降低 B.地下水位上升 C.太阳辐射增强 D.地表温度下降 答案 A 解析 火烧干扰地区,灼烧蒸发了较多的土壤表层水,使表土含水量降低,A正确。 2.火烧第一年后,芦苇植物群落( ) A.盖度增加 B.高度降低 C.密度增大 D.生长期缩短 答案 C 解析 由图可知,火烧第一年后,草本植物的盖度和高度在减少,密度在增大;灌 木的盖度、高度、密度都在增大,C正确。 3.火烧干扰区域入侵植物的生长习性是( ) A.喜湿耐寒 B.喜阴忌晒 C.喜光耐旱 D.喜凉忌涝 答案 C 解析 火烧干扰区域表土含水量降低,地表温度上升。由图中信息可知:第一年草 本植物的密度大幅增大,盖度和高度减少,入侵植物多为草本植物,属于喜光耐旱型,C正确。 (2024·皖江名校联考)福建省龙岩市长汀县河田镇原名留镇,历史上种满柳树,又 称为“柳村”。柳村曾一度形成“柳村无柳、河比田高”的局面,故改名“河田”。 如图为河田镇等高线地形图。读图,完成4~5题。 INCLUDEPICTURE "E:\\2024\\课件\\2025版 创新设计 高考总复习 地理 人教 版(鲁京琼……)\\不用\\C288.TIF" \* MERGEFORMATINET 4.柳村一度形成“柳村无柳、河比田高”局面的根本原因是( ) A.人口增长过快 B.土地荒漠化 C.水土流失 D.不合理放牧 答案 A 解析 “柳村无柳”说明森林被砍伐。农业社会,人口增加,要砍伐森林来增加耕 地用来种植粮食作物;该地位于季风区,夏季暴雨集中,由等高线可判断地势起伏 较大,森林破坏会加剧水土流失,导致河流泥沙淤积,河床抬高,出现“河比田 高”现象,据此可判断人口增长过快是主因,故A正确。 5.为解决河田镇的生态问题,当地政府可以 ( ) A.将人口搬迁到河流沿岸 B.禁止在东部地区进行耕作 C.因地制宜发展生态农业 D.推广使用喷灌、滴灌技术 答案 C 解析 由等高线可判断,该地多低山丘陵地形,当前主要生态问题是水土流失严 重;发展生态农业、立体农业可缓解水土流失,故C正确。图示河流沿岸地区地势 起伏较大,并不适合大量人口居住和耕作,则A错误;东部地区等高线较稀疏,地 势平坦,适合发展种植业,则B错误;喷灌和滴灌多用于气候干旱地区,来缓解水 资源紧张,而该地气候湿润,主要生态问题是水土流失,则D错误。6.(全国Ⅱ卷)阅读图文材料,完成下列要求。(24分) 下图示意河套平原地区,当地将黄河水通过引水渠引入区内灌溉农田,农田灌溉 退水经过排水渠汇入乌梁素海。近年来,乌梁素海出现污染加重趋势。 INCLUDEPICTURE "E:\\2024\\课件\\2025版 创新设计 高考总复习 地理 人教 版(鲁京琼……)\\不用\\c289.TIF" \* MERGEFORMATINET (1)判断河套平原的地势特点,并简述理由。(6分) (2)指出长期维持河套灌渠功能必须解决的问题,并简述原因。(6分) (3)分析近年来乌梁素海污染严重的原因。(6分) (4)提出治理乌梁素海污染的措施。(6分) 答案 (1)特点:西高东低,南高北低(或西南高,东北低)。理由:引水口在西南部, 出水口在东北部;或灌渠多呈西南—东北走向。 (2)问题:泥沙淤积。原因:黄河含沙量大,引水入灌渠后流速变缓,泥沙易沉积。 (3)河套灌区的农田退水绝大部分排入该湖,化肥、农药的使用使得湖水污染加剧; 当地工业与城乡生活废水也都排入该湖。所在区域气候干旱,降水少,湖水以水渠 进入和排出,吞吐量较小,流动性差,污染物在湖中积累,污染逐渐严重。 (4)①减少化肥、农药的使用,改变种植结构,采取绿色生产;②严格执行工业和生 活废水的排放标准,控制入湖废水排放量;③及时清淤,采用生物措施净化;④执 行环保法,加大违法排污处罚力度;⑤加大环保宣传,增强人们的环保意识等。