当前位置:首页>文档>广东省珠海市教研联盟校2022-2023学年高三10月联考政治试题_8.2025政治总复习_2023年新高考资料_3政治高考模拟题_新高考

广东省珠海市教研联盟校2022-2023学年高三10月联考政治试题_8.2025政治总复习_2023年新高考资料_3政治高考模拟题_新高考

  • 2026-04-03 08:08:04 2026-03-15 04:03:58

文档预览

广东省珠海市教研联盟校2022-2023学年高三10月联考政治试题_8.2025政治总复习_2023年新高考资料_3政治高考模拟题_新高考
广东省珠海市教研联盟校2022-2023学年高三10月联考政治试题_8.2025政治总复习_2023年新高考资料_3政治高考模拟题_新高考
广东省珠海市教研联盟校2022-2023学年高三10月联考政治试题_8.2025政治总复习_2023年新高考资料_3政治高考模拟题_新高考
广东省珠海市教研联盟校2022-2023学年高三10月联考政治试题_8.2025政治总复习_2023年新高考资料_3政治高考模拟题_新高考
广东省珠海市教研联盟校2022-2023学年高三10月联考政治试题_8.2025政治总复习_2023年新高考资料_3政治高考模拟题_新高考
广东省珠海市教研联盟校2022-2023学年高三10月联考政治试题_8.2025政治总复习_2023年新高考资料_3政治高考模拟题_新高考
广东省珠海市教研联盟校2022-2023学年高三10月联考政治试题_8.2025政治总复习_2023年新高考资料_3政治高考模拟题_新高考
广东省珠海市教研联盟校2022-2023学年高三10月联考政治试题_8.2025政治总复习_2023年新高考资料_3政治高考模拟题_新高考
广东省珠海市教研联盟校2022-2023学年高三10月联考政治试题_8.2025政治总复习_2023年新高考资料_3政治高考模拟题_新高考
广东省珠海市教研联盟校2022-2023学年高三10月联考政治试题_8.2025政治总复习_2023年新高考资料_3政治高考模拟题_新高考
广东省珠海市教研联盟校2022-2023学年高三10月联考政治试题_8.2025政治总复习_2023年新高考资料_3政治高考模拟题_新高考

文档信息

文档格式
docx
文档大小
0.322 MB
文档页数
11 页
上传时间
2026-03-15 04:03:58

文档内容

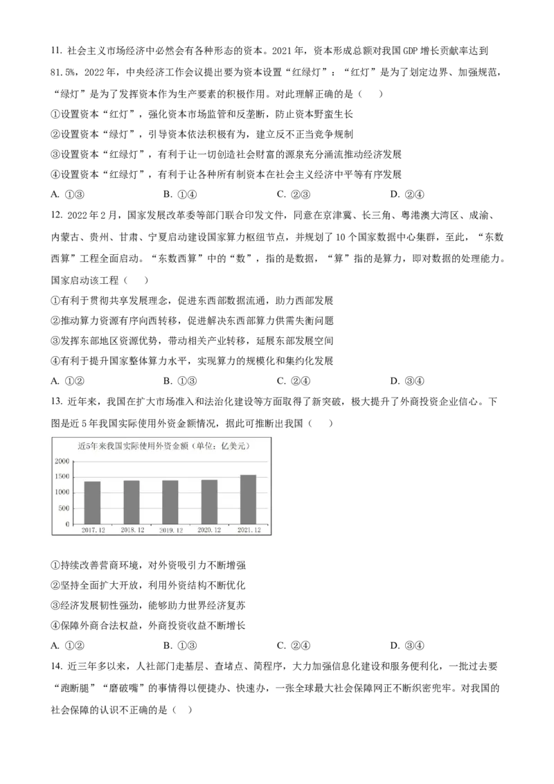
珠海市教研联盟校 2023 届高三联考 思想政治试题 一、选择题:本题共 16小题,每小题3分,共48分。每小题给出四个选项中,只有一项是 最符合题目要求的。 1. 17世纪的英国资产阶级革命和18世纪的法国资产阶级革命,迅速让资本主义在全世界蔓延。许多国家 在资产阶级的领导下,推翻封建统治阶级,建立了资本主义国家。资本主义社会与封建社会相比较,其进 步性主要表现在( ) ①阶级剥削被民主制度所取代 ②专制制度被民主制度所取代 ③等级思想被平等思想所取代 ④劳动者占有生产资料逐渐增多 A. ①② B. ①④ C. ③④ D. ②③ 2. 习近平总书记指出:“中国共产党人是孙中山先生革命事业最坚定的支持者、最忠诚的合作者、最忠实 的继承者。