当前位置:首页>文档>第三部分第二章课时60 产业转型地区的结构优化——以美国休斯敦为例_9.2025地理总复习_2025年新高考资料_一轮复习_2025高考大一轮复习讲义+练习(完结)_第三部分区域发展

第三部分第二章课时60 产业转型地区的结构优化——以美国休斯敦为例_9.2025地理总复习_2025年新高考资料_一轮复习_2025高考大一轮复习讲义+练习(完结)_第三部分区域发展

  • 2026-03-18 04:38:21 2026-03-14 01:34:52

文档预览

第三部分第二章课时60 产业转型地区的结构优化——以美国休斯敦为例_9.2025地理总复习_2025年新高考资料_一轮复习_2025高考大一轮复习讲义+练习(完结)_第三部分区域发展
第三部分第二章课时60 产业转型地区的结构优化——以美国休斯敦为例_9.2025地理总复习_2025年新高考资料_一轮复习_2025高考大一轮复习讲义+练习(完结)_第三部分区域发展
第三部分第二章课时60 产业转型地区的结构优化——以美国休斯敦为例_9.2025地理总复习_2025年新高考资料_一轮复习_2025高考大一轮复习讲义+练习(完结)_第三部分区域发展
第三部分第二章课时60 产业转型地区的结构优化——以美国休斯敦为例_9.2025地理总复习_2025年新高考资料_一轮复习_2025高考大一轮复习讲义+练习(完结)_第三部分区域发展
第三部分第二章课时60 产业转型地区的结构优化——以美国休斯敦为例_9.2025地理总复习_2025年新高考资料_一轮复习_2025高考大一轮复习讲义+练习(完结)_第三部分区域发展
第三部分第二章课时60 产业转型地区的结构优化——以美国休斯敦为例_9.2025地理总复习_2025年新高考资料_一轮复习_2025高考大一轮复习讲义+练习(完结)_第三部分区域发展
第三部分第二章课时60 产业转型地区的结构优化——以美国休斯敦为例_9.2025地理总复习_2025年新高考资料_一轮复习_2025高考大一轮复习讲义+练习(完结)_第三部分区域发展
第三部分第二章课时60 产业转型地区的结构优化——以美国休斯敦为例_9.2025地理总复习_2025年新高考资料_一轮复习_2025高考大一轮复习讲义+练习(完结)_第三部分区域发展
第三部分第二章课时60 产业转型地区的结构优化——以美国休斯敦为例_9.2025地理总复习_2025年新高考资料_一轮复习_2025高考大一轮复习讲义+练习(完结)_第三部分区域发展

文档信息

文档格式
docx
文档大小
0.642 MB
文档页数
9 页
上传时间
2026-03-14 01:34:52

文档内容

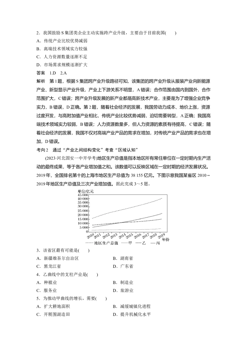
课时 60 产业转型地区的结构优化——以美国休斯敦为例 1.产业转型 (1)原因 传统产业存在着技术层次不高、创新能力不强、产品附加值低、原材料和能源消耗量大、环 境污染严重等问题,具有不可持续性。 (2)路径 ①产业延伸:依托原有产业基础发展下游产业,建立起关联与配套的产业群。 ②产业更新:建立起基本不依赖原有基础的全新产业群,把原先的产业资源转移到新兴产业 上来,把传统加工提升为智能制造。 ③综合发展:有的产业转型并非单一模式,而是多种模式的综合。 (3)影响因素 资源禀赋、产业基础、发展阶段、市场环境、经济政策、科技创新等,其中区域经济政策直 接影响到产业转型路径的选择。 特别提醒 我国三次产业的划分 产业 内容 第一产业 包括农业、林业、畜牧业和渔业 第二产业 包括采矿业、制造业、电力、热力、燃气、水生产和供应业、建筑业 第三产业 也称服务业,指除第一、第二产业以外的其他产业 思考 产业升级就是指三次产业的提升吗? 