当前位置:首页>文档>2025年高考地理综合题型高分策略题型三 对比分析类综合题_9.2025地理总复习_2025年新高考资料_二轮复习_2025年高考地理考前增分特训

2025年高考地理综合题型高分策略题型三 对比分析类综合题_9.2025地理总复习_2025年新高考资料_二轮复习_2025年高考地理考前增分特训

  • 2026-04-15 22:30:12 2026-03-12 05:19:48

文档预览

2025年高考地理综合题型高分策略题型三 对比分析类综合题_9.2025地理总复习_2025年新高考资料_二轮复习_2025年高考地理考前增分特训
2025年高考地理综合题型高分策略题型三 对比分析类综合题_9.2025地理总复习_2025年新高考资料_二轮复习_2025年高考地理考前增分特训
2025年高考地理综合题型高分策略题型三 对比分析类综合题_9.2025地理总复习_2025年新高考资料_二轮复习_2025年高考地理考前增分特训
2025年高考地理综合题型高分策略题型三 对比分析类综合题_9.2025地理总复习_2025年新高考资料_二轮复习_2025年高考地理考前增分特训
2025年高考地理综合题型高分策略题型三 对比分析类综合题_9.2025地理总复习_2025年新高考资料_二轮复习_2025年高考地理考前增分特训
2025年高考地理综合题型高分策略题型三 对比分析类综合题_9.2025地理总复习_2025年新高考资料_二轮复习_2025年高考地理考前增分特训
2025年高考地理综合题型高分策略题型三 对比分析类综合题_9.2025地理总复习_2025年新高考资料_二轮复习_2025年高考地理考前增分特训
2025年高考地理综合题型高分策略题型三 对比分析类综合题_9.2025地理总复习_2025年新高考资料_二轮复习_2025年高考地理考前增分特训
2025年高考地理综合题型高分策略题型三 对比分析类综合题_9.2025地理总复习_2025年新高考资料_二轮复习_2025年高考地理考前增分特训
2025年高考地理综合题型高分策略题型三 对比分析类综合题_9.2025地理总复习_2025年新高考资料_二轮复习_2025年高考地理考前增分特训
2025年高考地理综合题型高分策略题型三 对比分析类综合题_9.2025地理总复习_2025年新高考资料_二轮复习_2025年高考地理考前增分特训
2025年高考地理综合题型高分策略题型三 对比分析类综合题_9.2025地理总复习_2025年新高考资料_二轮复习_2025年高考地理考前增分特训