中国共产党人不断实现和发展了孙中山先生和辛亥革命先驱的伟大抱负,创造了社会主义革命 和建设的伟大成就。”对此,认识正确的是( ) ①辛亥革命以来的历史证明实现民族复兴要依靠中国人民自己的英勇奋斗 ②社会主义革命和建设取得成就的最根本的原因是中国共产党的坚强领导 ③社会主义革命完成了辛亥革命未完成 的民族独立、人民解放的历史任务 ④社会主义革命和建设时期与辛亥革命时期的社会基本矛盾是根本不同的 A. ①② B. ①④ C. ②③ D. ③④ 3. 中国己经成为世界第二大经济体、第一大工业国、第一大货物贸易国、第一大外汇储备国,世界经济增 长的主要稳定器和动力源,书写了世界上“最成功的脱贫故事”……40多年来,“改革开放是中国和世界 共同发展进步的伟大历程”,对此分折正确的是( ) ①改革开放的成功鼓舞了亚非拉人民争取民族独立、走向国家富强的斗争 ②改革开放开启了社会主义革命和建设的新时期,改变了中华民族的面貌 ③改革开放的理论和实践探索成功开创、坚持和发展了中国特色社会主义 ④以我国发展为契机,让更多国家搭上了我国发展快车,推动了共同繁荣 A. ①② B. ②③ C. ③④ D. ①④ 4. 为迎接党的二十大胜利召开,中共中央宣传部举行“中国这十年”系列主题新闻发布会,介绍在以习近 平同志为核心的党中央坚强领导下,党和国家事业取得的历史性成就、发生的历史性变革。回眸十年逐梦 路,实践证明( )①中国梦同世界人民的梦想息息相通 ②中国梦的深厚源泉是持续奋斗的精神 ③中国梦让我国社会主要矛盾发生历史性变化 ④中国梦把国家追求、民族向往、人民期盼融为一体 A. ①③ B. ①④ C. ②③ D. ②④ 5. 习近平总书记用典是习近平新时代中国特色社会主义思想与中华优秀传统文化的对接与交融,是中国智 慧、中国力量、中国风范的当代体现。下列用典与习近平新时代中国特色社会主义思想核心内容对应一致 的是( ) A. 四维不张,国乃灭亡——坚持推动构建人类命运共同体 B. 奉法者强则国强,奉法者弱则国弱——坚持总体国家安全观 C. 政之所兴在顺民心,政之所废在逆民心——坚持以人民为中心 D. 治国犹如栽树,本根不摇则枝叶茂荣——坚持人与自然和谐共生 6. 党的十九届六中全会明确指出,确立习近平同志党中央的核心、全党的核心地位,确立习近平新时代中 国特色社会主义思想的指导地位。“两个确立”反映了全党全军全国各族人民共同心愿,具有决定性意义, 是十九届六中全会的重大历史性贡献。“两个确立”的依据是( ) ①新征程上继续走好赶考之路的必要要求,是历史必然和人心所向 ②坚强的领导核心和科学的理论指导是关乎党和人民事业成功的根本性问题 ③习近平新时代中国特色社会主义思想成功把中国特色社会主义推向21世纪 ④伟大事业统领伟大工程,在实现中华民族伟大复兴的过程中起决定性作用 A. ①② B. ①④ C. ②③ D. ③④ 的 7. 某村让村民以土地和资金入股,建立村股份合作社。把原来 土地整合成片,苹果、红提、樱桃等产业 快速发展,建设养鸭基地并陆续发展出鸭饼厂、饲料厂、农肥厂等产业链,产业致富之路越走越宽广。该 村的致富之路有( ) ①优化农村土地资源,推进适度规模化经营②打造农业特产品牌,确保产品的优良品质 ③探索新的经营业态,提升粗放型发展水平 ④以土地和资金入股,增加村民财产性收入 A. ①③ B. ①④ C. ②③ D. ②④ 8. 