当前位置:首页>文档>专题07数列(测)(解析版)_2.2025数学总复习_赠品通用版(老高考)复习资料_一轮复习_2023年高考数学一轮复习讲练测(全国通用)_专题07数列

专题07数列(测)(解析版)_2.2025数学总复习_赠品通用版(老高考)复习资料_一轮复习_2023年高考数学一轮复习讲练测(全国通用)_专题07数列

  • 2026-04-15 22:40:01 2026-03-12 05:56:42

文档预览

专题07数列(测)(解析版)_2.2025数学总复习_赠品通用版(老高考)复习资料_一轮复习_2023年高考数学一轮复习讲练测(全国通用)_专题07数列
专题07数列(测)(解析版)_2.2025数学总复习_赠品通用版(老高考)复习资料_一轮复习_2023年高考数学一轮复习讲练测(全国通用)_专题07数列
专题07数列(测)(解析版)_2.2025数学总复习_赠品通用版(老高考)复习资料_一轮复习_2023年高考数学一轮复习讲练测(全国通用)_专题07数列
专题07数列(测)(解析版)_2.2025数学总复习_赠品通用版(老高考)复习资料_一轮复习_2023年高考数学一轮复习讲练测(全国通用)_专题07数列
专题07数列(测)(解析版)_2.2025数学总复习_赠品通用版(老高考)复习资料_一轮复习_2023年高考数学一轮复习讲练测(全国通用)_专题07数列
专题07数列(测)(解析版)_2.2025数学总复习_赠品通用版(老高考)复习资料_一轮复习_2023年高考数学一轮复习讲练测(全国通用)_专题07数列
专题07数列(测)(解析版)_2.2025数学总复习_赠品通用版(老高考)复习资料_一轮复习_2023年高考数学一轮复习讲练测(全国通用)_专题07数列
专题07数列(测)(解析版)_2.2025数学总复习_赠品通用版(老高考)复习资料_一轮复习_2023年高考数学一轮复习讲练测(全国通用)_专题07数列
专题07数列(测)(解析版)_2.2025数学总复习_赠品通用版(老高考)复习资料_一轮复习_2023年高考数学一轮复习讲练测(全国通用)_专题07数列
专题07数列(测)(解析版)_2.2025数学总复习_赠品通用版(老高考)复习资料_一轮复习_2023年高考数学一轮复习讲练测(全国通用)_专题07数列
专题07数列(测)(解析版)_2.2025数学总复习_赠品通用版(老高考)复习资料_一轮复习_2023年高考数学一轮复习讲练测(全国通用)_专题07数列
专题07数列(测)(解析版)_2.2025数学总复习_赠品通用版(老高考)复习资料_一轮复习_2023年高考数学一轮复习讲练测(全国通用)_专题07数列

