当前位置:首页>文档>2025年高考地理考前必会3个解题大招_9.2025地理总复习_2025年新高考资料_二轮复习_2025年高考地理考前增分特训

2025年高考地理考前必会3个解题大招_9.2025地理总复习_2025年新高考资料_二轮复习_2025年高考地理考前增分特训

  • 2026-04-03 17:09:58 2026-03-12 06:07:41

文档预览

2025年高考地理考前必会3个解题大招_9.2025地理总复习_2025年新高考资料_二轮复习_2025年高考地理考前增分特训
2025年高考地理考前必会3个解题大招_9.2025地理总复习_2025年新高考资料_二轮复习_2025年高考地理考前增分特训
2025年高考地理考前必会3个解题大招_9.2025地理总复习_2025年新高考资料_二轮复习_2025年高考地理考前增分特训
2025年高考地理考前必会3个解题大招_9.2025地理总复习_2025年新高考资料_二轮复习_2025年高考地理考前增分特训
2025年高考地理考前必会3个解题大招_9.2025地理总复习_2025年新高考资料_二轮复习_2025年高考地理考前增分特训
2025年高考地理考前必会3个解题大招_9.2025地理总复习_2025年新高考资料_二轮复习_2025年高考地理考前增分特训
2025年高考地理考前必会3个解题大招_9.2025地理总复习_2025年新高考资料_二轮复习_2025年高考地理考前增分特训
2025年高考地理考前必会3个解题大招_9.2025地理总复习_2025年新高考资料_二轮复习_2025年高考地理考前增分特训
2025年高考地理考前必会3个解题大招_9.2025地理总复习_2025年新高考资料_二轮复习_2025年高考地理考前增分特训
2025年高考地理考前必会3个解题大招_9.2025地理总复习_2025年新高考资料_二轮复习_2025年高考地理考前增分特训
2025年高考地理考前必会3个解题大招_9.2025地理总复习_2025年新高考资料_二轮复习_2025年高考地理考前增分特训
2025年高考地理考前必会3个解题大招_9.2025地理总复习_2025年新高考资料_二轮复习_2025年高考地理考前增分特训
2025年高考地理考前必会3个解题大招_9.2025地理总复习_2025年新高考资料_二轮复习_2025年高考地理考前增分特训
2025年高考地理考前必会3个解题大招_9.2025地理总复习_2025年新高考资料_二轮复习_2025年高考地理考前增分特训
2025年高考地理考前必会3个解题大招_9.2025地理总复习_2025年新高考资料_二轮复习_2025年高考地理考前增分特训
2025年高考地理考前必会3个解题大招_9.2025地理总复习_2025年新高考资料_二轮复习_2025年高考地理考前增分特训
2025年高考地理考前必会3个解题大招_9.2025地理总复习_2025年新高考资料_二轮复习_2025年高考地理考前增分特训
2025年高考地理考前必会3个解题大招_9.2025地理总复习_2025年新高考资料_二轮复习_2025年高考地理考前增分特训
2025年高考地理考前必会3个解题大招_9.2025地理总复习_2025年新高考资料_二轮复习_2025年高考地理考前增分特训
2025年高考地理考前必会3个解题大招_9.2025地理总复习_2025年新高考资料_二轮复习_2025年高考地理考前增分特训
2025年高考地理考前必会3个解题大招_9.2025地理总复习_2025年新高考资料_二轮复习_2025年高考地理考前增分特训
2025年高考地理考前必会3个解题大招_9.2025地理总复习_2025年新高考资料_二轮复习_2025年高考地理考前增分特训
