当前位置:首页>文档>第三部分第二章课时60 产业转型地区的结构优化——以美国休斯敦为例_9.2025地理总复习_2025年新高考资料_一轮复习_2025高考大一轮复习讲义+练习(完结)_大一轮复习讲义

第三部分第二章课时60 产业转型地区的结构优化——以美国休斯敦为例_9.2025地理总复习_2025年新高考资料_一轮复习_2025高考大一轮复习讲义+练习(完结)_大一轮复习讲义

  • 2026-04-04 20:48:18 2026-03-14 01:34:32

文档预览

第三部分第二章课时60 产业转型地区的结构优化——以美国休斯敦为例_9.2025地理总复习_2025年新高考资料_一轮复习_2025高考大一轮复习讲义+练习(完结)_大一轮复习讲义
第三部分第二章课时60 产业转型地区的结构优化——以美国休斯敦为例_9.2025地理总复习_2025年新高考资料_一轮复习_2025高考大一轮复习讲义+练习(完结)_大一轮复习讲义
第三部分第二章课时60 产业转型地区的结构优化——以美国休斯敦为例_9.2025地理总复习_2025年新高考资料_一轮复习_2025高考大一轮复习讲义+练习(完结)_大一轮复习讲义
第三部分第二章课时60 产业转型地区的结构优化——以美国休斯敦为例_9.2025地理总复习_2025年新高考资料_一轮复习_2025高考大一轮复习讲义+练习(完结)_大一轮复习讲义
第三部分第二章课时60 产业转型地区的结构优化——以美国休斯敦为例_9.2025地理总复习_2025年新高考资料_一轮复习_2025高考大一轮复习讲义+练习(完结)_大一轮复习讲义

