当前位置:首页>文档>类型15产业(农、工、服)(原卷版)_9.2025地理总复习_2023年新高考复习资料_专项复习_2023年高考地理实践力之图形绘制或填涂类题型突破(新高考)

类型15产业(农、工、服)(原卷版)_9.2025地理总复习_2023年新高考复习资料_专项复习_2023年高考地理实践力之图形绘制或填涂类题型突破(新高考)

  • 2026-04-02 03:44:52 2026-03-14 04:38:41

文档预览

类型15产业(农、工、服)(原卷版)_9.2025地理总复习_2023年新高考复习资料_专项复习_2023年高考地理实践力之图形绘制或填涂类题型突破(新高考)
类型15产业(农、工、服)(原卷版)_9.2025地理总复习_2023年新高考复习资料_专项复习_2023年高考地理实践力之图形绘制或填涂类题型突破(新高考)
类型15产业(农、工、服)(原卷版)_9.2025地理总复习_2023年新高考复习资料_专项复习_2023年高考地理实践力之图形绘制或填涂类题型突破(新高考)
类型15产业(农、工、服)(原卷版)_9.2025地理总复习_2023年新高考复习资料_专项复习_2023年高考地理实践力之图形绘制或填涂类题型突破(新高考)
类型15产业(农、工、服)(原卷版)_9.2025地理总复习_2023年新高考复习资料_专项复习_2023年高考地理实践力之图形绘制或填涂类题型突破(新高考)
类型15产业(农、工、服)(原卷版)_9.2025地理总复习_2023年新高考复习资料_专项复习_2023年高考地理实践力之图形绘制或填涂类题型突破(新高考)
类型15产业(农、工、服)(原卷版)_9.2025地理总复习_2023年新高考复习资料_专项复习_2023年高考地理实践力之图形绘制或填涂类题型突破(新高考)
类型15产业(农、工、服)(原卷版)_9.2025地理总复习_2023年新高考复习资料_专项复习_2023年高考地理实践力之图形绘制或填涂类题型突破(新高考)
类型15产业(农、工、服)(原卷版)_9.2025地理总复习_2023年新高考复习资料_专项复习_2023年高考地理实践力之图形绘制或填涂类题型突破(新高考)
类型15产业(农、工、服)(原卷版)_9.2025地理总复习_2023年新高考复习资料_专项复习_2023年高考地理实践力之图形绘制或填涂类题型突破(新高考)
类型15产业(农、工、服)(原卷版)_9.2025地理总复习_2023年新高考复习资料_专项复习_2023年高考地理实践力之图形绘制或填涂类题型突破(新高考)