文档信息

文档格式
docx
文档大小
0.812 MB
文档页数
12 页
上传时间
2026-03-12 05:19:48

文档内容

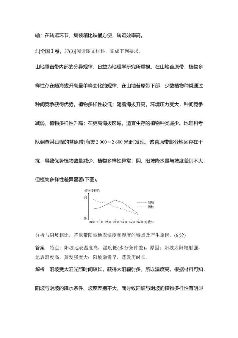
题型三 对比分析类综合题 [读设问研考情]高考曾这样考过 全国试卷 分值 考查内容 呈现形式 指出与地铁相比,快速公 2023·乙卷,36(2) 6分 文字材料、模式图 交的优点 分析区域海岸线水平变化 文字材料、坐标示意 2022·乙卷,37(4) 6分 的方向和幅度的差异 图 说明冲积平原水分条件比 文字材料、剖面示意 2021·甲卷,37(3) 8分 山坡和冲积扇好的原因 图 指出使用集装箱液袋运输 2020·Ⅱ卷,36(3) 4分 相对于使用铁桶运输的优 文字材料 势 【典例】 [2023·全国乙卷,36(2)]阅读图文材料,完成要求。 库里蒂巴是巴西东南沿海城市。经过多年建设,有多种类型的公交线与快速交通 线相连。目前,库里蒂巴人均小汽车拥有量位居巴西前列,但公交出行率远高于 其他城市。下图为库里蒂巴公交网络模式图。 指出与地铁相比,库里蒂巴建设地面快速公交的优点。(4分) [解题指导]答案 投资少,工程量小(建设难度小),建设时间短;交通组织灵活,方便乘客 换乘。 1.对比分析类考题经常以“比较图中……和……的差异(不同或异同)”“分 析……和……的共同特点(问题)”“说明图示……和……”等字眼出现。此类考 题往往给出大量的材料,把两片区域或两种事物、现象等进行对比,要求分析其 共同或不同的特点,比较两地区位条件的优劣,两地产生某种差异的原因等。 主要有三个考向: (1)某地理要素或地理过程的直接对比分析; (2)某地理要素或地理过程在不同空间上的对比分析; (3)某地理要素或地理过程在不同时间上的对比分析。 2.锁定考题关键限定条件与设问角度 锁定题目要求找相同点还是不同点?或是异同点都要找?或者要求通过比较进一 步找原因?要求从什么角度?几个角度去比较? 3.运用地理思想、方法,调用相关地理事象的知识、原理、规律进行思考,突破 解题 (1)联系题中图表和文字材料(一般不会有平白无故的信息)——最直接的依据。 (2)链接相关地理事象的知识、原理、规律,迅速理解题目设置的情境和需要解 决的问题,建立准确的联系,提取出解题的知识点。(3)调用生活经验和常识(知识服务于生产、生活,跳出地理解决地理问题):当实 在无法联系到所学教材知识点时,根据题意联系自己的生活经验和常识来答题往 往也是很有效的。 4.常见比较分析类问题突破角度 比较对象 答题角度和方向 水文特征 水位、径流量、含沙量、结冰期、水能、汛期 河 长度、流向、流域面积、落差、河道曲直情况、支 流 水系特征 流、水系形状(扇形、树枝状等) 年均温、气温高低、气温年较差、气温高低的月份分 气温 配 气 降水 季节分配、总量、变率 候 气候类型、气候要素的分布、影响气候的因素、气温 气候特征 和降水的组合状况 气候(湿热冷干)、植被情况、土地类型(荒漠、草地、 地表环境特征 林地、耕地等)、河流发育程度等 资 多少(是否短缺)、开发情况(是否破坏)、发展趋势(是否 资源问题 源 面临枯竭)、治理措施 春小麦种在冬季很冷的地方,因为冬季太冷,小麦无 春、冬小麦的地区 法越冬,所以在开春后才播种;冬小麦则种在冬季稍 分布 暖的地方,秋末播种,夏季收获。一般来说,我国东 农 北地区种植春小麦,华北及其以南地区种植冬小麦 业 美国商品谷物农业 地形、气候、水源、土壤、技术、劳动力、市场、政 区与我国东北商品 策、交通、机械化水平、劳动生产率、商品率 粮基地 地理位置、自然地理特征(地形、气候、水文、植被、 区域特征 资源)、人文地理特征(工业、农业、人口、城市、交 通、环境问题) 经纬度位置、海陆位置、气候特征及其成因、科学考 区 南极洲与北冰洋 察、特有动物等 域 德国鲁尔工业区与 区位条件、工业部门结构、存在问题、整治措施 我国辽中南工业区 巴西圣保罗与印度 气候类型、矿产资源、工农业特点 加尔各答 阅读图文材料,回答问题。 瓷器是中国劳动人民的一个重要创造。越瓷是古代海上丝绸之路输往世界各地的主要货物之一,但以骆驼为主要交通工具的陆地丝绸之路越瓷的销售数量并不大。 