文档信息

文档格式
docx
文档大小
0.443 MB
文档页数
5 页
上传时间
2026-03-14 01:34:32

文档内容

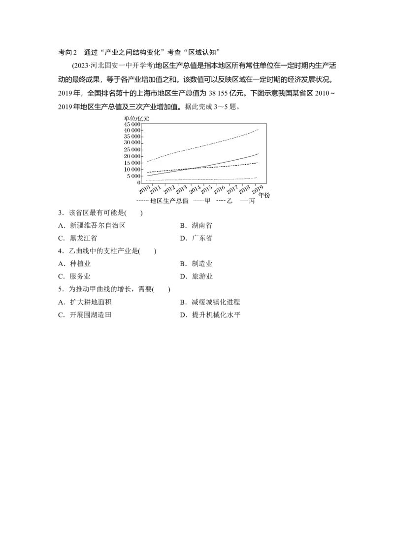
课时 60 产业转型地区的结构优化——以美国休斯敦为例 1.产业转型 (1)原因 传统产业存在着技术层次不____、创新能力不强、产品________低、原材料和能源消耗量大、 环境污染严重等问题,具有不可持续性。 (2)路径 ①产业________:依托原有产业基础发展下游产业,建立起关联与配套的产业群。 ②产业________:建立起基本不依赖原有基础的______产业群,把原先的产业资源转移到新 兴产业上来,把传统加工提升为智能制造。 ③综合发展:有的产业转型并非单一模式,而是多种模式的综合。 (3)影响因素 资源禀赋、产业基础、发展阶段、________环境、经济政策、科技创新等,其中区域经济 ________直接影响到产业转型路径的选择。 特别提醒 我国三次产业的划分 产业 内容 第一产业 包括农业、林业、畜牧业和渔业 第二产业 包括采矿业、制造业、电力、热力、燃气、水生产和供应业、建筑业 第三产业 也称服务业,指除第一、第二产业以外的其他产业 思考 产业升级就是指三次产业的提升吗? ________________________________________________________________________ ________________________________________________________________________ ________________________________________________________________________ 2.休斯敦的产业转型 (1)休斯敦发展概况 时间 发展概况 19世纪末之前 经济支柱是________,是木材与棉花的集散地 东北部的石油钻探获得成功后,大量的________企业 1901~1929年 及与石油工业有关的生产生活服务业和制造业逐步发 展起来 得克萨斯州东部再次发现大油田及第二次世界大战给 1930年~20世纪70年代 休斯敦带来了第二次、第三次发展高潮,城市______规模不断扩大 世界石油价格暴涨,休斯敦石油、石化工业进入 20世纪70年代 ________期,成为“世界能源之都” (2)休斯敦单一经济结构的弊端 严重依赖________经济,产业结构存在严重缺陷。20世纪80年代中期,由于世界油价 ________和石化行业萧条,休斯敦的经济遭受沉重打击,大批工厂倒闭,大量工人________, 科技人才外流。 回归教材 读选择性必修2教材第53页“活动”,指出石油巨头更醉心于高额石油利润而 不愿意拓展产业链的原因。 ________________________________________________________________________ ________________________________________________________________________ (3)休斯敦产业结构优化调整 ①立足于发达的石油工业,积极拓展石油工业________,带动机械、电子、 措施 电力、交通运输等部门的发展。②大力发展航天、医疗等______产业,促进 城市经济__________ 目前,休斯敦是美国石油工业和________工业中心、航天中心和医疗中心, 结果 也是美国重要的国际金融中心和________中心,被称为“全球城市” 回归教材 读选择性必修2教材第55~56页“活动”材料,说出休斯敦把石化产业转移到 海外的目的。 ________________________________________________________________________ ________________________________________________________________________ 1.产业结构升级的路径 路径 具体内容 产业 在资源开发基础上,发展下游加工业,通过延长产业链建立资源深度加工和利用 延伸 的产业群 利用资源开发所积累的资金、技术和人才等,或者借助外部力量,建立起基本不 产业 依赖原有资源的全新产业群,把原来从事资源开发的人员转移到新兴的产业上 更新 来。摆脱对原有资源的依赖,是最彻底的产业转型模式 综合 在转型初期,采取产业延伸模式,随着加工业的发展,区域功能逐渐完善,新兴 发展 产业相继崛起,遂向综合性方向演化 技术 技术积累突破关键技术限制,实现产业转型的整体升级 突破 企业 通过国内外企业收购,获得技术或品牌,实现跨越式升级收购 2.根据产业链附加值选择转型方向 微笑曲线(下图)显示出产业链不同环节的附加值高低,产业应该向附加值高的上游和下游延 伸,即重点发展产品的研发设计和市场营销。 3.工业内部结构的变化 工业化可分为三个阶段: (1)以轻工业为中心的发展阶段。例如英国等欧洲发达国家的工业化过程是从纺织、粮食加 工等轻工业起步的。 (2)以重化工业为中心的发展阶段。在这个阶段,化工、冶金、金属制品、电力等重化工业 都有了很大发展,但发展最快的是化工、冶金等原材料工业。 (3)以新兴工业为主的发展阶段。随着加工程度的提高,产品的技术含量和附加值大大提高, 工业发展对技术装备的依赖大大提高。 (2023·山东地理)工业设计是以工业产品为对象,对产品的功能、形态等进行整合优化的 活动。广东省佛山市是珠江三角洲地区中小型制造企业集聚地之一。2010年,广东工业设 计城在佛山建成。经过十多年发展,该设计城已成为拥有近300家企业的产业基地,从最初 以承接产品外观设计为主,发展成为重要的原创产品发源地。据此完成1~3题。 1.影响诸多工业设计企业落户广东工业设计城的主导因素是( ) A.政策 B.市场 C.科技 D.劳动力 2.工业设计城建成后,当地制造企业积极与工业设计企业开展合作,其直接目的是( ) A.提高产品的竞争力 B.扩大产品销售市场 C.扩大企业生产规模 D.降低企业生产成本 3.工业设计城发展为原创产品发源地,主要体现在( )A.用地规模变化 B.订单数量变化 C.管理模式改变 D.人才结构改变 [关键信息点拨] 工业设计是对工业产品的功能、形态等进行整合优化,可以提高产品____________,扩大 销量,提高经济效益。 佛山是珠江三角洲地区中小型制造企业集聚地,对工业产品外观设计需求大,为工业设计 企业提供了广阔的市场。 原创产品生产属于________密集型产业,对技术人才的需求增加,体现了本地人才结构的 改变。 [地理原理再现] 地区产业结构升级的一般规律 简述产业升级的一般规律。 ________________________________________________________________________ ________________________________________________________________________ 答案 1.____ 2.____ 3.____ 考向1 通过“产业内部结构变化”考查“综合思维” (2024·浙江杭州模拟)跨产业升级是企业资源和能力积蓄的量变到战略性重大调整的质变 结果。下图示意我国S集团跨产业升级路径。据此完成1~2题。 1.S集团跨产业升级注重( ) A.发展下游关联产业 B.发展新型替代产业 C.收缩区域合作范围 D.增强企业竞争实力 2.我国鼓励S集团类企业主动实施跨产业升级,主要由于目前我国( ) A.传统产业比较优势减弱 B.高端技术领域实力较强 C.人力资源数量逐渐不足 D.市场需求规模逐渐扩大考向2 通过“产业之间结构变化”考查“区域认知” (2023·河北固安一中开学考)地区生产总值是指本地区所有常住单位在一定时期内生产活 动的最终成果,等于各产业增加值之和。该数值可以反映区域在一定时期的经济发展状况。 2019年,全国排名第十的上海市地区生产总值为38 155亿元。下图示意我国某省区2010~ 2019年地区生产总值及三次产业增加值。据此完成3~5题。 3.该省区最有可能是( ) A.新疆维吾尔自治区 B.湖南省 C.黑龙江省 D.广东省 4.乙曲线中的支柱产业是( ) A.种植业 B.制造业 C.服务业 D.旅游业 5.为推动甲曲线的增长,需要( ) A.扩大耕地面积 B.减缓城镇化进程 C.开展围湖造田 D.提升机械化水平