2025年高考地理考前必会3个解题大招_9.2025地理总复习_2025年新高考资料_二轮复习_2025年高考地理考前增分特训

文档信息

文档格式
docx
文档大小
1.910 MB
文档页数
23 页
上传时间
2026-03-12 06:07:41

文档内容

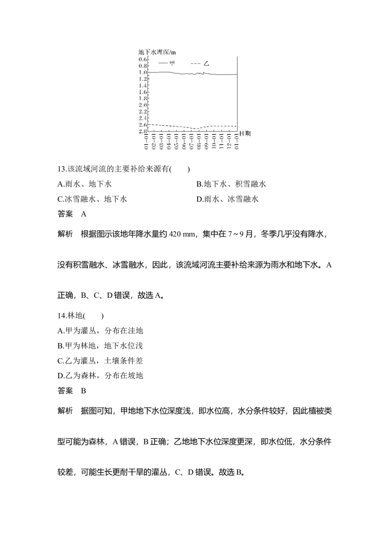
大招(一) 从高考试题情境来源和设计找解题思路 [大招解读] 从高考地理情境命题的角度看解题思路,主要是了解不同情境试题 的特点以及能辨析出题者组织表达的地理情境信息,根据情境任务进行信息的对 应。 地理高考试题情境的来源要素和设计要素 1.情境材料的解读 近些年的高考非选择题材料也凸显情境化,学生需要从试题材料找出重要的信息 来完成题干所要求的任务。一般获取的信息主要是以下四种类型: (1)主题信息:对事件发生总过程的中心概括,构成情境的主题; (2)条件信息:支持事件发生的自然条件或人文条件等前提和背景,是情境产生 的条件支撑; (3)过程信息:包括事件发生总过程中的空间、时间和其他特征等信息,组成了 情境中的具体环节; (4)隐藏信息:包括事件背后隐藏的结果、规律和后续发展方向等信息,以及相关的地理知识和常识等信息,即试题情境所隐含的信息。 【典例1】 (2021·全国甲卷,1~3)医用注射剂瓶和用于加工它的玻璃管的生产 过程对水、空气等环境条件要求严苛。世界最大的高端玻璃管生产企业德国某公 司,通过对浙江丽水、四川成都、江苏无锡等地比较,最终选定在具有相关产业 和生态环境优良的丽水某山间小镇建生产厂;2017年,从德国进口高端玻璃管 制成医用注射剂瓶的生产厂投产;2020年,高端玻璃管生产厂投产。据此完成 (1)~(3)题。 (1)该公司选择在中国建生产厂,主要是因为中国( ) A.原材料充足 B.市场广阔 C.技术先进 D.劳动力价格低 (2)该公司最终选定在丽水建生产厂,看中的主要人文地理条件是( ) A.基础设施 B.商业氛围 C.科研实力 D.配套产业 (3)丽水山间小镇的生态环境也是吸引该公司投资的重要条件。这说明与大城市 相比,该公司在山间小镇建生产厂,可以( ) A.提高产品质量 B.降低车间环境净化成本 C.增加产品产量 D.降低废弃物处理成本 [解题指导]答案 (1)B (2)D (3)B 2.情境材料的信息提取 高考试题基本没有无效信息,地理试卷中的信息主要包括文字信息和图表信息两 大类。 (1)对于文字材料要逐字逐句读题,不能扫读。找中心词、关键词、限定语(时间、 地点),准确把握这些词语的内涵与外延,严防题目中的概念被自己偷换。对长 句作一定的语法分析,准确断句。可在试卷上用铅笔做标记:画点、画线、画圈 等。 (2)对于各种地理图表,首先要明确图表的标题,其次看图例,然后结合图中内 容提取人文和自然地理要素信息。 (3)注意挖出隐含信息。如经纬网地图中隐含比例尺,还有一些试题的信息隐含 在题干中。无论是选择题还是非选择题,目前高考命题均属于组合式的试题,围 绕一个共同的背景材料设问。组合式的试题在设问时各题之间具有一定的关联性, 即前一题的答案是解答后一题的信息。 【典例2】 [2023·全国甲卷,36(1)]阅读图文材料,完成下列要求。 埃塞俄比亚人口超过1亿,农业人口约占80%,以小农户为主,农业是经济支柱。 该国土地资源丰富,干湿季分明,绝大多数耕地只在湿季种植作物,灌溉农田比例小;工业基础及道路、供电等设施薄弱。近年来,该国引进灌溉农机具,但推 广缓慢,下图示意埃塞俄比亚地形。 评价埃塞俄比亚发展灌溉农业的水资源条件和地形条件。(6分) [解题指导] 答案 水资源条件:大部分地区降水较多,但季节分配不均。河湖多,地表水资 源较丰(东非水塔),但空间分布不均。 地形条件:地形以高原山地为主,地势起伏大,土地坡度大,不利于灌溉。 