2021年12月6日,我国以综合物流作为主业、由国务院国资委直接监管的一家股权多元化的新央企 ——中国物流集团有限公司(以下简称中国物流集团)正式揭牌成立。新组建的中国物流集团以原中国铁 路物资集团有限公司(央企)与中国诚通控股集团有限公司(央企)物流板块的4家公司为基础整合而成, 拥有600多个分支机构,拥有铁路专用线120条,期货交割仓库42座,整合专业公路货运车辆近300万辆。 组建中国物流集团( ) ①是对中央企业物流业务实施专业化整合的重要举措 ②是着眼于国有经济布局优化和结构调整的实际行动 ③是通过发行股票以壮大国有经济竞争力的有益尝试 ④是调动不同所有制企业积极性和创造性的可行方案 A. ①② B. ①③ C. ②④ D. ③④ 9. 逆回购是指中国人民银行向一级交易商(商业银行或证券公司)购买有价证券的交易行为。2022年2月 份以来,央行加大了逆回购操作力度,2月21日至2月28日,央行分别开展七天逆回购操作,累计向市场 投放10100亿元。央行开展七天逆回购操作旨在( ) ①增加市场的流动性 ②减轻企业税费负担 ③激发实体经济活力 ④实施积极财政政策 ⑤便利实体经济融资 A. ④→②→③ B. ④→⑤→③ C. ①→②→③ D. ①→⑤→③ 10. 全国碳排放权交易已于2021年7月正式启动,在碳排放交易体系的流程里:政府要确定碳市场覆盖范 围,设定碳市场配额总量,为重点排放企业分配配额,还要组织碳排放核查,并对企业履约和交易进行监 管;企业要清缴不少于上年度温室气体排放的配额,编制温室气体监测和排放报告,管理碳排放并自愿进 行配额交易。关于碳排放交易体系,下列理解正确的是( ) ①政府设定配额总量的做法不利于发挥市场在资源配置中的决定作用 ②企业自愿进行配额交易有利于商品和要素自由流动、平等交换 ③排放量高于配额的企业在碳市场上购买排放配额,使资源向优势企业集中 ④排放量低于配额的企业在市场上出售多余配额,将激励企业减少碳排放量 A. ①② B. ①③ C. ②④ D. ③④11. 社会主义市场经济中必然会有各种形态的资本。2021年,资本形成总额对我国GDP增长贡献率达到 81.5%,2022年,中央经济工作会议提出要为资本设置“红绿灯”:“红灯”是为了划定边界、加强规范, “绿灯”是为了发挥资本作为生产要素的积极作用。对此理解正确的是( ) ①设置资本“红灯”,强化资本市场监管和反垄断,防止资本野蛮生长 ②设置资本“绿灯”,引导资本依法积极有为,建立反不正当竞争规制 ③设置资本“红绿灯”,有利于让一切创造社会财富的源泉充分涌流推动经济发展 ④设置资本“红绿灯”,有利于让各种所有制资本在社会主义经济中平等有序发展 A. ①③ B. ①④ C. ②③ D. ②④ 12. 2022年2月,国家发展改革委等部门联合印发文件,同意在京津冀、长三角、粤港澳大湾区、成渝、 内蒙古、贵州、甘肃、宁夏启动建设国家算力枢纽节点,并规划了10个国家数据中心集群,至此,“东数 西算”工程全面启动。“东数西算”中的“数”,指的是数据,“算”指的是算力,即对数据的处理能力。 国家启动该工程( ) ①有利于贯彻共享发展理念,促进东西部数据流通,助力西部发展 ②推动算力资源有序向西转移,促进解决东西部算力供需失衡问题 ③发挥东部地区资源优势,带动相关产业转移,延展东部发展空间 ④有利于提升国家整体算力水平,实现算力的规模化和集约化发展 A. ①② B. ①③ C. ②④ D. ③④ 13. 