下图示意越瓷对外贸易之东北航线。 与陆地丝绸之路相比,简析海上丝绸之路出口瓷器的优势。(6分) 答案 陆地丝绸之路受战争、割据等政治因素影响大,多有阻隔;瓷器体积较大, 质量较重,易碎,装运不便,用骆驼运输运量小、破损率高,运输成本高;海上 丝绸之路用船舶运输瓷器,运量大,破损率低,速度相对较快。 解析 相比而言,海上丝绸之路采用船舶运输,其运量大,瓷器不易损坏,破损 率低,借助盛行风和洋流,运速相对较快。陆地丝绸之路以骆驼为主要交通工具, 运量小,路途颠簸大,瓷器的体积大,质量大,破损率高,且装运不便,运输成 本高;另外,陆路运输受战争、割据等因素的影响,运输通道多有阻隔。 对比分析类专项训练 1.(2023·江西南昌模拟)阅读图文材料,回答下列问题。(20分) 在干旱内陆区,往往“以水定地”,水资源的分布与开发影响土地利用。中亚锡尔河、阿姆河流域的人们因地制宜发展了适应当地地理环境的农牧业,锡尔河大 致成为草原与绿洲、畜牧区与农耕区的分界线。20世纪50年代以来,为促进经 济发展,锡尔河、阿姆河流域修建了大量的引水渠,如图所示。 (1)锡尔河以北地区多为畜牧区,以南地区多为农耕区,对此做出合理解释。(8 分) (2)比较锡尔河、阿姆河流域引水渠的空间分布差异,并说明原因。(12分) 答案 (1)锡尔河以北地区纬度较高,气温低,降水多,蒸发量小,草场资源丰 富,有利于发展畜牧业;锡尔河以南地区纬度低,气温高,蒸发量大,地形较平 坦,可利用锡尔河、阿姆河的水资源发展灌溉农业。 (2)差异:锡尔河流域引水渠主要分布于河流中上游,阿姆河流域引水渠主要分 布于河流中下游。 原因:锡尔河中上游流经费尔干纳盆地,地势平坦,便于开垦,人口、城市多, 需水量大,但支流少;阿姆河上游多山地,中下游地区主要为图兰平原,便于开 垦,人口、城市多,需水量大。 解析 第(1)题,该地区气候干旱,水资源的分布影响土地利用方式和农业生产 类型,说明水资源与锡尔河北侧发展畜牧业、南侧发展种植业关系密切,所以水 资源的空间分布差异影响了农业生产类型。另外,锡尔河北侧地区地形为哈萨克丘陵,南侧为图兰平原,平原地区地势平坦,有利于发展种植业。同时,南侧地 区纬度相对较低,北侧纬度高,热量条件的差异,也影响着农业的生产类型。第 (2)题,锡尔河、阿姆河流域引水渠的空间分布差异主要从引水渠与河流的关系 进行比较描述。读图可知,锡尔河的引水渠分布于河流中上游,因为河流中上游 人口和城市相对较多,农业生产以种植业为主,所以需水量大,需要修建引水渠; 而阿姆河引水渠主要分布于河流中下游,中下游地区主要为图兰平原,人口、城 市多,便于开垦,需水量大,所以需要修建引水渠。 2.阅读图文材料,回答问题。 1968年,为缓解加利福尼亚州严重缺电问题,内华达州某企业修建了莫哈夫电 厂。经过与铁路运输的比较,1970年该电厂最终修建了输煤管道(下图),将凯恩 塔煤矿的煤炭破碎后,按照煤与水1∶1的比例制成煤浆,通过多级加压泵输送 至莫哈夫电厂发电,年运煤量约500万吨,使得莫哈夫电厂效益名列全美第二。 解释当时将凯恩塔煤矿的煤炭运往莫哈夫电厂不采用铁路而采用管道的经济目的。(6分) 答案 线路经过地区地势起伏大,与铁路相比,修建管道难度较小,工程量较小, 工期较短,建设成本较低;与铁路运输相比,管道运输煤炭损耗少,连续性好, 安全节能,运输成本较低。 解析 读图可知,凯恩塔煤矿与莫哈夫电厂的落差很大,说明此路线地势起伏大, 修建铁路成本高,工程量大;与铁路相比,修建管道难度较小,工程量较小,工 期较短,建设成本较低;从运输方式特点来看,管道运输具有损耗少、连续性好、 安全节能、运输成本较低的优点。 3.(2023·山西太原二模)阅读图文材料,回答问题。 贵州省西部的草海(下图)属封闭型的岩溶湖泊,是国家级自然保护区,湿地内仅 有几条季节性溪流发育。70万年来,在青藏高原整体抬升的背景下,草海湿地 西部地形抬升,湖泊面积及中心位置不断变化。近 5 000年,草海流域气候经历 温湿期和干凉期的交替变化,现在正处于干凉气候末期。 研究显示,与温湿期相比,现代草海湖中动物数量及种类较少,请分析原因。