大招(二) 运用排除法从 6 个角度提高选择题的正答率 [大招解读] 遇到选择题包含的地理事象较多时,可能一时难以做出正确选择, 此时可以把选项与题干条件逐一对照,将错误的选项排除,缩小判断范围,最后 剩下的就是正确选项。 运用排除法时,从以下6个角度思考,有利于提高正答率: 角度1:找题干所涉及的主题或关键词,排除与主题或关键词相关性最弱的选项。 角度2:观察四个选项,分析选项的差异,排除与其他选项范畴不同的选项。 角度3:如果选项中有材料中未涉及的人文信息且信息的不确定性较大,先排除。角度4:找选项细节排除。当选项中出现形容词、数量词、程度副词时,先要确 定这些词是否使用不当(如表述绝对等)。 角度5:找题干主语,把选项套入主语,排除与主语匹配时逻辑不通,或不在同 一个概念范畴,或与现实状况不符的选项。 角度6:找题干提供的图表信息,排除与图表中最主要的信息关系最弱的选项。 大招的具体使用过程,用下面典题来展示。 【典例3】 (2023·广东深圳调研)西沙群岛中的某珊瑚岛有明显的旱雨两季,岛 上以常绿灌木为主。岛上土壤表层 40 cm为鸟粪堆积层,40~160 cm深的土壤 在12月至次年3月会形成干土层。下图示意该岛的植被根系吸水深度分配的变 化。据此完成(1)~(2)题。 (1)西沙群岛的雨季( ) A.缓慢开始,持续6个月 B.缓慢开始,持续3个月 C.迅速开始,持续6个月 D.迅速开始,持续3个月 (2)12月至次年3月,40~160 cm深处土层变干的主要原因是( ) ①降水较少 ②根系吸收 ③蒸发旺盛 ④透水性差 A.①② B.①④ C.②③ D.③④ [解题指导](1)该题文字材料阐述的是该珊瑚岛的气候、土壤、植被大致情况,图像描述的 是植被根系吸水深度分配的变化情况,设问是该岛所属的西沙群岛的雨季情况。 与“雨”直接相关的便是“水”,因此解答本题应把分析重点放到读图上。本大 招解题的6个思考角度中,与图关系最紧密的是角度 6。角度6是找题干提供的 图表信息,排除与图表中最主要的信息关系最弱的选项。同样,也可以逆向思考, 即找与图中最主要的信息关系最强的选项。由材料可知岛上土壤表层 40 cm为鸟 粪堆积层,所以与岛上降水量关系最大的为0~40 cm鸟粪堆积层。析图如下: (2)分析如下:答案 (1)C (2)A 大招(三) 设问拆解法速定主观题答题思路 [大招解读] 设问拆解法是将设问按关键词进行拆解,从而化难为易、化繁为简, 进而解决问题。使用设问拆解法解题,可以有效降低答题难度,还原问题的本来 面貌。思路路径如下: 大招的具体使用过程,用下面两道典题来展示。 【典例4】 [2021·河北卷,18(3)]阅读图文材料,完成下列要求。 陕北延安至榆林间的森林草原区(图1)黄土丘陵沟壑地貌发育,图2为该区自沟 壑底部到丘陵顶部自然植被分布的典型剖面示意图。长期的坡面耕作打破了生态 平衡。1999年以来,该区域实施了大规模退耕还林还草工程,大范围坡耕地转为林草地,在植被覆盖率提高、水土流失减弱的同时,坡面林地土壤也出现了明 显干燥化趋势,给林木正常生长带来潜在威胁。 提出该区植被合理配置的原则与途径。(4分) [解题指导] 总——按“因地制宜”的大原则去安排不同空间的植物; 分——按空间顺序的逻辑,先将图示范围分成谷底、山坡、山顶;然后再根据 不同空间水热土状况的不同,分别对应不同的植被。 答案 植被合理配置应符合因地制宜的原则;根据水土资源分布的差异,谷底水 土资源丰富,以林地为主;山坡蒸发量大,水土流失严重,应以耐旱的草本植物 为主;山顶水热较为缺乏,应发展耐寒、耐旱的草本和灌木为主。 【典例5】 (2023·山东临沂一模)阅读图文材料,完成下列要求。 洱海湖面海拔约1 950 m,主断裂西侧剧烈抬升,形成海拔约4 000 m的苍山。