近年来,我国在扩大市场准入和法治化建设等方面取得了新突破,极大提升了外商投资企业信心。下 图是近5年我国实际使用外资金额情况,据此可推断出我国( ) ①持续改善营商环境,对外资吸引力不断增强 ②坚持全面扩大开放,利用外资结构不断优化 ③经济发展韧性强劲,能够助力世界经济复苏 ④保障外商合法权益,外商投资收益不断增长 A. ①② B. ①③ C. ②④ D. ③④ 14. 近三年多以来,人社部门走基层、查堵点、简程序,大力加强信息化建设和服务便利化,一批过去要 “跑断腿”“磨破嘴”的事情得以便捷办、快速办,一张全球最大社会保障网正不断织密兜牢。对我国的 社会保障的认识不正确的是( )①作为精巧的“社会减震器”,能够有效维护社会生活秩序的稳定 ②我国 的社会保障主要由社会保险、社会救助、社会福利、社会优抚组成 ③通过政府财政担责,有效化解了社会成员 的生存危机 ④保险是我国社会保障体系的核心,也是社会公平的“最后一道防线” A. ①② B. ①③ C. ②④ D. ③④ 15. 在神舟十三号载人飞船里,三位航天员翟志刚、王亚平、叶光富不仅在太空过上了首个人类的春节, 而且完成了国际上首例生命科学实验。这说明( ) ①意识能够能动地认识和改造世界 ②人的思维与客观存在具有同一性 ③意识活动具有自觉选择性和主动创造性 ④意识 的本质是理论与实践的具体历史的统一 A. ①② B. ①④ C. ②③ D. ③④ 16. 漫画画了个本来应该牵着狗走的小朋友却被狗牵着走。以下说法正确的是( ) A. 实践是检验认识正确与否的唯一标准 B. 矛盾双方在一定条件下可以相互转化 C. 矛盾具有特殊性,要具体情况具体分析 D. 要尊重客观规律,按客观规律办事 二、非选择题(本题共4大题,共52分) 17. 中国人民参与奥运、申办奥运、筹办奥运的历史,是中国人民赢得历史主动、坚定历史自信的深 刻诠释。 ◆冬奥会交汇中国梦,彰显中国自信。 北京冬奥会是新冠肺炎疫情发生以来首次如期举办的全球综合性体育盛会,近7年的筹办路上,世界 从点滴细节中感知着一个大国的重信守诺。 场馆和基础设施建设是筹办工作的重中之重。在党的坚强领导下,千千万万建设者披星戴月、攻坚克 难,各方力量齐心协力,12个竞赛场馆全部提前完工。3个冬奥村如期交付使用,京张高铁、京礼高速全 线通车。 做好疫情防控工作是北京冬奥会最大的考验。中国采取严格的防疫措施,优化分区分类"双闭环"管理流程,严格执行各项防控措施,在闭环内为涉奥人员提供方便、快捷、精准、细致的服务,帮助涉奥人员 在保护自身健康的前提下参会,确保参赛人员安全正是中国人民至上、生命至上理念的生动体现。 国际奥委会主席巴赫表示,北京冬奥会各项筹备工作十分出色顺利,场馆之精彩、防疫措施之周全、 可持续运营理念之先进令人赞叹。我们赞赏中国的效率、决心和活力! 中国办冬奥,言必信、行必果。运用中国特色社会主义的知识,阐述我们办冬奥为什么能有这份自信。 18. 阅读材料,完成下列要求。 《中共中央国务院关于加快建设全国统一大市场的意见》提出,加快建设高效规范、公平竞争、充分 开放的全国统一大市场,全面推动我国市场由大到强转变。