答案 不完全是。产业升级既包括三次产业之间的逐级提升,也包括三次产业内部的优化。 2.休斯敦的产业转型 (1)休斯敦发展概况 时间 发展概况 19世纪末之前 经济支柱是农牧业,是木材与棉花的集散地 东北部的石油钻探获得成功后,大量的炼油企业及与 1901~1929年 石油工业有关的生产生活服务业和制造业逐步发展起 来 得克萨斯州东部再次发现大油田及第二次世界大战给 1930年~20世纪70年代 休斯敦带来了第二次、第三次发展高潮,城市经济规 模不断扩大 世界石油价格暴涨,休斯敦石油、石化工业进入全盛 20世纪70年代 期,成为“世界能源之都”(2)休斯敦单一经济结构的弊端 严重依赖石油经济,产业结构存在严重缺陷。20世纪80年代中期,由于世界油价暴跌和石 化行业萧条,休斯敦的经济遭受沉重打击,大批工厂倒闭,大量工人失业,科技人才外流。 回归教材 读选择性必修2教材第53页“活动”,指出石油巨头更醉心于高额石油利润而 不愿意拓展产业链的原因。 答案 因为拓展产业链在短时期内一般会增加运营成本,不利于企业获取高额利润。 (3)休斯敦产业结构优化调整 ①立足于发达的石油工业,积极拓展石油工业产业链,带动机械、电子、电 措施 力、交通运输等部门的发展。②大力发展航天、医疗等高科技产业,促进城 市经济多元化 目前,休斯敦是美国石油工业和石化工业中心、航天中心和医疗中心,也是 结果 美国重要的国际金融中心和贸易中心,被称为“全球城市” 回归教材 读选择性必修2教材第55~56页“活动”材料,说出休斯敦把石化产业转移到 海外的目的。 答案 可以降低石化产业的比重,减少区域发展对单一石油产业的过度依赖,降低经济风险; 可以利用海外的廉价石油资源,降低生产成本;通过提供资金和技术获得项目的股份,提高 利润。 1.产业结构升级的路径 路径 具体内容 产业 在资源开发基础上,发展下游加工业,通过延长产业链建立资源深度加工和利用 延伸 的产业群 利用资源开发所积累的资金、技术和人才等,或者借助外部力量,建立起基本不 产业 依赖原有资源的全新产业群,把原来从事资源开发的人员转移到新兴的产业上 更新 来。摆脱对原有资源的依赖,是最彻底的产业转型模式 综合 在转型初期,采取产业延伸模式,随着加工业的发展,区域功能逐渐完善,新兴 发展 产业相继崛起,遂向综合性方向演化 技术 技术积累突破关键技术限制,实现产业转型的整体升级 突破 企业 通过国内外企业收购,获得技术或品牌,实现跨越式升级 收购 2.根据产业链附加值选择转型方向 微笑曲线(下图)显示出产业链不同环节的附加值高低,产业应该向附加值高的上游和下游延 伸,即重点发展产品的研发设计和市场营销。3.工业内部结构的变化 工业化可分为三个阶段: (1)以轻工业为中心的发展阶段。例如英国等欧洲发达国家的工业化过程是从纺织、粮食加 工等轻工业起步的。 (2)以重化工业为中心的发展阶段。在这个阶段,化工、冶金、金属制品、电力等重化工业 都有了很大发展,但发展最快的是化工、冶金等原材料工业。 (3)以新兴工业为主的发展阶段。随着加工程度的提高,产品的技术含量和附加值大大提高, 工业发展对技术装备的依赖大大提高。 (2023·山东地理)工业设计是以工业产品为对象,对产品的功能、形态等进行整合优化的 活动。广东省佛山市是珠江三角洲地区中小型制造企业集聚地之一。2010年,广东工业设 计城在佛山建成。经过十多年发展,该设计城已成为拥有近300家企业的产业基地,从最初 以承接产品外观设计为主,发展成为重要的原创产品发源地。据此完成1~3题。 1.