苍山山体主要由硬度较大的变质岩组成,山顶附近每年有约半年时间存有积雪, 东坡发育了多条河流,在河流入湖口处形成集中连片的洪积扇,此处洪积扇砾石 含量较高且缺少泥质沉积。如图示意洱海周边地理事物分布。 分析洱海西岸洪积扇砾石含量较高且缺少泥质沉积的原因。(6分) [解题指导] 本题可用设问拆解法解答。具体分析如下: 答案 河流流程短,洪水期流量大;地势落差较大,坡度较陡,重力坍塌形成的 砾石较多(或流速快,搬运砾石能力强);物源区海拔高,气候寒冷,冻融作用强 烈,(加之山体以硬度较大的变质岩为主,)风化碎屑物以砾石居多。秘籍一综合训练 一、选择题(在每小题给出的四个选项中,只有一项是符合题目要求的) 北京时间2022年4月16日09时56分神舟十三号载人飞船返回舱在内蒙古东风 着陆场成功着陆,着陆点中心地理坐标为(41°37′43″N,100°04′28″E)。现场医监 医保人员确认航天员翟志刚、王亚平、叶光富身体状况良好,神舟十三号载人飞 行任务取得圆满成功。据此完成1~2题。 1.神舟十三号载人飞船返回当日,与内蒙古相比,云南( ) A.正午太阳高度更大 B.自转角速度更小 C.自转线速度更小 D.白昼时间更长 答案 A 解析 神舟十三号载人飞船返回当日是4月16日。与内蒙古相比,云南纬度更 低,离太阳直射点更近,因此云南的正午太阳高度更大,A正确;两地的自转角 速度相同,B错误;与内蒙古相比,云南的纬度更低,自转线速度更大,C错误; 4月16日太阳直射点在北半球,昼长向北递增,与内蒙古相比,云南在南,因 此云南白昼时间较短,D错误。故选A。 2.返回舱在东风着陆场着陆时,国际标准时间为( ) A.2022年4月16日1:56 B.2022年4月17日10:56 C.2022年4月16日23:56D.2022年4月17日11:56 答案 A 解析 返回舱在东风着陆场着陆时为北京时间 2022年4月16日09时56分,国 际标准时为零时区的区时,北京时间为东八区区时,因此国际标准时间比北京时 间晚八个小时,因此着陆时国际标准时为9:56-8:00=1:56, 日期不变,A 正确,B、C、D错误。故选A。 下图为海南岛农业分区示意图。读图,完成3~4题。 3.海南岛南繁基地被誉为“中国农业科技硅谷、国家种业硅谷”,其发展育种的 优势自然条件是( ) A.面临南海,地理位置优越 B.纬度低,热量、水分条件优越 C.耕地广阔,土地租金低 D.热带季风气候,降水丰沛 答案 B 解析 种子繁育需要杂交培育,育种周期较长,根据我国农业耕作制度分布,海 南岛地处热带,纬度低,热量、水分条件优越,一年可以多熟,可以大大提高育 种的效率,所以选海南岛作为育种基地,B正确。地理位置、耕地面积、土地租金和降水等因素不是主要影响因素,A、C、D错误。故选B。 4.海南省虽是降水多的省区,但生产、生活中也出现缺水现象,图中信息能反映 该现象形成原因的是( ) A.海南岛四周环海,海水入侵,水质变差 B.降水空间分布不均,东多西少 C.全球变暖,蒸发旺盛 D.河流流程短,流速快,流域面积小 答案 D 解析 由图中水系呈放射状特征和农业类型分布可知,海南岛中部高、四周低, 河流流程短,流速快,流域面积小,地表径流不易蓄存,所以海南省虽是降水多 的省区,但生产、生活中也出现缺水现象,D正确。海南岛虽四周环海,但陆地 高于海面,海水入侵范围有限,不是缺水主要原因,A错误。受地形影响,降水 空间分布确实不均,东多西少,但东部地区仍然存在缺水问题,所以不是空间分 布不均问题,B错误。全球变暖幅度有限,蒸发旺盛不是主要原因,C错误。故 选D。 天际线是西方城市规划的定型理念,它是由城市中的高楼大厦构成的整体结构, 又称城市轮廓或全景,下图是南京市主城区天际线 2000~2012年变化示意图。 读图,完成5~6题。