(6分) 答案 现代草海处于气候干凉期,湖泊面积较小;水温低,动物生长较慢,适宜 生存的动物种类较少;藻类、微生物和植物等生长缓慢,动物的食物较少。 解析 根据材料中“近5 000年,草海流域气候经历温湿期和干凉期的交替变化, 现在正处于干凉气候末期”可知,现在草海流域正处于干凉期,气温较低,气候 较干旱,湖泊面积较小;藻类、微生物和植物等生长缓慢,动物的食物较少;气 温低,导致动物生长繁殖较慢,并且适宜低温环境的动物种类较少;故与温湿期 相比,现代草海湖中动物数量及种类较少。 4.[2020·全国Ⅱ卷,36(3)]阅读图文材料,完成下列要求。 玉米油是利用玉米胚芽生产的一种谷物油脂,营养丰富,口味清香。玉米油生产 流程由毛油提取和毛油精炼等环节构成,胚芽的毛油提取率为 40%,由毛油到 精炼油的转化率为90%。山东邹平某公司是我国建设最早、目前规模最大的玉 米油产品研发和生产企业,其玉米油销售量占国内市场的 50%。该公司在山东 惠民、辽宁铁岭、内蒙古通辽和鄂尔多斯建有毛油压榨工厂,在公司本部、浙江 杭州、广东广州建有精炼油和小包装产品生产基地(下图),将毛油运输至精炼油 生产基地多使用集装箱液袋(一次性使用的储存和运输各种非危险液体货物的软体包装容器),使用罐箱或铁桶运输则越来越少。 推测并解释将毛油由铁岭运输到广州精炼油生产基地的合理交通方式,指出使用 集装箱液袋运输相对于使用铁桶运输的优势。(8分) 答案 合理交通方式为陆海联运;因为长距离海运费用较低,节约运输成本。相 比铁桶运输,使用集装箱液袋运输转运方便,只需单程运输,节约运输费用;液 袋可充分利用集装箱的空间,装载量大(具有规模运输优势)。 解析 毛油属于大宗物品,从降低运输成本的角度看,长距离运输应尽可能采用 水运。据图和所学知识可知,哈大铁路和沿海海运的陆海联运是最合理的运输方 式,即将毛油由铁岭运输到辽宁营口港或大连港,然后从海上运至广州港再转运 到精炼油生产基地。应主要从形态的可变性、空间利用率和返程运输成本等方面 分析铁桶与液袋运输的差异,然后找出液袋运输的优势。铁桶质量大,形态固定, 占用空间较大,而液袋多为塑料制品,质量小,形态具有可变性,可充分利用集 装箱的空间,因此运输量较大;运达目的地后,铁桶还要回收利用,空桶的返程 运输增加了成本,而液袋是塑料制品,成本低,可作为废品回收,不需要返程运输;在转运环节,集装箱比铁桶方便,转运效率高。 5.[全国Ⅰ卷,37(3)]阅读图文材料,完成下列要求。 山地垂直带内部的分异规律,日益为地理学研究所重视。在山地苔原带,植物多 样性存在随海拔升高呈单峰变化的规律;在山地苔原带下部,少数植物种类通过 种间竞争获得优势,植物多样性较低;随着海拔升高,环境压力变大,种间竞争 减弱,植物多样性升高;在更高海拔区域,适宜生存的植物种类减少。地理科考 队调查某山峰的苔原带(海拔2 000~2 600米)时发现,该苔原带部分地区存在干 扰,导致优势植物数量减少,植物多样性异常;阴、阳坡降水量与坡度差别不大, 但植物多样性差异显著(下图)。 分析与阴坡相比,苔原带阳坡地表温度和湿度的特点及产生原因。(6分) 答案 特点:阳坡地表温度高,湿度低(水分条件差)。原因:阳坡太阳辐射强, 地表温度高,蒸发强度大;阳坡融雪早,蒸发历时长。 解析 阳坡受太阳光照时间较长,获得太阳辐射多,所以温度高。根据材料可知, 阳坡与阴坡的降水条件、坡度差别不大,而导致阳坡与阴坡的植物多样性有明显差异,引起干扰的因素应为蒸发量导致的水分条件的差异,所以可以判断阳坡温 度高,蒸发量较阴坡大,湿度小。 6.[2020·天津卷,17(3)]阅读图文材料,回答问题。 贵州省自然环境复杂多样,岩溶地貌广布,旅游开发是当地脱贫致富的重要途径。 图1 贵州省及周边地区地形图 图2 贵州省1月、7月等温线分布图 兴义与铜仁相比,冬季气温高,夏季气温低,分析其形成原因。(8分) 答案 兴义比铜仁纬度低,冬季获得太阳辐射量较大(正午太阳高度更大,昼长 更长);受冬季风影响较小。所以兴义气温较高。夏季,两地获得太阳辐射量相 近(兴义正午太阳高度更大,昼长较短);但兴义海拔较高。所以兴义气温较低。 解析 影响气温的因素包括纬度(太阳辐射)、地形、大气环流、洋流、距海远近、下垫面、人类活动等,据图分析即可。