文档信息

文档格式
docx
文档大小
5.282 MB
文档页数
11 页
上传时间
2026-03-14 04:38:41

文档内容

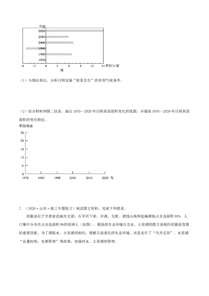
类型15产业(农、工、服) 1.(2022·北京石景山·一模)2022年2月4日至20日,北京联合张家口成功举办了第24届冬季奥林匹 克运动会。以此为契机,张家口经济发生了巨大的变化。下图为张家口市及周边地区示意图,下表为2014 至2019年张家口市三大产业GDP占比统计数据。回答下列问题。 年份 第一产业(%) 第二产业(%) 第三产业(%) 2014 17.76 42.66 39.58 2015 17.87 40.01 42.12 2016 18.15 37.32 44.53 2017 14.06 35.81 50.13 2018 14.75 33.74 51.52 2019 15.72 28.72 55.57 (1)在表中选择三个代表性年份的数据,绘制张家口市产业结构变化图____,并据此说明其整体变化特点 ____。张家口市出台了《中国数坝·张家口市大数据产业发展规划(2019-2025年)》,全市逐步形成了 张北云计算基地等多个核心产业园区。云计算基地集中了数十万台服务器,需要消耗大量的电能为服务器 “散热”。 (2)分析张北建设云计算基地的优势条件。 张家口市宣化区有1300多年的葡萄栽培历史,以庭院式栽培为主(下图),漏斗型葡萄架形成独特的文化景观,成为第一个入选全球重要农业文化遗产的城市农业文化遗产。葡萄架向上倾斜30°~35°,呈 放射状,结构稳定。漏斗葡萄果粒大、皮薄、肉厚、味甜。 (3)概述当地漏斗葡萄品质高的条件。 2.(2022·北京东城·一模)阅读图文材料,回答下列问题。 北京某校学生在石景山区开展实践活动,探究石景山区近年来的发展情况(如下图)。任务一 调查石景山区的产业结构。 石景山区抓住服务北京2022年冬奥会和打造新时代首都城市复兴新地标的两大机遇,进行产业结构调 整。下表为石景山区第二产业、第三产业产值所占比例。 第二产业 第三产业产值 产值占比 占比(%) (%) 2007年 67.3 32.7 2010年 43.0 57.0 2013年 36.5 63.5 2016年 30.3 69.7 2019年 16.7 83.3 (1)补充完成石景山区产业结构变化统计图,据图说出其产业结构的变化特征。任务二 分析石景山区的产业转型。 2010年底首钢北京地区钢铁冶炼全面停产,腾退出的空间建成为“新首钢高端产业综合服务区”,发 展高新技术产业、高端制造业,商务、金融、会展等生产性服务业,以及数字娱乐、工业设计等文化创意 产业。 (2)说明石景山区建设“新首钢高端产业综合服务区”的优势条件。 任务三 探索石景山区的“冬奥”之约。 北京冬奥公园地处石景山区西部、永定河畔,是北京2022年冬奥会赛区之一。园区的老旧工业厂房、 仓储用房及相关工业设施,已陆续被改造为科技主题乐园、冬奥训练场馆等。图为冷却塔旁的冬奥滑雪大 跳台,被称为“雪飞天”,赛后将永久保留,并用于大众休闲健身活动。 (3)简述北京冬奥公园的建设对石景山区社会经济发展的积极作用。 3.(2022·北京·高三专题练习)挪威被誉为“电动汽车王国”,是全球电动汽车销量占比最高的国家。读下图和表,回答下列问题。 (1)分析挪威海岸线特点对其经济发展的有利影响。 挪威各能源形式汽车市场占有率(%) 混合动力 年份 电动车 汽油车 柴油车 车 2011年 1.7 2.5 20.1 75.7 2020年 54 29 8 9 (2)绘制统计图,说出挪威汽车市场占有率的变化。 4.(2021·全国·高三专题练习)读图文资料,完成下列问题。 2015—2019年我国快递业务量及其增长速度统计表年份 2015 2016 2017 2018 2019 206. 400. 快递业务量(亿件) 312.8 507.1 635.2 7 6 快递业务量的增长速度(%) 48.0 51.4 28.0 26.6 25.3 (1)为了能够清晰、直观表示出2015-2019年我国快递业务量的增长,请从表中选择一组恰当的数据绘制 统计图。 (2)概括我国2015-2019年快递业务量的变化特点。 (3)目前,全国范围内的快递业务主要依赖公路运输,指出快递业务较多选择公路运输的原因。 5.(2020·山东省济北中学高三阶段练习)阅读图文资料,回答下面问题。 小麦“蒙头水”是指小麦播种后萌芽前田间进行灌溉的统称。河南省小麦主产区每年秋季播种后都要 浇灌“蒙头水”。2018年初,河南省以农业供给侧结构性改革为主线,大力发展“四优农业”(优质小麦、优质花生、优质草畜、优质林果),推动农业提质增效,加快了河南农业现代化步伐。某学校地理兴趣小 组为研究“四优农业”,收集到河南省主产区小麦圈生育期过程及气候资料和河南省地形分布图。 月份 10月 11月 12月 1月 2月 3月 4月 5月 6月 月平均气温(℃) 14 6 0 —2 1 8 16 21 26 月降水量(mm) 27 13 5 4 7 12 18 37 57 生育期 播种发芽成苗期 越冬休眠期 返青拔节抽穗期 成熟收割期 (1)河南省小麦全生育期内气象灾害严重。指出小麦返青拔节抽穗期易遭受的一种气象灾害,并说明其 成因。 (2)根据河南小麦主产区典型测站的气候资料绘制各月气温变化曲线图,并结合气候资料分析“蒙头 水”对该地秋冬季节小麦生长的主要作用。(3)从土地角度说明河南发展“四优“农业的有利条件。 6.(2020·山东潍坊·高三开学考试)阅读图文资料,完成下列要求。 茶树,常绿灌木,喜湿怕涝,喜温怕寒。1966年,日照开始引种茶树,成活8.7亩,拉开“南茶北 引”的序幕。到2020年,日照茶园面积已发展到30万亩。日照绿茶以“叶厚、耐冲、黄绿汤、板栗香” 的独特品质,被农业部批准登记为农产品地理标志。日照岚山区荣获“全国特色产茶县”和“中国名茶之 乡”称号。图一示意山东半岛地形。图二示意1970~2020年日照茶园面积增量统计。(1)与烟台相比,分析日照实施“南茶北引”的有利气候条件。 (2)结合材料和图二信息,画出1970~2020年日照茶园面积变化折线图,并描述1970~2020年日照茶园 面积的变化特征。 7.(2020·山东·高三专题练习)阅读图文资料,完成下列要求。 民勤县位于甘肃省武威市北部,石羊河下游,沙漠、戈壁、剥蚀山地和盐碱滩地占全县面积91%,人 口集中分布在占全县面积9%的绿洲上(如图)。脆弱的生态环境以及水、土资源的匮乏是制约民勤县发展 的重要因素。为了摆脱水、土资源的制约,缓解日益恶化的生态环境,该县实行了“关井压田”、水资源 “总量控制,定额管理”等政策,加强对水、土资源的管理。水、土资源政策对当地农户的生计造成了巨大冲击。为解决生计问题,当地政府制定了提高水、土资 源利用率的一系列措施。下表为该县部分农户(567户)选择生计措施的情况。 请绘制柱状统计图,表示出选择不同措施的农户数占总户数的比例,并说出农户选择的主要特点。