影响诸多工业设计企业落户广东工业设计城的主导因素是( ) A.政策 B.市场 C.科技 D.劳动力 2.工业设计城建成后,当地制造企业积极与工业设计企业开展合作,其直接目的是( ) A.提高产品的竞争力 B.扩大产品销售市场 C.扩大企业生产规模 D.降低企业生产成本 3.工业设计城发展为原创产品发源地,主要体现在( ) A.用地规模变化 B.订单数量变化 C.管理模式改变 D.人才结构改变 [关键信息点拨] 工业设计是对工业产品的功能、形态等进行整合优化,可以提高产品竞争力,扩大销量, 提高经济效益。 佛山是珠江三角洲地区中小型制造企业集聚地,对工业产品外观设计需求大,为工业设计企业提供了广阔的市场。 原创产品生产属于技术密集型产业,对技术人才的需求增加,体现了本地人才结构的改 变。 [地理原理再现] 地区产业结构升级的一般规律 简述产业升级的一般规律。 答案 产业结构升级的核心是产品附加值的提高。通过产业升级,不仅可以带来利润率与生 产总值增长指数提高,还可以带来社会发展、生态效益的提高。通常表现为劳动力从第一产 业向第二、第三产业转移;国民经济重心由第一产业转向第二产业,进而转向第三产业;经 济增长方式在工业内部,由以轻纺工业为主上升到以重化工业为主;由以原材料为主上升到 以加工组装为主;由以低附加值的劳动密集型产业为主上升到以高附加值的技术密集型产业 为主。 答案 1.B 2.A 3.D 解析 第1题,由材料“广东省佛山市是珠江三角洲地区中小型制造企业集聚地之一”,得 出佛山市工业产品外观设计需求大,为工业设计企业提供了广阔的市场,选B。第2题,由 材料“工业设计是以工业产品为对象,对产品的功能、形态等进行整合优化的活动”,得出 当地制造企业与工业设计企业合作,可对产品的功能、形态等进行整合优化,进而提高产品 的市场竞争力,选A。第3题,结合所学知识可知原创产品技术含量高。由材料“从最初以 承接产品外观设计为主,发展成为重要的原创产品发源地”,得出工业设计城的人才结构发 生改变,选D。 考向1 通过“产业内部结构变化”考查“综合思维” (2024·浙江杭州模拟)跨产业升级是企业资源和能力积蓄的量变到战略性重大调整的质变 结果。下图示意我国S集团跨产业升级路径。据此完成1~2题。 1.S集团跨产业升级注重( ) A.发展下游关联产业 B.发展新型替代产业 C.收缩区域合作范围 D.增强企业竞争实力2.我国鼓励S集团类企业主动实施跨产业升级,主要由于目前我国( ) A.传统产业比较优势减弱 B.高端技术领域实力较强 C.人力资源数量逐渐不足 D.市场需求规模逐渐扩大 答案 1.D 2.A 解析 第1题,根据S集团跨产业升级路径可知,该集团的跨产业升级从服装产业向新能源 产业、新型显示产业升级,产业上下游关系不明显,A错误;合作范围由国内到国外,合作 范围扩大,C错误;跨产业升级发展的新产业都是高新技术产业,主要是为了增强企业竞争 实力,B错误,D正确。第2题,随着社会经济的发展,我国劳动力成本、地价上涨,资源 过度开发,与高附加值产业相比,传统产业比较优势减弱,迫切需要转型,A正确;我国高 端技术领域实力较弱,B错误;人力资源数量多,但人力资源的素质有待提高,C错误;随 着社会经济的发展,我国不仅对高端产业产品的需求在增加,对传统产业产品的需求也在增 加,D错误。 考向2 通过“产业之间结构变化”考查“区域认知” (2023·河北固安一中开学考)地区生产总值是指本地区所有常住单位在一定时期内生产活 动的最终成果,等于各产业增加值之和。该数值可以反映区域在一定时期的经济发展状况。 2019年,全国排名第十的上海市地区生产总值为38 155亿元。