长期以来,中国市场虽大,却“大而不强”, 商品要素自由流动存在隐性壁垒,规则和标准体系建设有待进一步统一,地方保护现象仍然存在,这让中 国超大规模市场的竞争优势无法充分发挥。在构建新发展格局、畅通国内大循环的背景下,形成统一大市 场迫在眉睫。为建设高标准市场体系,构建高水平社会主义市场经济体制能提供坚强支撑。意见提出, “全国一张清单”,坚持对各类市场主体一视同仁,完善依法平等保护各种所有制经济产权的制度体系, 建成全球最大的高速铁路网、高速公路网,拥有世界级港口群、240多个民用运输机场,快递网络乡镇网 点覆盖率达98%…… 结合材料,运用《经济与社会》知识,分析我国是如何加快建设全国统一大市场的。 19. 阅读材料,完成下列要求。 材料一 2021年12月11日,中国迎来加入世界贸易组织20周年。入世以来,我国逐步成为全球农产 品贸易大国。 2017-2021年中国农产品进出口情况(单位:亿美元) 年份 进口总额 增速(%) 出口总额 增速(%) 进出口差额 增速(%) 2017 1258.6 12.8 755.3 3.5 503.3 30.4 2018 1371 8.9 797.1 5.5 573.9 14 2019 1509.7 10 791 -1.7 718.7 26.5 2020 1708 14 760.3 -3.2 947.7 32.9 2021 2198.2 28.6 843.5 10.9 1354.7 42.9 注 入世前,我国农产品出口常年高于进口,贸易基本保持顺差。 材料二 民以食为天,保障粮食等重要农产品供给安全是治国理政的头等大事。2022年中央一号文件 指出,要全力抓好粮食生产和重要农产品供给,稳住农业基本盘,确保农业稳产增产,牢牢守住国家粮食 安全底线,落实“藏粮于地、藏粮于技”战略,加强耕地保护和质量建设,健全农民种粮收益保障机制。近年来,某地积极响应党和国家的号召,致力于推进数字农业改革,探索以数字化赋能撬动农业现代 化发展的新路子。该地把传统农业的数字化改造作为农业数字经济发展的主阵地,实施水稻全域数字化和 生态种植,农业种植中引入人工智能管理,通过传感器可实时监测稻因的湿度、温度、土壤肥力等墒情数 据,实现了“单人管千亩”。通过“科技+品牌”双拳出击,与科技企业联手,将物联网、大数据、人工 智能等前沿科技引入大米加工行业,实现大米产业标准化、高效化,打造全新价值的大米品牌,延伸拓展 农业功能,实现农民收入多元化。 (1)解读材料一包含的信息。 (2)结合材料二并运用《经济与社会》知识,说明该地的举措对守住国家粮食安全底线的意义。 20. 阅读材料,完成下列要求。 《中共中央关于党的百年奋斗重大成就和历史经验的决议》指出,毛泽东思想的创立是马克思主义中 国化的第一次历史性飞跃;中国特色社会主义理论体系的形成实现了马克思主义中国化新的飞跃;习近平新 时代中国特色社会主义思想的创立实现了马克思主义中国化新的飞跃。至此,马克思主义中国化实现了三 次理论飞跃。 历史反复证明,拥有科学理论的政党,才拥有真理力量,科学理论指引的事业,才拥有光明前途。中 国共产党为什么能,中国特色社会主义为什么好,从根本上说,是因为马克思主义行。新的征程上,必须 全面贯彻习近平新时代中国特色社会主义思想,根据时代变化和实践发展,不断深化认识,不断总结经验, 不断推进实践基础上的理论创新,坚持理论指导和实践探索辩证统一,实现理论创新和实践创新良性互动, 让当代中国马克思主义放射出更加灿烂的真理光芒。 (1)结合材料,运用“在实践中追求和发展真理”的相关知识,谈谈全面贯彻习近平新时代中国特色社 会主义思想的合理性。 (2)某校高三(2)班召开“如何认识马克思主义中国化”主题班会。请就马克思主义中国化给我们的启 示,提一条具体建议并说明辩证法依据。珠海市教研联盟校 2023 届高三联考 思想政治试题 一、选择题:本题共 16小题,每小题3分,共48分。每小题给出四个选项中,只有一项是 最符合题目要求的。 【1题答案】 【答案】D 【2题答案】 【答案】A 【3题答案】 【答案】C 【4题答案】 【答案】B 【5题答案】 【答案】C 【6题答案】 【答案】A 【7题答案】 【答案】B 【8题答案】 【答案】A 【9题答案】 【答案】D 【10题答案】 【答案】C 【11题答案】 【答案】A 【12题答案】 【答案】C 【13题答案】 【答案】B 【14题答案】【答案】D 【15题答案】 【答案】C 【16题答案】 【答案】B 二、非选择题(本题共4大题,共52分) 【17题答案】 【答案】①坚持和发展中国特色社会主义,是实现中华民族伟大复兴中国梦的必由之路,是我国成功举办 冬奥会的根本原因。 ②制度优势是一个国家的最大优势。在习近平新时代中国特色社会主义思想的指导下,能够充分发挥党的 领导和举国体制、集中力量办大事的制度优势。 ③改革开放以来,我国综合国力持续提升,为中国人办奥运提供了强大的物质基础。 ④中国梦的深厚源泉在人民,根本归宿在人民,中国人把小我融入大我,敢于有梦、勇于追梦、勤于圆梦, 汇聚起办奥运的强大力量。 【18题答案】 【答案】①既充分发挥市场在资源配置中的决定作用,用足用好超大规模市场优势,又更好发挥政府作用, 实施科学的宏观调控。②不断完善标准和规范,加快建立全国统一的市场制度规则,打破地方保护和市场 分割;③通过“放管服”改革,为各类市场主体打造更加公平公正的竞争环境,不断激发市场主体活力; ④加大交通物流体系建设,打通制约经济循环的关键堵点,促进商品要素资源在更大范围内畅通流动。 【19题答案】 【答案】(1)入世以来,我国农产品贸易规模高速增长(农产品进出口总额不断增长),其中进口以高 于出口的速度迅猛增长(进口增速高于出口增速),贸易由顺差逐渐转为逆差。入世以来,我国农业高度 开放(农产品对外依存度较高)。 (2)①落实“藏粮于地、藏粮于技”战略,加强耕地保护,通过农业科技创新发展,推动传统农业产业 转型升级,提升耕地质量。②通过数字化赋能农业,提高劳动生产效率,深化农业供给侧结构性改革,稳 定基础产能,防止生产大起大落。③通过前沿科技延长产业链,提高农产品附加值,增加农民收入,激发 种粮农民积极性,促进粮食生产发展。 【20题答案】 【答案】(1)①真理具有客观性、条件性、具体性,是主观与客观、理论与实践的具体的历史的统一。 习近平新时代中国特色社会主义思想是21世纪的马克思主义,全面贯彻习近平新时代中国特色社会主义思 想,体现了与时俱进,必将继续发展。②认识具有反复性、无限性和上升性,要在实践中认识和发现真理, 在实践中检验和发展真理。全面贯彻习近平新时代中国特色社会主义思想,体现了中国共产党顺应时代变化和实践发展的要求. (2)建议:积极投身中国特色社会主义伟大实践,促进认识的发展。哲学依据:坚持发展的观点。