5.2000~2012年,南京城市发展较快的区域是( ) A.城东和城西 B.城南和城北 C.城东和城北 D.城西和城南 答案 D 解析 城西和城东相比,2000~2012年,城西的建筑物明显变得高大密集,而 城东变化非常小,说明城市在向西发展;城南和城北相比,城南建筑物明显变得 高大密集,而城北没有太大的变化,说明城市在向南发展。故选D。 6.若要增强南京中心城区对江北新区的辐射作用,目前首先要加强( ) A.市场开拓 B.产业开发 C.交通建设 D.环境保护 答案 C 解析 江北新区与城市中心区相对较远,要想加强中心区对江北新区的辐射作用, 首先需要加强两地之间的交通建设,提高交通通达度,从而促进区域间的人流、 物流的联系,C正确。与交通建设相比,市场开拓、产业开发、环境保护等均不 是首先要加强的措施。故选C。 上海市金山石化工业区是中国规模最大的石油化工企业之一,距离海岸线仅 3 km。通过观测得到某日9:00和17:00时该工业区附近的海岸线随高度变化的风速和风向数据,并通过算法模拟出在海陆无温差情况下该日的盛行风数据。下 图是该日金山石化工业区附近海岸线处气流运动速度随高度变化曲线图,其中风 速为正表示为离岸风,风速为负时表示为向岸风。据此完成7~8题。 7.当天石化工业区排放的气体污染物更易影响陆上居民的时间段是( ) A.上午 B.下午 C.上半夜 D.下半夜 答案 B 解析 石化工业区排放的气体污染物更易影响陆上居民的时间段应为吹向岸风的 时间段,即风速为负值时。读图可知,17:00时风速为负,为向岸风,更容易 将污染物带至居民区,因此当天石化工业区排放的气体污染物更易影响陆上居民 的时间段是下午,B正确,A错误;根据所学知识可知,白天吹海风(向岸风), 夜间吹陆风(离岸风),C、D错误,故选B。 8.据图推测,海陆有温差的情况下50米高度以上的风速变大的原因可能是( ) A.大气摩擦力减小 B.热力环流的影响 C.地转偏向力影响 D.表层海温的升高 答案 B 解析 根据题干信息可知,题中前提条件是海陆有温差的情况下,说明此时大气运动是热力差异形成的,根据所学知识,温差越大,风速越快,因此 50米高度 以上的风速变大的原因最可能是热力环流的影响,而与大气摩擦力减小、 地转 偏向力影响、 表层海温的升高关系不大,B正确,A、C、D错误,故选B。 科考人员在河西走廊发现了一种类似于蜂巢的地貌,裸露在外的花岗岩千疮百孔, 距今已有上亿年,周围有4亿至5亿年之前形成的沉积岩,下图是该地区地质剖 面图。读图,完成9~10题。 9.形成“蜂巢”的地质作用是( ) A.流水侵蚀 B.风力侵蚀 C.冰川侵蚀 D.流水沉积 答案 B 解析 裸露在外的花岗岩千疮百孔,说明是受侵蚀作用而成的,可排除 D;河西 走廊地处我国西北内陆地区,干旱少雨,流水侵蚀作用弱,观察侵蚀状况,应主 要受风力侵蚀,B正确,A、C错。故选B。 10.此处地貌的形成过程是( ) A.沉积—岩浆侵入—地壳抬升—外力侵蚀 B.沉积—地壳抬升—外力侵蚀—岩浆喷出 C.岩浆喷出—沉积—外力侵蚀—地壳抬升 D.岩浆侵入—沉积—地壳抬升—外力侵蚀答案 A 解析 花岗岩为侵入型岩浆岩,与岩浆喷出无关,可排除B、C;读图可知,沉 积岩被花岗岩切断,说明沉积岩形成较早,然后岩浆侵入形成花岗岩;花岗岩是 岩浆没有喷出地表就冷却凝固形成的,而现在花岗岩露出地表,说明岩层形成后 地壳抬升,使地势变高,表层岩石被侵蚀,花岗岩才露出地表,然后被外力侵蚀 形成现在千疮百孔的地貌状况,A正确,D错。故选A。 受冷锋影响,2020年2月我国某山地发生了一次降雪过程。下图为此次冷锋过 境前后,该山地气象站记录的降水量、气温和气压变化情况。据此完成11~12 题。 11.