下图示意我国某省区2010~ 2019年地区生产总值及三次产业增加值。据此完成3~5题。 3.该省区最有可能是( ) A.新疆维吾尔自治区 B.湖南省 C.黑龙江省 D.广东省 4.乙曲线中的支柱产业是( ) A.种植业 B.制造业 C.服务业 D.旅游业 5.为推动甲曲线的增长,需要( ) A.扩大耕地面积 B.减缓城镇化进程 C.开展围湖造田 D.提升机械化水平答案 3.B 4.B 5.D 解析 第3题,由材料可知,在2019年上海市地区生产总值为38 155亿元,对比图中信息 可知,该省区2019年地区生产总值在40 000亿元左右,湖南省属于中部地区,经济发展水 平相对高,地区生产总值和上海较近,B正确;广东省位于我国沿海地带,经济发展水平高, 地区生产总值较高,在全国排名第一,D错误;新疆维吾尔自治区和黑龙江省相比上海来说, 经济发展水平相差较大,2019年地区生产总值不可能和上海相近,A、C错误。第4题,由 图可知,甲曲线在地区生产总值中所占比重较小,且在2010~2019年之间变化较平缓,应 该为第一产业,A错误;乙曲线在2010~2013年之间在地区生产总值中所占比重最大,且 在以后有所提高,但变化较小,应该是第二产业,其支柱产业是制造业,B正确;丙曲线增 长较快,且在2014年所占比重已经超过甲、乙曲线,应是第三产业,旅游业是服务业的组 成部分,C、D错误。第5题,由上题可知,甲曲线代表第一产业,提升机械化水平有利于 提高生产效率,推动第一产业发展,D正确;不能盲目扩大耕地面积,且湖南省后备土地资 源不足,A错误;城镇化进程是经济发展的趋势,减缓城镇化会阻碍经济的发展,B错误; 开展围湖造田,会缩小湖泊面积,使湖泊调蓄功能减弱,C错误。 课时精练 (2024·山东烟台模拟)景德镇是我国陶瓷名城,有几百家陶瓷生产企业。2022年,三家 分别从事先进材料制造、数字化软件建模和3D工业打印的知名公司,在景德镇成立了一家 合资企业,进行数字化精密陶瓷3D打印相关材料与设备的研发销售活动。陶瓷生产企业在 传统陶瓷技艺基础上,利用该企业的新材料和技术设备可以制作出全新、精密、复杂的陶瓷 产品。据此完成1~3题。 1.三家公司成立合资企业的主要目的是( ) A.获得充足资金 B.优势技术合作 C.实现规模效益 D.提高品牌效应 2.景德镇吸引三家公司在此成立合资企业的主要优势条件是( ) A.优惠政策 B.产品原料 C.市场潜力 D.陶瓷技艺 3.该合资企业的成立对景德镇陶瓷产业的最主要影响是( ) A.提高生产效率 B.传承传统技艺 C.扩大生产规模 D.促进产业升级 答案 1.B 2.C 3.D 解析 第1题,三家公司分别从事不同领域的生产活动,且在各自领域较为知名,成立合资 企业主要目的是进行优势技术合作,共同进行数字化精密陶瓷3D打印相关材料与设备的研发销售活动,B正确。第2题,该合资企业主要发挥三家公司各自优势技术进行新型陶瓷相 关材料、设备的研发和销售,并不直接生产陶瓷,而是帮助陶瓷企业在传统陶瓷技艺的基础 上,利用该合资企业的新材料和设备生产出全新、精密、复杂的陶瓷产品。该合资企业是为 陶瓷生产企业服务的,所以景德镇几百家陶瓷生产企业是该合资企业研发的材料和设备的潜 在市场,也是景德镇吸引该合资企业入驻的主要原因,C正确。 第3题,该合资企业利用 先进技术和设备可以帮助陶瓷生产企业制造出全新、精密、复杂的陶瓷产品,可以丰富景德 镇陶瓷产品类型,革新陶瓷生产工艺,提高陶瓷产品的附加值,促进景德镇陶瓷产业的转型 升级,D正确。 下图示意湖南省产业比重变化,自内向外环形分别代表1980年、2000年和2020年。读 图完成4~5题。 4.