文档信息

文档格式
docx
文档大小
0.715 MB
文档页数
12 页
上传时间
2026-03-12 05:56:42

文档内容

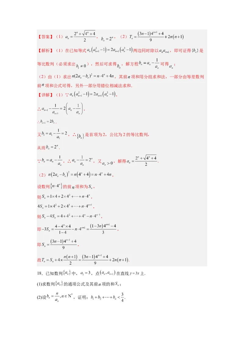
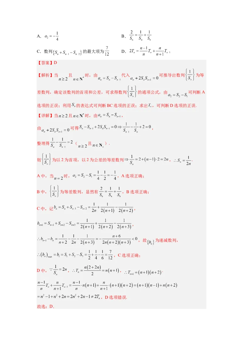
专题07 数列 能力提升检测卷 时间:60分钟 分值:120分 一、选择题(每小题只有一个正确选项,共60分) 1.已知数列 满足 , ,则 ( ) A. B. C. D. 【答案】B 【分析】由 ,利用累加法得出 . 【详解】由题意可得 , 所以 , ,…, , 上式累加可得 , 又 ,所以 .故选:B. 2.等差数列 前 项和为 , ,则 ( ) A. B. C. D. 【答案】C 【分析】将 化成 和 的形式,得到二者关系,求得 ,利用 求得结 果.【详解】 ,即 故选:C. 3.在等比数列 中, , ,则 ( ) A. B. C. D. 【答案】A 【分析】由题设结合等比数列通项公式求得公比 ,进而求 . 【详解】由题设, ,又 ,可得 ,∴ .故选:A 4.已知等差数列 的前 项和 ,且 , ,则 最小时, 的值为 ( ). A.2 B.1或2 C.2或3 D.3或4 【答案】C 【分析】先由已知条件求出等差数列的首项和公差,从而可表示出 , 进而利用二次函数的性质可求得结果 【详解】解:设等差数列 的公差为 , 因为 , , 所以 ,解得 , , 所以 , 因为 ,所以当 或 时,其有最小值.故选:C 5.设 是等比数列,且 , ,则 ( ) A.12 B.24 C.30 D.32 【答案】D 【分析】根据已知条件求得 的值,再由 可求得结果. 【详解】设等比数列 的公比为 ,则 , , 因此, .故选:D. 6.在正项等比数列 中,若 , ,则 ( ) A. B. C. 或 D. 或 【答案】C 【解析】根据等比数列的性质可得 ,由题意 ,解得 ,再 根据等比数列通项公式求得公比 ,从而得到数列 的通项公式. 【详解】 在等比数列 中,,解得 或 当 时, , , ; 当 时, , , 综上所述: 或 ,故选:C. 7.设数列 的前 项和为 ,且 ,则数列 的前 10项的和是 A.290 B. C. D. 【答案】C 【分析】由 得 为等差数列,求得 ,得 利用裂项相消求解即可 【详解】由 得 , 当 时, ,整理得 , 所以 是公差为4的等差数列,又 , 所以 ,从而 , 所以 ,数列 的前10项的和 .故选 . 8.已知数列{a }满足:a=-13,a+a=-2,且a =2a-a (n≥2),则数列 n 1 6 8 n-1 n n+1 的前13项和为 A. B.- C. D.- 【答案】B 【分析】根据题干变形可得到数列{an}为等差数列,再由等差数列的公式得到通项,最终 裂项求和即可. 【详解】an =2an-an (n≥2),可得an -an=an-an , -1 +1 +1 -1 可得数列{an}为等差数列,设公差为d,由a=-13,a+a=-2,即为2a+12d=-2, 1 6 8 1 解得d=2,则an=a+(n-1)d=2n-15. 1 ,即有数列 的前13项和为 = × =- .故选B. 9.记Sn为等比数列{an}的前n项和.若a–a=12,a–a=24,则 =( ) 5 3 6 4 A.2n–1 B.2–21–n C.2–2n–1 D.21–n–1 【答案】B 【分析】根据等比数列的通项公式,可以得到方程组,解方程组求出首项和公比,最后利 用等比数列的通项公式和前 项和公式进行求解即可. 【详解】设等比数列的公比为 , 由 可得: , 所以 , 因此 .故选:B. 10.已知数列 的前 项和为 , , 且 ,满足 ,数列 的前 项和为 ,则下列说法中错误的是( )A. B. C.数列 的最大项为 D. 【答案】D 【解析】当 且 时,由 代入 可推导出数列 为等 差数列,确定该数列的首项和公差,可求得数列 的通项公式,由 可判断A 选项的正误;利用 的表达式可判断BC选项的正误;求出 ,可判断D选项的正误. 【详解】当 且 时,由 , 由 可得 , 整理得 ( 且 ). 则 为以2为首项,以2为公差的等差数列 , . A中,当 时, ,A选项正确; B中, 为等差数列,显然有 ,B选项正确; C中,记 , , ,故 为递减数列, ,C选项正确; D中, , , . ,D选项错误. 故选:D.11.已知等差数列 的前n项和为 , ,若 ,且 ,则m 的值是 A.7 B.8 C.9 D.10 【答案】C 【解析】由等差数列性质求出 ,由等差数列前n项可求得m. 【详解】∵ 是等差数列,∴ , , ∴ , .故选:C. 12.