下列时段中,冷锋正在过境的是( ) A.2月17日18:00~22:00 B.2月18日6:00~10:00 C.2月19日00:00~4:00 D.2月19日11:00~15:00 答案 C 解析 2月17日18:00~22:00气温较高,天气晴朗,处于暖气团控制,A错 误;2月18日6:00~10:00气温相对白天低,但没有降雪,说明处于过境前,B错误;2月19日00:00~4:00,气温下降,出现降雪,气压上升,符合冷锋 过境时的特征,C正确;2月19日11:00~15:00,气温上升,气压下降,降 水减少,应为过境后,D错误,故选C。 12.该气象站可能位于( ) A.天山 B.贺兰山 C.阴山 D.长白山 答案 A 解析 由图可知,当地最高气温大约出现在北京时间17时,而一般当地地方时 最高气温出现在14时,由此推出该地经度与北京时间(120°E)经度差=3×15°= 45°。由此推出该地的经度约为75°E,四个选项中,天山最接近,A正确,B、 C、D错误,故选A。 毛乌素沙地位于黄土高原北部,下图为该地某流域气温、降雨量和两种林地地下 水位变化图。完成13~14题。13.该流域河流的主要补给来源有( ) A.雨水、地下水 B.地下水、积雪融水 C.冰雪融水、地下水 D.雨水、冰雪融水 答案 A 解析 根据图示该地年降水量约420 mm,集中在7~9月,冬季几乎没有降水, 没有积雪融水、冰雪融水,因此,该流域河流主要补给来源为雨水和地下水。A 正确,B、C、D错误,故选A。 14.林地( ) A.甲为灌丛,分布在洼地 B.甲为林地,地下水位浅 C.乙为灌丛,土壤条件差 D.乙为森林,分布在坡地 答案 B 解析 据图可知,甲地地下水位深度浅,即水位高,水分条件较好,因此植被类 型可能为森林,A错误,B正确;乙地地下水位深度更深,即水位低,水分条件 较差,可能生长更耐干旱的灌丛,C、D错误。故选B。通过人工削坡填沟发展现代沟道农业是黄土丘陵沟壑区人地协调发展形成的一种 新兴农业地域类型,其可持续发展对于区域农业高质量发展、生产—生活—生 态空间优化和乡村振兴具有重大现实意义。下图示意某黄土丘陵沟壑区基于油菜 的多功能农业发展模式。据此完成15~16题。 15.在退耕还林(草)政策实施以后,黄土高原传统的打坝淤地逐渐减少,其主要原 因是( ) A.劳动力不足 B.粮食需求量减少 C.水资源短缺 D.泥沙流失量减少 答案 D 解析 在退耕还林(草)政策实施以后,生态环境得到明显改善,水土流失减少, 泥沙流失量减少,传统的打坝淤地逐渐减少,D正确;与劳动力不足、粮食需求、 水资源短缺无关,A、B、C错误。故选D。 16.与粮食种植相比,基于油菜的多功能农业发展模式更有利于( ) A.保障粮食和生态安全 B.拓展旅游、康养功能 C.提高单位面积作物产量 D.提高农业机械化水平 答案 B 解析 种植油菜,不利于保障粮食安全,A错误;油菜花景观独特,油菜种植可以带动旅游与康养业发展,B正确;油菜单位面积的产量没有粮食高,C错误; 油菜机械化操作难度大于粮食种植,D错误。故选B。 二、非选择题 17.阅读图文材料,回答下列问题。(16分) 可乐猪多产于贵州省赫章县可乐乡,为放牧型猪种,常饲养于2 200米高山区, 具有发育率高、耐冷湿、耐粗饲、抗病力强等特点。当地采用“放牧+补饲+圈 养育肥”的生产方式,即在野外放牧数月,早晚收牧,加以补饲,待长至一定体 重后,再圈养催肥后出栏。可乐猪肉质独特,无论是鲜肉直售,还是深加工成火 腿、腊肉等产品都十分畅销。下图示意可乐猪的“公司+合作社+农户”的合作 方式。 (1)分析当地适合养殖可乐猪的自然条件。(4分) (2)阐述“放牧+补饲+圈养育肥”生产方式的优点。(6分) (3)说明“公司+合作社+农户”的合作方式对当地养殖产业的积极影响。(6分) 答案 (1)海拔高,气候湿冷,适合可乐猪生长;多山地,牧场面积广;野生粗饲料丰富;地形崎岖,可乐猪攀爬运动量大,利于提升猪肉品质。 (2)放牧养殖可以减少饲料投入;放牧养殖能够节省劳动力,降低成本;当地生 态环境好,放牧养殖利于提升可乐猪品质;补饲和圈养育肥能够提升可乐猪个体 重量,提高养殖收入。 (3)农户养殖成本低,利于扩大养殖规模;加强养殖过程的技术指导,利于提升 专业化水平;建立稳定的销售渠道,降低市场风险;延长产业链,提升养殖产业 经济效益。 解析 第(1)题,可乐猪常饲养于2 200米高山区,具有发育率高、耐冷湿、耐粗 饲、抗病力强等特点。据其生活习性分析,贵州省赫章县海拔高,气温低,气候 湿冷,适合可乐猪生长;贵州省地形崎岖,多山地,牧场面积广,适宜养殖的空 间大;野生粗饲料丰富,食物丰富;地形崎岖,在野外放牧数月,早晚收牧,可 乐猪攀爬运动量大,利于提升猪肉品质。第(2)题,在野外放牧数月,早晚收牧, 放牧养殖可以减少饲料投入,降低成本;在野外放牧数月,放牧养殖能够节省劳 动力,降低成本,增加利润;当地2 200米高山区,人类活动少,生态环境好, 放牧养殖利于提升可乐猪品质;早晚收牧,加以补饲,待长至一定体重后,再圈 养催肥后出栏,补饲和圈养育肥能够提升可乐猪个体重量,提高养殖收入。第 (3)题,“公司+合作社+农户”可以降低农户养殖成本,形成规模效益,利于 扩大养殖规模;合作社可以加强养殖过程的技术指导,利于提升农户专业化水平;公司可以建立稳定的销售渠道,降低市场风险,保证农户经济利益;公司制作香 肠、腊肉等,可以延长产业链,提升养殖产业经济效益。 18.读图文材料,回答问题。(16分) 河流湿地范围包括:两岸道路之间的水域及陆域部分,陆域部分包括河岸坡地和 河流滩地。注入白洋淀的支流中,漕河没有河滩地。在河道治理优化后,漕河河 道断面结构依次为路缘灌丛带、林地、草地、河滩地、河槽。其中河滩地平水年 淹水深度大于20 cm时间不少于10天,淹水深度大于100 cm时间不超过3天。 下图为漕河断面治理前后的示意图及漕河治理优化后景观图。 (1)结合示意图及河滩地标准,阐述在漕河构筑人工滩地的过程。(4分) (2)说明河滩地在河流健康演变中的作用。(6分) (3)指出治理后河道断面路缘灌丛带的作用。(6分) 答案 (1)人工开挖河底淤泥,加深河槽;在河道另一侧堆积筑高,减小河槽宽 度;根据当地河流水量计算河槽以及滩地宽度和高度,形成河滩。 (2)洪水期,河滩地是行洪通道,利于河流泄洪;河滩地是河槽与岸坡的过渡地, 保护岸坡和河槽,减少侵蚀;河滩地生物种类较多,利于河流水质的净化。 (3)绿化环境,隔离河流与人类及其他动物,拦截并过滤地表径流,减少流水对 路缘侵蚀。解析 第(1)题,结合图中优化前和优化后的河道剖面可知,需要进行人工开挖 原河底淤泥,使原河槽加深,并把开挖的淤泥堆积在河道一侧使其高于河槽,从 而减小原河槽宽度,加深原河槽的深度。注意材料信息“其中河滩地平水年淹水 深度大于20 cm时间不少于10天,淹水深度大于100 cm时间不超过3天”,所 以需要根据当地河流水量计算河槽以及滩地宽度和高度,形成河滩。第(2)题, 结合优化后的河道断面示意图可知,在洪水期,河滩地可以起到行洪通道的作用, 有利于洪水期的泄洪,其次,河滩地地势相对平坦,属于河槽与岸坡的过渡地, 有利于减缓岸坡坡面径流的流速,促进来自岸坡坡面的泥沙提前沉积,减轻河槽 的泥沙沉积,减少侵蚀,也有利于河流水质的净化。河滩地泥土较厚,水分条件 好,有利于多种河滩植被的生长,也为部分动物提供了栖息环境,增加了河道生 物多样性。第(3)题,结合材料信息可知,河道断面路缘灌丛带位于路缘地区, 一方面起到了绿化的作用,另一方面直接隔离了河流与路面,隔开了河流与人类 以及其他动物,有利于拦蓄过滤地表径流,净化地表径流,也可以减缓地表径流 对路缘的侵蚀,促进河流湿地的保护。