有关图中数据的分析,正确的是( ) A.1980年第一产业比重最小 B.2020年第三产业比重最大 C.第一产业比重一直在上升 D.第三产业比重一直在下降 5.从湖南省产业结构的变化趋势,可推知( ) A.工业化停滞不前 B.产业结构没有得到优化 C.第二产业作用越来越突出 D.城镇化水平明显上升 答案 4.B 5.D 解析 第4题,由图中信息可知,1980年第三产业比重最小,A错误;2020年第三产业比 重最大,B正确;第一产业比重一直在下降,C错误;第三产业比重一直在上升,D错误。 第5题,读图可知,湖南省产业结构表现为1980年以第一产业为主;2000年第一产业比重 明显下降,第二、第三产业所占比重提高;2020年以第三产业为主,第一产业所占比例很 小。由此可推知湖南省工业化稳步提升;产业结构得到优化;第三产业作用越来越突出;城 镇化水平明显上升,选D。 (2024·辽宁沈阳模拟)江苏省海洋资源丰富,但沿海地区经济发展相对滞缓。为此,江苏 省着力推动沿海地区经济高质量发展。下图为“江苏省海洋经济隆起带规划示意图”。据此 完成6~7题。6.江苏省沿海三市( ) A.岸线长度相当 B.深水良港遍布 C.滩涂资源丰富 D.淡水资源缺乏 7.推动江苏沿海经济高质量发展的有效措施是( ) A.增建沿海港口,促进要素流动 B.大力围滩造陆,增加土地资源 C.加快科技创新,助推产业转型 D.建设油气基地,缓解能源不足 答案 6.C 7.C 解析 第6题,读图可知,盐城市的海岸线长度明显长于连云港市,A错误;江苏省沿海海 岸类型主要为淤泥质海岸,海水较浅,缺少深水良港,多沿海滩涂,B错误、C正确;江苏 省沿海三市地处沿海,水汽来源充足,属季风气候,气候湿润,淡水资源并不缺乏,D错误。 第7题,江苏省的海岸类型多为淤泥质海岸,建港条件较差,增建沿海港口对推动经济发展 作用有限,A错误;大力围滩造陆会破坏沿海生态环境,B错误;经济高质量发展离不开高 科技产业的推动,需要加快科技创新,助推江苏省产业转型,C正确;江苏省石油和天然气 资源储量较小,且发展能源产业不是促进区域经济高质量发展的有效措施,D错误。 8.(2023·山东泰安模拟)阅读图文材料,完成下列要求。(12分) 城市产业用地是指城镇范围内的第二、第三产业用地,依用地来源是否已被建设占用可 将其分为存量用地和新增用地。广州市城镇化和经济的发展速度快、水平高,其城市土地供 应与产业用地需求之间的矛盾具有典型代表性。下图为2008~2019年广州市第二、第三产 业供地比重及中心城区、近郊区和远郊区产业用地中存量用地占比变化。虽然广州第二产业 供地比重总体降低,但其内部的电热燃气及水生产供应和建筑业的供地比重却略有增加。(1)分析2008~2019年广州中心城区产业用地中存量用地占比远高于郊区的主要原因。(4分) (2)依据广州第二和第三产业供地比重变化趋势推测广州经济结构的转型方向。(4分) (3)从城镇化角度,说明建筑业供地比重略有增加的原因。(4分) 答案 (1)中心城区土地面积有限,且已被建设占用的区域面积占比高,对原有低效建设用 地的更新、改造和挖掘,是供应第二、第三产业发展的主要土地来源,故产业用地中存量用 地占比高;而(近、远)郊区的土地面积大,已被建设占用的区域面积占比低,第二、第三产 业发展可征用的未建设土地多,(产业用地中)以新增土地为主,故存量用地占比低。 (2)第三产业供地比重一直远高于第二产业,且与第二产业供地比重的差距整体拉大;说明 广州经济结构逐渐向第三产业(服务业)转型。 (3)随着广州经济和城市的发展,人口规模增加、用地规模扩大,对商业楼宇、住房、配套 市政等各类基础设施需求增加,所需用地多,故建筑业供地比重略有增加。