设等差数列 的前n项和为 ,若 , ,则 ( ) A.28 B.32 C.16 D.24 【答案】B 【分析】由等差数列 前n项和的性质,可得 , , , 成等差数 列,结合题干数据,可得解 【详解】由等差数列 前n项和的性质, 可得 , , , 成等差数列, ∴ ,解得 . ∴ 2,6,10, 成等差数列, 可得 ,解得 .故选:B 二、填空题(共4小题,共20分) 13.数列 的前 项和为 ,则 ______. 【答案】12 【分析】根据数列的前 项和 与数列的通项 的关系求解. 【详解】由数列的前 项和 与数列的通项 的关系可得 , 又 ,所以 , , 所以 ,故答案为:12. 14.一同学在电脑中打出如下图形(○表示空心圆,●表示实心圆) ○●○○●○○○●○○○○●……,若将此若干个圆依此规律继续下去,得到一系列的圆,那么前 2006个圆中有实心圆的个数为______. 【答案】61 【分析】将这些圆分段处理, 第一段2个圆,第二段3个圆,第三段4个圆,……,然后利用 等差数列的前 项和公式计算前 段和前 段的和,可知答案. 【详解】解:将这些圆分段处理,第一段2个圆,第二段3个圆,第三段4个圆,……,可以看出每一段的最后一个圆都是实心圆,由于本题要求前2006个圆中实心圆的个数, 因此找到第2006个圆所在的段数很重要, 因为 , 而 , 因此,前2006个圆中共有61个实心圆,故答案为:61. 15.将数列{2n–1}与{3n–2}的公共项从小到大排列得到数列{an},则{an}的前n项和为 ________. 【答案】 【分析】首先判断出数列 与 项的特征,从而判断出两个数列公共项所构成 新数列的首项以及公差,利用等差数列的求和公式求得结果. 【详解】因为数列 是以1为首项,以2为公差的等差数列, 数列 是以1首项,以3为公差的等差数列, 所以这两个数列的公共项所构成的新数列 是以1为首项,以6为公差的等差数列, 所以 的前 项和为 , 故答案为: . 16.已知数列{an}满足a=1, ( ),则an=__. 1 【答案】 【分析】利用数列的递推关系式推出 是等差数列,然后求解通项公式即可. 【详解】数列{an}满足a=1, ( ), 1 可得: , , 所以 是等差数列,首项为 ,公差为1, 所以 1+(n﹣1)×1=n,所以 .故答案为: 三、解答题(共40分) 17.在正项数列 中, , , . (1)求数列 与 的通项公式; (2)求数列 的前 项和 .【答案】(1) , ,(2) 【解析】(1)在已知等式 两边同时除以 ,即可证得 是 等比数列(必须求出 ),然后可求得 ,解方程 可得 ; (2)由(1)求出 ,其前 项和用分组求和法,一部分由等差数列 前 项和公式可得,另外一部分用错位相减法求和. 【详解】(1)∵ , ∴ , ∴ . 又 ,∴ 是首项为2,公比为2的等比数列, 从而 . ∵ ,∴ ,又 ,解得 . (2) , 设数列 的前 项和为 , 则 , , 则 , 即 , 即 , 故 . 18.已知数列 中, ,点 在直线 上. (1)求数列 的通项公式及其前 项的和 ; (2)设 ,证明: .【答案】(1) , ; (2)证明见解析. 【分析】(1)根据等比数列的通项公式结合前 项和公式,即可求得结果; (2)利用错位相减法求得 的前 项和,再证明即可. (1)因为点 在直线 上,所以 ,又 , 故数列{ }是以3为公比,3为首项的等比数列,所以 , . (2)由题可知 ,记 , 所以 ① ① ,得 ② ① ②,得 , 故 ,又 ,故 ,即证. 19.已知数列 的前n项和为 , ,且 . (1)求数列 的通项; (2)设数列 满足 ,记 的前n项和为 ,若 对任 意 恒成立,求实数 的取值范围. 【答案】(1) ;(2) . 【分析】(1)由 ,结合 与 的关系,分 讨论,得到数列 为 等比数列,即可得出结论; (2)由 结合 的结论,利用错位相减法求出 , 对任意 恒成立,分类讨论分离参数 ,转化为 与关于 的函数的范围关系,即可求解. 【详解】(1)当 时, , , 当 时,由 ①, 得 ②,① ②得, 又 是首项为 ,公比为 的等比数列, ; (2)由 ,得 , 所以 , , 两式相减得 , 所以 , 由 得 恒成立, 即 恒成立, 时不等式恒成立; 时, ,得 ; 时, ,得 ; 所以 . 20.记 是公差不为0的等差数列 的前n项和,若 . (1)求数列 的通项公式 ; (2)求使 成立的n的最小值. 【答案】(1) ;(2)7. 【分析】(1)由题意首先求得 的值,然后结合题意求得数列的公差即可确定数列的通项公式; (2)首先求得前n项和的表达式,然后求解二次不等式即可确定n的最小值. 【详解】(1)由等差数列的性质可得: ,则: , 设等差数列的公差为 ,从而有: , , 从而: ,由于公差不为零,故: , 数列的通项公式为: . (2)由数列的通项公式可得: ,则: , 则不等式 即: ,整理可得: , 解得: 或 ,又 为正整数,故 的最小值为 .